Lei Ordinária nº 8.875, de 21 de fevereiro de 2011

Identificação Básica

Norma Jurídica

Lei Ordinária

8875

2011

21 de Fevereiro de 2011

Dispõe sobre a organização política e a estrutura orgânico-administrativa da Câmara Municipal de Maringá e dá outras providências.

a A
Vigência a partir de 13 de Agosto de 2025.
Dada por Lei Ordinária nº 11.997, de 13 de agosto de 2025
Autoria: Mesa Executiva.
    Dispõe sobre a organização política e a estrutura orgânico-administrativa da Câmara Municipal de Maringá e dá outras providências.

      A Câmara Municipal de Maringá, Estado do Paraná, aprovou e eu, Prefeito Municipal, sanciono a seguinte Lei:

       

        Art. 1º. 
        A Câmara Municipal de Maringá, Estado do Paraná, institucionalizada em Poder Legislativo Municipal, define sua organização política e estrutura orgânico-administrativa nos termos desta Lei.
          Art. 2º. 
          Ficam mantidos na estrutura orgânico-administrativa da Câmara Municipal de Maringá os cargos de provimento efetivo atualmente existentes, os quais compõem o quadro constante do Anexo I desta Lei.
            Art. 3º. 
            Fica também mantido o enquadramento funcional dos servidores titulares dos cargos de provimento efetivo de que trata o artigo anterior.
              Art. 4º. 
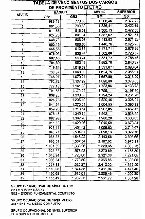
              As tabelas de vencimentos dos cargos de provimento efetivo da Câmara Municipal de Maringá constam do Anexo II desta Lei.
                Art. 5º. 

                Ficam mantidos na estrutura orgânico-administrativa da Câmara Municipal de Maringá os cargos de provimento em comissão constantes do quadro previsto no Anexo III desta Lei, adotando-se novas simbologias para os cargos de Assessor Parlamentar da Mesa, Assessor de Cerimonial, Assessor de Relações Institucionais e Assessor para Assuntos Comunitários.

                  Art. 6º. 
                  Fica extinto da estrutura orgânico-administrativa da Câmara Municipal de Maringá o cargo de provimento em comissão de Assessor Técnico, vinculado à Presidência da Câmara, símbolo CCL-3.
                    Art. 7º. 
                    Fica extinto da estrutura orgânico-administrativa da Câmara Municipal de Maringá o cargo de provimento em comissão de Assessor Jurídico, vinculado à Procuradoria Jurídica da Câmara Municipal, símbolo CCL-3.
                      Art. 8º. 
                      Fica criado na estrutura orgânico-administrativa da Câmara Municipal de Maringá, na Presidência da Câmara, o cargo de provimento em comissão de Assessor Parlamentar da Presidência, símbolo CCL-3.
                        Art. 9º. 
                        Fica criado na estrutura orgânico-administrativa da Câmara Municipal de Maringá, na Presidência da Câmara, o cargo de provimento em comissão de Assessor Especial para a TV Câmara, símbolo CCL-5.
                          Art. 10. 
                          Ficam extintos da estrutura orgânico-administrativa da Câmara Municipal de Maringá os seguintes cargos de provimento em comissão, vinculados a cada um dos Gabinetes dos Vereadores: 03 cargos de Assessor Parlamentar de Gabinete AP1, 03 cargos de Assessor Parlamentar de Gabinete AP2, 03 cargos de Assessor Parlamentar de Gabinete AP3, 03 cargos de Assessor Parlamentar de Gabinete AP4, 03 cargos de Assessor Parlamentar de Gabinete AP5, 02 cargos de Assessor Parlamentar de Gabinete AP6, 02 cargos de Assessor Parlamentar de Gabinete AP7, 02 cargos de Assessor Parlamentar de Gabinete AP8, 01 cargo de Assessor Parlamentar de Gabinete AP9, 01 cargo de Assessor Parlamentar de Gabinete AP10 e 01 cargo de Assessor Parlamentar de Gabinete AP11.
                            Art. 11. 
                            Ficam criados na estrutura orgânico-administrativa da Câmara Municipal de Maringá, para cada Gabinete de Vereador, os seguintes cargos de provimento em comissão:
                              I – 
                              1 (um) Chefe de Gabinete, símbolo CCL-4;
                                II – 
                                1 (um) Assessor Parlamentar, símbolo CCL-5;
                                  III – 
                                  1 (um) Assessor de Gabinete, símbolo CCL-6;
                                    IV – 
                                    2 (dois) Assessores Parlamentares de Base, símbolo CCL-7.
                                      Art. 12. 
                                      Face às disposições contidas nos artigos 5º a 11, o quadro de cargos de provimento em comissão da Câmara Municipal de Maringá passa a ter a configuração prevista no Anexo IV desta Lei.
                                        Art. 13. 
                                        Os cinco (5) cargos de provimento em comissão, símbolo CCL-3, do nível hierárquico de Chefia de Divisão, constantes do Anexo IV desta Lei, serão ocupados exclusivamente por servidores efetivos da Câmara Municipal, em cumprimento ao determinado pela Constituição Federal, artigo 37, inciso V.
                                          Parágrafo único. 
                                          Os servidores designados para as Chefias de Divisão poderão optar pelo provimento dos cargos em comissão a que se refere o caput ou das funções gratificadas correspondentes, mediante termo próprio.
                                            Art. 14. 
                                            O exercício de cargo de provimento em comissão por servidor do Poder Legislativo Municipal, no âmbito deste, não prejudicará seu direito à progressão funcional.
                                              Art. 15. 
                                              A remuneração dos cargos de provimento em comissão do Poder Legislativo Municipal dar-se-á na forma determinada pela Tabela de Proporcionalidade objeto do Anexo V desta Lei.
                                                Art. 16. 
                                                Ficam mantidas na estrutura orgânico-administrativa da Câmara Municipal de Maringá as funções gratificadas atualmente existentes, conforme relação constante do Anexo VI desta Lei.
                                                  Art. 17. 
                                                  A remuneração das funções gratificadas do Poder Legislativo Municipal dar-se-á na forma determinada pela Tabela de Proporcionalidade objeto do Anexo VII desta Lei.
                                                    Art. 18. 
                                                    As funções e atribuições dos órgãos, cargos de provimento em comissão e funções gratificadas de que trata esta Lei constam do seu Anexo VIII.
                                                      Art. 19. 
                                                      As funções e atribuições dos cargos de provimento efetivo de que trata esta Lei constam do seu Anexo IX.
                                                        Art. 20. 
                                                        Faz parte desta Lei, na forma do Anexo X, o Organograma da Estrutura Política e Orgânico-Administrativa da Câmara Municipal de Maringá.
                                                          Art. 21. 
                                                          Integram esta Lei, como Anexos XI e XII, os documentos a que se referem os incisos I e II do artigo 16 da Lei Complementar Federal n. 101/2000 (Lei de Responsabilidade Fiscal).
                                                            Art. 22. 
                                                            As despesas decorrentes da execução desta Lei correrão à conta de dotações orçamentárias próprias, consignadas no Orçamento vigente.
                                                              Art. 23. 
                                                              Esta Lei entra em vigor na data de sua publicação.
                                                                Art. 24. 
                                                                As disposições contrárias ficam revogadas, em especial as Leis nº 8.384, de 03 de julho de 2009, e nº 8.320, de 24 de março de 2009.

                                                                   

                                                                  Paço Municipal Silvio Magalhães Barros, 21 de fevereiro de 2011.

                                                                   

                                                                  Silvio Magalhães Barros II
                                                                  Prefeito Municipal


                                                                  Rodrigo Valente Giublin Teixeira
                                                                  Chefe de Gabinete


                                                                  José Luiz Bovo
                                                                  Secretário de Gestão

                                                                     

                                                                     
                                                                    CARGOS DE PROVIMENTO EFETIVO
                                                                    CargoNúmero de cargosCargos PreenchidosCargos VagosCarga horária semanalEscolaridadeExperiência/RequisitosGrupo Ocupacional
                                                                    Advogado02020020 horasSuperior Completo EspecíficoRegistro na OABGS
                                                                    Almoxarife01010030 horasEnsino Fundamental Completo01 anoGB2
                                                                    Analista Programador02020030 horasSuperior Completo EspecíficoNão exigidaGS
                                                                    Assessor Administrativo01010030 horasSuperior Completo nas áreas de Administração, Ciências Contábeis ou EconomiaNão exigidaGS
                                                                    Assessor Legislativo09030630 horasSuperior CompletoNão exigidaGS
                                                                    Assistente Administrativo08030530 horasEnsino Médio CompletoNão exigidaGM
                                                                    Assistente Legislativo12090330 horasEnsino Médio CompletoNão exigidaGM
                                                                    Auxiliar Administrativo02020030 horasEnsino Fundamental CompletoNão exigidaGB2
                                                                    Auxiliar de Manutenção02010130 horasEnsino Fundamental Completo02 anosGB2
                                                                    Contador02020030 horasSuperior Completo EspecíficoRegistro no CRCGS
                                                                    Copeiro03030030 horasAlfabetizadoNão exigidaGB1
                                                                    Fotógrafo01010030 horasEnsino Médio Completo01 anoGM
                                                                    Jornalista Repórter01010030 horasSuperior Completo Específico02 anosGS
                                                                    Motorista03030030 horasEnsino Fundamental Completo05 anosGB2
                                                                    Oficial de Segurança03020130 horasAlfabetizadoNão exigidaGB1
                                                                    Operador de Audiovisual03030030 horasEnsino Médio Completo02 anosGM
                                                                    Operador de Computador02010130 horasEnsino Médio Completo01 anoGM
                                                                    Porteiro02010130 horasAlfabetizadoNão exigidaGB1
                                                                    Recepcionista05030230 horasEnsino Fundamental CompletoNão exigidaGB2
                                                                    Telefonista03030030 horasEnsino Fundamental Completo01 anoGB2
                                                                    Tesoureiro01010030 horasEnsino Médio Completo02 anosGM
                                                                    Vigia08060230 horasAlfabetizadoNão exigidaGB1
                                                                    Zelador09070230 horasAlfabetizadoNão exigidaGB1
                                                                    TOTAL856124----

                                                                     

                                                                    NOTA:

                                                                    1. GS: Grupo Ocupacional de Nível Superior
                                                                    2. GM: Grupo Ocupacional de Nível Médio
                                                                    3. GB1: Grupo Ocupacional de Ensino Básico 1
                                                                    4. GB2: Grupo Ocupacional de Ensino Básico 2

                                                                       

                                                                      CARGOS DE PROVIMENTO EFETIVO
                                                                      CargoNúmero de cargosCargos PreenchidosCargos VagosCarga horária semanalEscolaridadeExperiência/RequisitosGrupo Ocupacional
                                                                      Advogado03020120 horasSuperior Completo EspecíficoRegistro na OABGS
                                                                      Almoxarife01000130 horasEnsino Fundamental Completo01 anoGB2
                                                                      Analista Programador02020030 horasSuperior Completo EspecíficoNão exigidaGS
                                                                      Assessor Administrativo01010030 horasSuperior Completo nas áreas de Administração, Ciências Contábeis ou EconomiaNão exigidaGS
                                                                      Assessor Legislativo09020730 horasBacharel em DireitoNão exigidaGS
                                                                      Assistente Administrativo08030530 horasEnsino Médio CompletoNão exigidaGM
                                                                      Assistente Legislativo12090330 horasEnsino Médio CompletoNão exigidaGM
                                                                      Auxiliar Administrativo02020030 horasEnsino Fundamental CompletoNão exigidaGB2
                                                                      Auxiliar de Manutenção02010130 horasEnsino Fundamental Completo02 anosGB2
                                                                      Contador03020130 horasSuperior Completo EspecíficoRegistro no CRCGS
                                                                      Copeiro03030030 horasAlfabetizadoNão exigidaGB1
                                                                      Fotógrafo01010030 horasEnsino Médio Completo01 anoGM
                                                                      Jornalista Repórter02010130 horasSuperior Completo Específico02 anosGS
                                                                      Motorista03030030 horasEnsino Fundamental Completo05 anosGB2
                                                                      Oficial de Segurança03020130 horasAlfabetizadoNão exigidaGB1
                                                                      Operador de Audiovisual05030230 horasEnsino Médio Completo02 anosGM
                                                                      Operador de Computador02010130 horasEnsino Médio Completo01 anoGM
                                                                      Porteiro02010130 horasAlfabetizadoNão exigidaGB1
                                                                      Recepcionista05030230 horasEnsino Fundamental CompletoNão exigidaGB2
                                                                      Telefonista03030030 horasEnsino Fundamental Completo01 anoGB2
                                                                      Tesoureiro01010030 horasEnsino Médio Completo02 anosGM
                                                                      Vigia08060230 horasAlfabetizadoNão exigidaGB1
                                                                      Zelador09070230 horasAlfabetizadoNão exigidaGB1
                                                                      TOTAL905931----

                                                                       

                                                                      NOTA:

                                                                      1. GS: Grupo Ocupacional de Nível Superior
                                                                      2. GM: Grupo Ocupacional de Nível Médio
                                                                      3. GB1: Grupo Ocupacional de Nível Básico 1
                                                                      4. GB2: Grupo Ocupacional de Nível Básico 2
                                                                      Alteração feita pelo Artigo - Lei Ordinária nº 9.103, de 01 de dezembro de 2011.

                                                                         

                                                                        CARGOS DE PROVIMENTO EFETIVO
                                                                        CargoNúmero de cargosCarga horária semanalEscolaridadeExperiência/RequisitosGrupo Ocupacional
                                                                        Advogado0320 horasSuperior Completo EspecíficoRegistro na OABGS
                                                                        Almoxarife0130 horasEnsino Fundamental Completo01 anoGB2
                                                                        Analista Programador0230 horasSuperior Completo EspecíficoNão exigidaGS
                                                                        Assessor Administrativo0430 horasSuperior Completo nas áreas de Administração, Ciências Contábeis ou EconomiaNão exigidaGS
                                                                        Assessor Legislativo0930 horasBacharel em DireitoNão exigidaGS
                                                                        Assistente Administrativo1230 horasEnsino Médio CompletoNão exigidaGM
                                                                        Assistente Legislativo1530 horasEnsino Médio CompletoNão exigidaGM
                                                                        Auxiliar Administrativo0230 horasEnsino Fundamental CompletoNão exigidaGB2
                                                                        Auxiliar de Manutenção0230 horasEnsino Fundamental Completo02 anosGB2
                                                                        Contador0330 horasSuperior Completo EspecíficoRegistro no CRCGS
                                                                        Copeiro0330 horasEnsino Fundamental CompletoNão exigidaGB1
                                                                        Fotógrafo0130 horasEnsino Médio Completo01 anoGM
                                                                        Jornalista Repórter0230 horasSuperior Completo Específico02 anosGS
                                                                        Motorista0330 horasEnsino Fundamental Completo05 anosGB2
                                                                        Oficial de Segurança0330 horasEnsino Fundamental CompletoNão exigidaGB1
                                                                        Operador de Audiovisual0530 horasEnsino Médio Completo02 anosGM
                                                                        Operador de Computador0230 horasEnsino Médio Completo01 anoGM
                                                                        Porteiro0230 horasEnsino Fundamental CompletoNão exigidaGB1
                                                                        Recepcionista0530 horasEnsino Fundamental CompletoNão exigidaGB2
                                                                        Telefonista0330 horasEnsino Fundamental Completo01 anoGB2
                                                                        Tesoureiro0130 horasEnsino Médio Completo02 anosGM
                                                                        Vigia1030 horasEnsino Fundamental CompletoNão exigidaGB1
                                                                        Zelador1130 horasEnsino Fundamental CompletoNão exigidaGB1
                                                                        TOTAL104----

                                                                         

                                                                        NOTA:

                                                                        1. GS: Grupo Ocupacional de Nível Superior
                                                                        2. GM: Grupo Ocupacional de Nível Médio
                                                                        3. GB1: Grupo Ocupacional de Nível Básico 1
                                                                        4. GB2: Grupo Ocupacional de Nível Básico 2
                                                                        Alteração feita pelo Artigo - Lei Ordinária nº 9.504, de 24 de maio de 2013.

                                                                           

                                                                          CARGOS DE PROVIMENTO EFETIVO
                                                                          CargoNúmero de cargosCarga horária semanalEscolaridadeExperiência/RequisitosGrupo Ocupacional
                                                                          Advogado0320 horasSuperior Completo EspecíficoRegistro na OABGS
                                                                          Almoxarife0130 horasEnsino Fundamental Completo01 anoGB
                                                                          Analista Programador0230 horasSuperior Completo EspecíficoNão exigidaGS
                                                                          Assessor Administrativo0430 horasSuperior Completo nas áreas de Administração, Ciências Contábeis ou EconomiaNão exigidaGS
                                                                          Assessor Legislativo0930 horasBacharel em DireitoNão exigidaGS
                                                                          Assistente Administrativo1230 horasEnsino Médio CompletoNão exigidaGM
                                                                          Assistente Legislativo1530 horasEnsino Médio CompletoNão exigidaGM
                                                                          Auxiliar Administrativo0230 horasEnsino Fundamental CompletoNão exigidaGB
                                                                          Auxiliar de Manutenção0230 horasEnsino Fundamental Completo02 anosGB
                                                                          Contador0330 horasSuperior Completo EspecíficoRegistro no CRCGS
                                                                          Copeiro0330 horasEnsino Fundamental CompletoNão exigidaGB
                                                                          Fotógrafo0130 horasEnsino Médio Completo01 anoGM
                                                                          Jornalista Repórter0230 horasSuperior Completo Específico02 anosGS
                                                                          Motorista0330 horasEnsino Fundamental Completo05 anosGB
                                                                          Oficial de Segurança0330 horasEnsino Fundamental CompletoNão exigidaGB
                                                                          Operador de Audiovisual0530 horasEnsino Médio Completo02 anosGM
                                                                          Operador de Computador0230 horasEnsino Médio Completo01 anoGM
                                                                          Porteiro0230 horasEnsino Fundamental CompletoNão exigidaGB
                                                                          Recepcionista0530 horasEnsino Fundamental CompletoNão exigidaGB
                                                                          Telefonista0330 horasEnsino Fundamental Completo01 anoGB
                                                                          Tesoureiro0130 horasEnsino Médio Completo02 anosGM
                                                                          Vigia1030 horasEnsino Fundamental CompletoNão exigidaGB
                                                                          Zelador1130 horasEnsino Fundamental CompletoNão exigidaGB
                                                                          TOTAL104----

                                                                           

                                                                          NOTA:

                                                                          1. GS: Grupo Ocupacional de Nível Superior
                                                                          2. GM: Grupo Ocupacional de Nível Médio
                                                                          3. GB: Grupo Ocupacional de Nível Básico
                                                                          Alteração feita pelo Artigo - Lei Ordinária nº 9.534, de 05 de julho de 2013.

                                                                             

                                                                            CARGOS DE PROVIMENTO EFETIVO
                                                                            CargoNúmero de cargosCarga horária semanalEscolaridadeExperiência/RequisitosGrupo Ocupacional
                                                                            Advogado0320 horasSuperior Completo EspecíficoRegistro na OABGS
                                                                            Almoxarife0130 horasEnsino Fundamental Completo01 anoGB
                                                                            Analista Programador0230 horasSuperior Completo EspecíficoNão exigidaGS
                                                                            Assessor Administrativo0630 horasSuperior Completo nas áreas de Administração, Ciências Contábeis ou EconomiaNão exigidaGS
                                                                            Assessor Legislativo0930 horasBacharel em DireitoNão exigidaGS
                                                                            Assistente Administrativo1230 horasEnsino Médio CompletoNão exigidaGM
                                                                            Assistente Legislativo1530 horasEnsino Médio CompletoNão exigidaGM
                                                                            Auxiliar Administrativo0230 horasEnsino Fundamental CompletoNão exigidaGB
                                                                            Auxiliar de Manutenção0230 horasEnsino Fundamental Completo02 anosGB
                                                                            Contador0330 horasSuperior Completo EspecíficoRegistro no CRCGS
                                                                            Copeiro0330 horasEnsino Fundamental CompletoNão exigidaGB
                                                                            Fotógrafo0130 horasEnsino Médio Completo01 anoGM
                                                                            Jornalista Repórter0230 horasSuperior Completo Específico02 anosGS
                                                                            Motorista0330 horasEnsino Fundamental Completo05 anosGB
                                                                            Oficial de Segurança0330 horasEnsino Fundamental CompletoNão exigidaGB
                                                                            Operador de Audiovisual0530 horasEnsino Médio Completo02 anosGM
                                                                            Operador de Computador0230 horasEnsino Médio Completo01 anoGM
                                                                            Porteiro0230 horasEnsino Fundamental CompletoNão exigidaGB
                                                                            Recepcionista0530 horasEnsino Fundamental CompletoNão exigidaGB
                                                                            Telefonista0330 horasEnsino Fundamental Completo01 anoGB
                                                                            Tesoureiro0130 horasEnsino Médio Completo02 anosGM
                                                                            Vigia1030 horasEnsino Fundamental CompletoNão exigidaGB
                                                                            Zelador1130 horasEnsino Fundamental CompletoNão exigidaGB
                                                                            TOTAL106----

                                                                             

                                                                            NOTA:

                                                                            1. GS: Grupo Ocupacional de Nível Superior
                                                                            2. GM: Grupo Ocupacional de Nível Médio
                                                                            3. GB: Grupo Ocupacional de Ensino Básico
                                                                            Alteração feita pelo Artigo - Lei Ordinária nº 9.603, de 24 de outubro de 2013.

                                                                               

                                                                              CARGOS DE PROVIMENTO EFETIVO
                                                                              CargoNúmero de cargosCarga horária semanalEscolaridadeExperiência/RequisitosGrupo Ocupacional
                                                                              Advogado0320 horasSuperior Completo EspecíficoRegistro na OABGS
                                                                              Almoxarife0130 horasEnsino Fundamental Completo01 anoGB
                                                                              Analista Programador0230 horasSuperior Completo EspecíficoNão exigidaGS
                                                                              Assessor Administrativo0630 horasSuperior Completo nas áreas de Administração, Ciências Contábeis ou EconomiaNão exigidaGS
                                                                              Assessor Legislativo0930 horasBacharel em DireitoNão exigidaGS
                                                                              Assistente Administrativo1230 horasEnsino Médio CompletoNão exigidaGM
                                                                              Assistente Legislativo1530 horasEnsino Médio CompletoNão exigidaGM
                                                                              Auxiliar Administrativo0230 horasEnsino Fundamental CompletoNão exigidaGB
                                                                              Auxiliar de Manutenção0230 horasEnsino Fundamental Completo02 anosGB
                                                                              Contador0330 horasSuperior Completo EspecíficoRegistro no CRCGS
                                                                              Copeiro0330 horasEnsino Fundamental CompletoNão exigidaGB
                                                                              Fotógrafo0130 horasEnsino Médio Completo01 anoGM
                                                                              Jornalista Repórter0330 horasSuperior Completo Específico02 anosGS
                                                                              Motorista0330 horasEnsino Fundamental Completo05 anosGB
                                                                              Oficial de Segurança0330 horasEnsino Fundamental CompletoNão exigidaGB
                                                                              Operador de Audiovisual0530 horasEnsino Médio Completo02 anosGM
                                                                              Operador de Computador0230 horasEnsino Médio Completo01 anoGM
                                                                              Porteiro0230 horasEnsino Fundamental CompletoNão exigidaGB
                                                                              Recepcionista0530 horasEnsino Fundamental CompletoNão exigidaGB
                                                                              Telefonista0330 horasEnsino Fundamental Completo01 anoGB
                                                                              Tesoureiro0130 horasEnsino Médio Completo02 anosGM
                                                                              Vigia1030 horasEnsino Fundamental CompletoNão exigidaGB
                                                                              Zelador1130 horasEnsino Fundamental CompletoNão exigidaGB
                                                                              TOTAL106----

                                                                               

                                                                              NOTA:

                                                                              1. GS: Grupo Ocupacional de Nível Superior
                                                                              2. GM: Grupo Ocupacional de Nível Médio
                                                                              3. GB: Grupo Ocupacional de Ensino Básico
                                                                              Alteração feita pelo Artigo - Lei Ordinária nº 10.818, de 20 de março de 2019.

                                                                                 

                                                                                CARGOS DE PROVIMENTO EFETIVO

                                                                                Quadro Permanente
                                                                                CargoNúmero de cargosCarga horária semanalEscolaridadeExperiência/RequisitosGrupo Ocupacional
                                                                                Advogado0320 horasSuperior Completo EspecíficoRegistro na OABGS
                                                                                Analista Programador0230 horasSuperior Completo EspecíficoNão exigidaGS
                                                                                Assessor Administrativo0630 horasSuperior Completo nas áreas de Administração, Ciências Contábeis ou EconomiaNão exigidaGS
                                                                                Assessor Legislativo0930 horasBacharel em DireitoNão exigidaGS
                                                                                Assistente Administrativo1230 horasEnsino Médio CompletoNão exigidaGM
                                                                                Assistente Legislativo1530 horasEnsino Médio CompletoNão exigidaGM
                                                                                Auxiliar de Manutenção0230 horasEnsino Fundamental Completo02 anosGB
                                                                                Contador0330 horasSuperior Completo EspecíficoRegistro no CRCGS
                                                                                Fotógrafo0130 horasEnsino Médio Completo01 anoGM
                                                                                Jornalista Repórter0330 horasSuperior Completo Específico02 anosGS
                                                                                Operador de Audiovisual0530 horasEnsino Médio Completo02 anosGM
                                                                                Operador de Computador0230 horasEnsino Médio Completo01 anoGM
                                                                                TOTAL63----
                                                                                Quadro em Extinção
                                                                                CargoNúmero de cargosCarga horária semanalEscolaridadeExperiência/RequisitosGrupo Ocupacional
                                                                                Copeiro0330 horasEnsino Fundamental CompletoNão exigidaGB
                                                                                Motorista0230 horasEnsino Fundamental Completo05 anosGB
                                                                                Oficial de Segurança0230 horasEnsino Fundamental CompletoNão exigidaGB
                                                                                Porteiro0130 horasEnsino Fundamental CompletoNão exigidaGB
                                                                                Recepcionista0330 horasEnsino Fundamental CompletoNão exigidaGB
                                                                                Telefonista0330 horasEnsino Fundamental Completo01 anoGB
                                                                                Vigia0730 horasEnsino Fundamental CompletoNão exigidaGB
                                                                                Zelador1030 horasEnsino Fundamental CompletoNão exigidaGB
                                                                                TOTAL31----

                                                                                NOTA:

                                                                                1. GS: Grupo Ocupacional de Nível Superior
                                                                                2. GM: Grupo Ocupacional de Nível Médio
                                                                                3. GB: Grupo Ocupacional de Ensino Básico
                                                                                4. O Quadro em Extinção é constituído de cargos a serem extintos à medida que vagarem.
                                                                                Alteração feita pelo Artigo - Lei Ordinária nº 11.671, de 14 de julho de 2023.

                                                                                   

                                                                                  CARGOS DE PROVIMENTO EFETIVO

                                                                                  Quadro Permanente
                                                                                  CargoNúmero de cargosCarga horária semanalEscolaridadeExperiência/RequisitosGrupo Ocupacional
                                                                                  Advogado0420 horasSuperior Completo EspecíficoRegistro na OABGS
                                                                                  Analista Programador0230 horasSuperior Completo EspecíficoNão exigidaGS
                                                                                  Assessor Administrativo0730 horasSuperior Completo nas áreas de Administração, Ciências Contábeis ou EconomiaNão exigidaGS
                                                                                  Assessor Legislativo1030 horasBacharelado em DireitoNão exigidaGS
                                                                                  Assessor Legislativo - Especialidade Urbanismo0130 horasSuperior Completo em Engenharia Civil ou Arquitetura e UrbanismoRegistro no órgão de classeGS
                                                                                  Assessor Legislativo - Especialidade Orçamento0130 horasSuperior Completo em Ciências Contábeis ou EconomiaRegistro no órgão de classeGS
                                                                                  Assistente Administrativo1330 horasEnsino Médio CompletoNão exigidaGM
                                                                                  Assistente Legislativo1530 horasEnsino Médio CompletoNão exigidaGM
                                                                                  Auxiliar de Manutenção0230 horasEnsino Fundamental Completo02 anosGB
                                                                                  Contador0430 horasSuperior Completo EspecíficoRegistro no CRCGS
                                                                                  Fotógrafo0130 horasEnsino Médio Completo01 anoGM
                                                                                  Jornalista Repórter0330 horasSuperior Completo Específico02 anosGS
                                                                                  Operador de Audiovisual0530 horasEnsino Médio Completo02 anosGM
                                                                                  Operador de Computador0230 horasEnsino Médio Completo01 anoGM
                                                                                  TOTAL70----

                                                                                  Quadro em Extinção

                                                                                  (atualizado até 25/11/2024)

                                                                                  CargoNúmero de cargosCarga horária semanalEscolaridadeExperiência/RequisitosGrupo Ocupacional
                                                                                  Copeiro0130 horasEnsino Fundamental CompletoNão exigidaGB
                                                                                  Motorista0230 horasEnsino Fundamental Completo05 anosGB
                                                                                  Oficial de Segurança0230 horasEnsino Fundamental CompletoNão exigidaGB
                                                                                  Porteiro0130 horasEnsino Fundamental CompletoNão exigidaGB
                                                                                  Recepcionista0330 horasEnsino Fundamental CompletoNão exigidaGB
                                                                                  Telefonista0330 horasEnsino Fundamental Completo01 anoGB
                                                                                  Vigia0630 horasEnsino Fundamental CompletoNão exigidaGB
                                                                                  Zelador0930 horasEnsino Fundamental CompletoNão exigidaGB
                                                                                  TOTAL27----

                                                                                  NOTA:

                                                                                  1. GS: Grupo Ocupacional de Nível Superior
                                                                                  2. GM: Grupo Ocupacional de Nível Médio
                                                                                  3. GB: Grupo Ocupacional de Nível Básico
                                                                                  4. O Quadro em Extinção é constituído de cargos a serem extintos à medida que vagarem.
                                                                                  Alteração feita pelo Artigo - Lei Ordinária nº 11.910, de 06 de janeiro de 2025.
                                                                                     

                                                                                       

                                                                                      QUADRO DE CARGOS EM PROVIMENTO EM COMISSÃO - CCL - MANTIDOS
                                                                                      ÓRGÃOS/CARGOSN. CARGOSSÍMBOLO
                                                                                      MESA EXECUTIVA
                                                                                      Assessor Parlamentar da Mesa06CCL-5
                                                                                      GABINETE DA PRESIDÊNCIA
                                                                                      Chefe de Gabinete01CCL-3
                                                                                      Assessor de Apoio para Assuntos de Planejamento01CCL-3
                                                                                      Assessor Executivo01CCL-3
                                                                                      Assessor de Cerimonial01CCL-5
                                                                                      Assessor de Relações Institucionais04CCL-5
                                                                                      Assessor para Assuntos Comunitários06CCL-5
                                                                                      COORDENADORIA DE COMUNICAÇÃO SOCIAL
                                                                                      Coordenador de Comunicação Social01CCL-3
                                                                                      PROCURADORIA JURÍDICA
                                                                                      Procurador Jurídico 01CCL-1
                                                                                      DIRETORIA DE CONTROLE INTERNO
                                                                                      Diretor de Controle Interno01CCL-2
                                                                                      GABINETE DA PRIMEIRA SECRETARIA
                                                                                      Assessor de Gabinete da Primeira Secretaria01CCL-3
                                                                                      DIRETORIA GERAL
                                                                                      Diretor Geral01CCL-1
                                                                                      Chefe da Divisão de Protocolo Geral, Expediente e Cerimonial Protocolar01CCL-3 FGDL
                                                                                      DIRETORIA LEGISLATIVA
                                                                                      Diretor Legislativo01CCL-2
                                                                                      Chefe da Divisão de Assistência Legislativa01CCL-3 FGDL
                                                                                      DIRETORIA ADMINISTRATIVA
                                                                                      Diretor Administrativo01CCL-2
                                                                                      Chefe da Divisão de Administração, Recursos Humanos e Licitações01CCL-3 FGDL
                                                                                      Chefe da Divisão de Finanças, Orçamento e Contabilidade01CCL-3 FGDL
                                                                                      Chefe da Divisão de Tecnologia da Informação01CCL-3 FGDL
                                                                                        • Referência Simples
                                                                                        • 27 Nov 2024
                                                                                        Vide:
                                                                                        Caput do Art. 1º. - Lei Ordinária nº 9.103, de 01 de dezembro de 2011 - Ficam extintos da estrutura orgânico-administrativa da Câmara Municipal de Maringá os 06 (seis) cargos de provimento em comissão de Assessor Parlamentar da Mesa, vinculados à Mesa Executiva, símbolo CCL-5.
                                                                                        • Referência Simples
                                                                                        • 27 Nov 2024
                                                                                        Vide:
                                                                                        Caput do Art. 2º. - Lei Ordinária nº 9.103, de 01 de dezembro de 2011 - Ficam extintos da estrutura orgânico-administrativa da Câmara Municipal de Maringá os seguintes cargos de provimento em comissão, vinculados ao Gabinete da Presidência: 01 (um) cargo de Assessor Parlamentar da Presidência, símbolo CCL-3, 01 (um) cargo de Assessor de Apoio para Assuntos de Planejamento, símbolo CCL-3, 01 (um) cargo de Assessor Executivo, símbolo CCL-3, 01 (um) cargo de Assessor de Cerimonial, símbolo CCL-5, 04 (quatro) cargos de Assessor de Relações Institucionais, símbolo CCL-5, 06 (seis) cargos de Assessor para Assuntos Comunitários, símbolo CCL-5, e 01 (um) cargo de Assessor Especial para a TV Câmara, símbolo CCL-5.

                                                                                       

                                                                                      QUADRO GERAL DE CARGOS DE PROVIMENTO EM COMISSÃO - CCL
                                                                                      ÓRGÃOS/CARGOSN. CARGOSSÍMBOLO
                                                                                      MESA EXECUTIVA
                                                                                      Assessor Parlamentar da Mesa06CCL-5
                                                                                      GABINETE DA PRESIDÊNCIA
                                                                                      Chefe de Gabinete01CCL-3
                                                                                      Assessor Parlamentar da Presidência 01CCL-3
                                                                                      Assessor de Apoio para Assuntos de Planejamento01CCL-3
                                                                                      Assessor Executivo01CCL-3
                                                                                      Assessor de Cerimonial01CCL-5
                                                                                      Assessor de Relações Institucionais04CCL-5
                                                                                      Assessor para Assuntos Comunitários06CCL-5
                                                                                      Assessor Especial para a TV Câmara01CCL-5
                                                                                      COORDENADORIA DE COMUNICAÇÃO SOCIAL
                                                                                      Coordenador de Comunicação Social01CCL-3
                                                                                      PROCURADORIA JURÍDICA
                                                                                      Procurador Jurídico 01CCL-1
                                                                                      DIRETORIA DE CONTROLE INTERNO
                                                                                      Diretor de Controle Interno01CCL-2
                                                                                      GABINETES DOS VEREADORES
                                                                                      Chefe de Gabinete15CCL-4
                                                                                      Assessor Parlamentar15CCL-5
                                                                                      Assessor de Gabinete15CCL-6
                                                                                      Assessor Parlamentar de Base30CCL-7
                                                                                      GABINETE DA PRIMEIRA SECRETARIA
                                                                                      Assessor de Gabinete da Primeira Secretaria01CCL-3
                                                                                      DIRETORIA GERAL
                                                                                      Diretor Geral01CCL-1
                                                                                      Chefe da Divisão de Protocolo Geral, Expediente e Cerimonial Protocolar01CCL-3 FGDL
                                                                                      DIRETORIA LEGISLATIVA
                                                                                      Diretor Legislativo01CCL-2
                                                                                      Chefe da Divisão de Assistência Legislativa01CCL-3 FGDL
                                                                                      DIRETORIA ADMINISTRATIVA
                                                                                      Diretor Administrativo01CCL-2
                                                                                      Chefe da Divisão de Administração, Recursos Humanos e Licitações01CCL-3 FGDL
                                                                                      Chefe da Divisão de Finanças, Orçamento e Contabilidade01CCL-3 FGDL
                                                                                      Chefe da Divisão de Tecnologia da Informação01CCL-3 FGDL

                                                                                         

                                                                                        QUADRO GERAL DE CARGOS DE PROVIMENTO EM COMISSÃO - CCL
                                                                                        ÓRGÃOS/CARGOSN. CARGOSSÍMBOLO
                                                                                        GABINETE DA PRESIDÊNCIA
                                                                                        Chefe de Gabinete01CCL-3
                                                                                        COORDENADORIA DE COMUNICAÇÃO SOCIAL
                                                                                        Coordenador de Comunicação Social01CCL-3
                                                                                        PROCURADORIA JURÍDICA
                                                                                        Procurador Jurídico01CCL-1
                                                                                        DIRETORIA DE CONTROLE INTERNO
                                                                                        Diretor de Controle Interno01CCL-2
                                                                                        GABINETES DOS VEREADORES
                                                                                        Chefe de Gabinete15CCL-3
                                                                                        Assessor Parlamentar15CCL-4
                                                                                        Assessor de Gabinete30CCL-5
                                                                                        GABINETE DA PRIMEIRA SECRETARIA
                                                                                        Assessor de Gabinete da Primeira Secretaria01CCL-3
                                                                                        DIRETORIA GERAL
                                                                                        Diretor Geral01CCL-1
                                                                                        Chefe da Divisão de Protocolo Geral, Expediente e Cerimonial Protocolar01CCL-3 FGDL
                                                                                        DIRETORIA LEGISLATIVA
                                                                                        Diretor Legislativo01CCL-2
                                                                                        Chefe da Divisão de Assistência Legislativa01CCL-3 FGDL
                                                                                        DIRETORIA ADMINISTRATIVA
                                                                                        Diretor Administrativo01CCL-2
                                                                                        Chefe da Divisão de Administração, Recursos Humanos e Licitações01CCL-3 FGDL
                                                                                        Chefe da Divisão de Finanças, Orçamento e Contabilidade01CCL-3 FGDL
                                                                                        Chefe da Divisão de Tecnologia da Informação01CCL-3 FGDL
                                                                                        Alteração feita pelo Artigo - Lei Ordinária nº 9.103, de 01 de dezembro de 2011.

                                                                                           

                                                                                          QUADRO GERAL DE CARGOS DE PROVIMENTO EM COMISSÃO - CCL
                                                                                          ÓRGÃOS/CARGOSN. CARGOSSÍMBOLO
                                                                                          GABINETE DA PRESIDÊNCIA
                                                                                          Chefe de Gabinete01CCL-3
                                                                                          COORDENADORIA DE COMUNICAÇÃO SOCIAL
                                                                                          Coordenador de Comunicação Social01CCL-3
                                                                                          PROCURADORIA JURÍDICA
                                                                                          Procurador Jurídico01CCL-1
                                                                                          GABINETES DOS VEREADORES
                                                                                          Chefe de Gabinete15CCL-3
                                                                                          Assessor Parlamentar15CCL-4
                                                                                          Assessor de Gabinete30CCL-5
                                                                                          GABINETE DA PRIMEIRA SECRETARIA
                                                                                          Assessor de Gabinete da Primeira Secretaria01CCL-3
                                                                                          DIRETORIA GERAL
                                                                                          Diretor Geral01CCL-1
                                                                                          DIRETORIA LEGISLATIVA
                                                                                          Diretor Legislativo01CCL-2
                                                                                          DIRETORIA ADMINISTRATIVA
                                                                                          Diretor Administrativo01CCL-2
                                                                                          Alteração feita pelo Artigo - Lei Ordinária nº 9.409, de 06 de dezembro de 2012.

                                                                                             

                                                                                            QUADRO GERAL DE CARGOS DE PROVIMENTO EM COMISSÃO - CCL
                                                                                            ÓRGÃOS/CARGOSN. CARGOSSÍMBOLO
                                                                                            GABINETE DA PRESIDÊNCIA
                                                                                            Chefe de Gabinete01CCL-3
                                                                                            COORDENADORIA DE COMUNICAÇÃO SOCIAL
                                                                                            Coordenador de Comunicação Social01CCL-3
                                                                                            PROCURADORIA JURÍDICA
                                                                                            Procurador Jurídico01CCL-1
                                                                                            GABINETES DOS VEREADORES
                                                                                            Chefe de Gabinete15CCL-3
                                                                                            Assessor Parlamentar15CCL-4
                                                                                            Assessor de Gabinete30CCL-5
                                                                                            GABINETE DA PRIMEIRA SECRETARIA
                                                                                            Assessor de Gabinete da Primeira Secretaria01CCL-3
                                                                                            DIRETORIA GERAL
                                                                                            Diretor Geral01CCL-1
                                                                                            DIRETORIA DE COMPLIANCE E CONTROLE INTERNO
                                                                                            Diretor de Compliance e Controle Interno01CCL-2
                                                                                            DIRETORIA LEGISLATIVA
                                                                                            Diretor Legislativo01CCL-2
                                                                                            DIRETORIA ADMINISTRATIVA
                                                                                            Diretor Administrativo01CCL-2
                                                                                            Alteração feita pelo Artigo - Lei Ordinária nº 11.422, de 17 de dezembro de 2021.

                                                                                               

                                                                                              QUADRO GERAL DE CARGOS DE PROVIMENTO EM COMISSÃO - CCL
                                                                                              ÓRGÃOS/CARGOSN. CARGOSSÍMBOLO
                                                                                              GABINETE DA PRESIDÊNCIA
                                                                                              Chefe de Gabinete da Presidência01CCL-3
                                                                                              GABINETE DA PRIMEIRA SECRETARIA
                                                                                              Assessor de Gabinete da Primeira Secretaria01CCL-3
                                                                                              GABINETES DOS VEREADORES
                                                                                              Chefe de Gabinete23CCL-3
                                                                                              Assessor Parlamentar23CCL-4
                                                                                              Assessor de Gabinete46CCL-5
                                                                                              GABINETE DA PROCURADORIA DA MULHER
                                                                                              Assessor de Gabinete da Procuradoria da Mulher01CCL-4
                                                                                              GABINETE DA OUVIDORIA PARLAMENTAR
                                                                                              Assessor de Gabinete da Ouvidoria Parlamentar01CCL-3
                                                                                              DIRETORIA DE COMUNICAÇÃO SOCIAL
                                                                                              Diretor de Comunicação Social01CCL-2
                                                                                              Coordenador de Comunicação Institucional01CCL-3
                                                                                              Coordenador de Comunicação Digital01CCL-3
                                                                                              PROCURADORIA JURÍDICA
                                                                                              Procurador Jurídico01CCL-1
                                                                                              Subprocurador Jurídico01CCL-3
                                                                                              DIRETORIA DE COMPLIANCE E CONTROLE INTERNO
                                                                                              Diretor de Compliance e Controle Interno01CCL-2
                                                                                              DIRETORIA GERAL
                                                                                              Diretor Geral01CCL-1
                                                                                              DIRETORIA LEGISLATIVA
                                                                                              Diretor Legislativo01CCL-2
                                                                                              Coordenador do Núcleo de Assessoramento Técnico Superior01CCL-2
                                                                                              Assessor Especial para Assuntos Contábeis e Orçamentários01CCL-4
                                                                                              Assessor Especial para Assuntos Urbanísticos01CCL-4
                                                                                              Gerente de Apoio às Comissões01CCL-4
                                                                                              DIRETORIA ADMINISTRATIVA
                                                                                              Diretor Administrativo01CCL-2
                                                                                              DIRETORIA FINANCEIRA
                                                                                              Diretor Financeiro01CCL-2
                                                                                              Alteração feita pelo Artigo - Lei Ordinária nº 11.910, de 06 de janeiro de 2025.

                                                                                                 

                                                                                                QUADRO GERAL DE CARGOS DE PROVIMENTO EM COMISSÃO - CCL
                                                                                                ÓRGÃOS/CARGOSN. CARGOSSÍMBOLO
                                                                                                GABINETE DA PRESIDÊNCIA
                                                                                                Chefe de Gabinete da Presidência01CCL-3
                                                                                                Assessor de Gabinete da Presidência01CCL-4
                                                                                                GABINETE DA PRIMEIRA SECRETARIA
                                                                                                Assessor de Gabinete da Primeira Secretaria01CCL-3
                                                                                                GABINETES DOS VEREADORES
                                                                                                Chefe de Gabinete23CCL-3
                                                                                                Assessor Parlamentar46CCL-4
                                                                                                Assessor de Gabinete46CCL-5
                                                                                                GABINETE DA PROCURADORIA DA MULHER
                                                                                                Assessor de Gabinete da Procuradoria da Mulher01CCL-4
                                                                                                GABINETE DA OUVIDORIA PARLAMENTAR
                                                                                                Assessor de Gabinete da Ouvidoria Parlamentar01CCL-3
                                                                                                DIRETORIA DE COMUNICAÇÃO SOCIAL
                                                                                                Diretor de Comunicação Social01CCL-2
                                                                                                Coordenador de Comunicação Institucional01CCL-3
                                                                                                Coordenador de Comunicação Digital01CCL-3
                                                                                                PROCURADORIA JURÍDICA
                                                                                                Procurador Jurídico01CCL-1
                                                                                                Subprocurador Jurídico01CCL-3
                                                                                                DIRETORIA DE COMPLIANCE E CONTROLE INTERNO
                                                                                                Diretor de Compliance e Controle Interno01CCL-2
                                                                                                DIRETORIA GERAL
                                                                                                Diretor Geral01CCL-1
                                                                                                DIRETORIA EXECUTIVA
                                                                                                Diretor Executivo01CCL-2
                                                                                                DIRETORIA LEGISLATIVA
                                                                                                Diretor Legislativo01CCL-2
                                                                                                Coordenador do Núcleo de Assessoramento Técnico Superior01CCL-2
                                                                                                Assessor Especial para Assuntos Contábeis e Orçamentários01CCL-4
                                                                                                Assessor Especial para Assuntos Urbanísticos01CCL-4
                                                                                                Gerente de Apoio às Comissões01CCL-4
                                                                                                DIRETORIA ADMINISTRATIVA
                                                                                                Diretor Administrativo01CCL-2
                                                                                                DIRETORIA FINANCEIRA
                                                                                                Diretor Financeiro01CCL-2
                                                                                                Alteração feita pelo Artigo - Lei Ordinária nº 11.997, de 13 de agosto de 2025.

                                                                                                   

                                                                                                  REMUNERAÇÃO DOS CARGOS DE PROVIMENTO EM COMISSÃO
                                                                                                  TABELA DE PROPORCIONALIDADE
                                                                                                  SÍMBOLOFATOR MULTIPLICADORREFERÊNCIA
                                                                                                  CCL-11,68Vencimento do nível 35 da Tabela de Nível Superior do Pessoal Efetivo da Câmara Municipal de Maringá.
                                                                                                  CCL-21,24
                                                                                                  CCL-31,06
                                                                                                  CCL-40,79
                                                                                                  CCL-50,60
                                                                                                  CCL-60,44
                                                                                                  CCL-70,31

                                                                                                   

                                                                                                  Nota: Cargo em Comissão do Legislativo - CCL.

                                                                                                   

                                                                                                     

                                                                                                    REMUNERAÇÃO DOS CARGOS DE PROVIMENTO EM COMISSÃO
                                                                                                    TABELA DE PROPORCIONALIDADE
                                                                                                    SÍMBOLOFATOR MULTIPLICADORREFERÊNCIA
                                                                                                    CCL-12,64Vencimento do nível 01 da Tabela de Nível Superior do Pessoal Efetivo da Câmara Municipal de Maringá.
                                                                                                    CCL-21,95
                                                                                                    CCL-31,67
                                                                                                    CCL-41,35
                                                                                                    CCL-51,02

                                                                                                     

                                                                                                    Nota: Cargo em Comissão do Legislativo - CCL.

                                                                                                     

                                                                                                    Alteração feita pelo Artigo - Lei Ordinária nº 9.103, de 01 de dezembro de 2011.

                                                                                                       

                                                                                                      QUADRO DE FUNÇÕES GRATIFICADAS
                                                                                                      UNIDADESÍMBOLO
                                                                                                      DIRETORIA GERAL
                                                                                                      Divisão de Protocolo Geral, Expediente e Cerimonial Protocolar
                                                                                                      Chefe da Divisão de Protocolo Geral, Expediente e Cerimonial ProtocolarFGDL/CCL-3
                                                                                                      DIRETORIA LEGISLATIVA
                                                                                                      Divisão de Assistência Legislativa
                                                                                                      Chefe da Divisão de Assistência LegislativaFGDL/CCL-3
                                                                                                      Chefe da Seção de Processos LegislativosFGSL
                                                                                                      Chefe da Seção de RedaçãoFGSL
                                                                                                      Chefe da Seção de Comissões PermanentesFGSL
                                                                                                      Chefe da Seção de Apoio a Comissões Temporárias e Grupos de TrabalhoFGSL
                                                                                                      Chefe da Seção de Arquivo, Mecanografia e InformaçõesFGSL
                                                                                                      Chefe da Seção de Atas e AnaisFGSL
                                                                                                      DIRETORIA ADMINISTRATIVA
                                                                                                      Divisão de Administração, Recursos Humanos e Licitações
                                                                                                      Chefe da Divisão de Administração, Recursos Humanos e LicitaçõesFGDL/CCL-3
                                                                                                      Chefe da Seção de Recursos HumanosFGSL
                                                                                                      Chefe da Seção de Licitação e ComprasFGSL
                                                                                                      Chefe da Seção de Patrimônio e AlmoxarifadoFGSL
                                                                                                      Chefe da Seção de Portaria, Vigilância e SegurançaFGSL
                                                                                                      Chefe da Seção de Controle do Uso e da Manutenção de Veículos FGSL
                                                                                                      Chefe da Seção de ManutençãoFGSL
                                                                                                      Chefe do Serviço de Copa e LimpezaFGSEL
                                                                                                      Chefe do Serviço de Telefonia e ComunicaçõesFGSEL
                                                                                                      Divisão de Finanças, Orçamento e Contabilidade
                                                                                                      Chefe da Divisão de Finanças, Orçamento e ContabilidadeFGDL/CCL-3
                                                                                                      Chefe da Seção de Tesouraria e CaixaFGSL
                                                                                                      Chefe da Seção de Finanças, Orçamento e ContabilidadeFGSL
                                                                                                      Divisão de Tecnologia da Informação
                                                                                                      Chefe da Divisão de Tecnologia da InformaçãoFGDL/CCL-3
                                                                                                      Chefe da Seção de Processamento de DadosFGSL
                                                                                                      Chefe da Seção de Suporte Técnico e ManutençãoFGSL

                                                                                                       

                                                                                                         

                                                                                                        QUADRO DE FUNÇÕES GRATIFICADAS
                                                                                                        UNIDADESÍMBOLO
                                                                                                        GABINETE DA PRESIDÊNCIA
                                                                                                        Controladoria Interna
                                                                                                        Controlador InternoFGCL
                                                                                                        Coordenadoria de Comunicação Interna 
                                                                                                        Chefe da Seção de Acompanhamento e Processamento de Feitos Judiciais e AdministrativosFGSL
                                                                                                        DIRETORIA GERAL
                                                                                                        Divisão de Protocolo Geral, Expediente e Cerimonial Protocolar
                                                                                                        Chefe da Divisão de Protocolo Geral, Expediente e Cerimonial ProtocolarFGDL
                                                                                                        Divisão de Tecnologia da Informação
                                                                                                        Chefe da Divisão de Tecnologia da InformaçãoFGDL
                                                                                                        Chefe da Seção de Processamento de DadosFGSL
                                                                                                        Chefe da Seção de Suporte Técnico e ManutençãoFGSL
                                                                                                        DIRETORIA LEGISLATIVA
                                                                                                        Divisão de Assistência Legislativa
                                                                                                        Chefe da Divisão de Assistência LegislativaFGDL
                                                                                                        Chefe da Seção de Processos LegislativoFGSL
                                                                                                        Chefe da Seção de RedaçãoFGSL
                                                                                                        Chefe da Seção de Comissões Permanentes e TemporáriasFGSL
                                                                                                        Chefe da Seção de Arquivo, Mecanografia e InformaçõesFGSL
                                                                                                        Chefe da Seção de Atas e AnaisFGSL
                                                                                                        DIRETORIA ADMINISTRATIVA
                                                                                                        Divisão de Administração, Recursos Humanos e Licitações
                                                                                                        Chefe da Divisão de Administração, Recursos Humanos e LicitaçõesFGDL
                                                                                                        Chefe da Seção de Recursos HumanosFGSL
                                                                                                        Chefe da Seção de Licitação e ComprasFGSL
                                                                                                        Chefe da Seção de AlmoxarifadoFGSL
                                                                                                        Chefe da Seção de Portaria, Vigilância e SegurançaFGSL
                                                                                                        Chefe da Seção de Controle do Uso e da Manutenção de VeículosFGSL
                                                                                                        Chefe da Seção de ManutençãoFGSL
                                                                                                        Chefe do Serviço de Copa e LimpezaFGSL
                                                                                                        Chefe do Serviço de Telefonia e ComunicaçõesFGSL
                                                                                                        Divisão de Finanças, Orçamento e Contabilidade
                                                                                                        Chefe da Divisão de Finanças, Orçamento e ContabilidadeFGDL
                                                                                                        Chefe da Seção de Tesouraria e CaixaFGSL
                                                                                                        Chefe da Seção de Finanças, Orçamento e ContabilidadeFGSL
                                                                                                        Chefe da Seção de PatrimônioFGSL

                                                                                                         

                                                                                                        Alteração feita pelo Artigo - Lei Ordinária nº 9.409, de 06 de dezembro de 2012.

                                                                                                           

                                                                                                          QUADRO DE FUNÇÕES GRATIFICADAS
                                                                                                          UNIDADESÍMBOLO
                                                                                                          GABINETE DA PRESIDÊNCIA
                                                                                                          Controladoria Interna
                                                                                                          Controlador InternoFGCL
                                                                                                          Coordenador de Comunicação Social
                                                                                                          Coordenador da Seção de Comunicação SocialFGSL
                                                                                                          DIRETORIA GERAL
                                                                                                          Divisão de Protocolo Geral e Cerimonial
                                                                                                          Coordenador da Divisão de Protocolo Geral e CerimonialFGDL
                                                                                                          Divisão de Tecnologia da Informação
                                                                                                          Coordenador da Divisão de Tecnologia da InformaçãoFGDL
                                                                                                          Coordenador da Seção de Suporte Técnico, Dados e ManutençãoFGSL
                                                                                                          DIRETORIA LEGISLATIVA
                                                                                                          Divisão de Assistência Legislativa
                                                                                                          Coordenador da Divisão de Assistência LegislativaFGDL
                                                                                                          Coordenador da Seção de Redação e  Processos LegislativoFGSL
                                                                                                          Coordenador da Seção de Comissões Permanentes e TemporáriasFGSL
                                                                                                          Coordenador da Seção de Arquivo e InformaçõesFGSL
                                                                                                          Divisão de Acompanhamento e Execução de Leis e Projetos Especiais
                                                                                                          Coordenador da Divisão de Acompanhamento e Execução de Leis e Projetos EspeciaisFGDL
                                                                                                          Coordenador da Seção de Projetos EspeciaisFGSL
                                                                                                          DIRETORIA ADMINISTRATIVA
                                                                                                          Divisão de Administração e Recursos Humanos
                                                                                                          Coordenador da Divisão de Administração e Recursos HumanosFGDL
                                                                                                          Coordenador da Seção de Portaria, Vigilância e SegurançaFGSL
                                                                                                          Coordenador do Serviço de Copa e LimpezaFGSL
                                                                                                          Divisão de Licitações e Compras
                                                                                                          Coordenador da Divisão de Licitação e ComprasFGDL
                                                                                                          Divisão de Finanças, Orçamento e Contabilidade
                                                                                                          Coordenador da Divisão de Finanças, Orçamento e ContabilidadeFGDL
                                                                                                          Coordenador da Seção de Finanças, Orçamento e ContabilidadeFGSL

                                                                                                           

                                                                                                          Alteração feita pelo Artigo - Lei Ordinária nº 9.542, de 16 de julho de 2013.

                                                                                                             

                                                                                                            QUADRO DE FUNÇÕES GRATIFICADAS
                                                                                                            UNIDADESÍMBOLO
                                                                                                            GABINETE DA PRESIDÊNCIA
                                                                                                            Controladoria Interna
                                                                                                            Controlador InternoFGCL
                                                                                                            Coordenador de Comunicação Social
                                                                                                            Coordenador da Seção de Comunicação SocialFGSL
                                                                                                            Coordenador da Seção de CerimonialFGSL
                                                                                                            DIRETORIA GERAL
                                                                                                            Divisão de Tecnologia da Informação
                                                                                                            Coordenador da Divisão de Tecnologia da InformaçãoFGDL
                                                                                                            Coordenador da Seção de Suporte Técnico, Dados e ManutençãoFGSL
                                                                                                            DIRETORIA LEGISLATIVA
                                                                                                            Divisão de Assistência Legislativa
                                                                                                            Coordenador da Divisão de Assistência LegislativaFGDL
                                                                                                            Coordenador da Seção de Protocolo GeralFGSL
                                                                                                            Coordenador da Seção de Redação e  Processo LegislativoFGSL
                                                                                                            Coordenador da Seção de Comissões Permanentes e TemporáriasFGSL
                                                                                                            Coordenador da Seção de Arquivo e InformaçõesFGSL
                                                                                                            Divisão de Acompanhamento e Execução de Leis e Projetos Especiais
                                                                                                            Coordenador da Divisão de Acompanhamento e Execução de Leis e Projetos EspeciaisFGDL
                                                                                                            Coordenador da Seção de Projetos EspeciaisFGSL
                                                                                                            DIRETORIA ADMINISTRATIVA
                                                                                                            Divisão de Administração e Recursos Humanos
                                                                                                            Coordenador da Divisão de Administração e Recursos HumanosFGDL
                                                                                                            Coordenador da Seção de Portaria, Vigilância e SegurançaFGSL
                                                                                                            Coordenador do Serviço de Copa e LimpezaFGSL
                                                                                                            Divisão de Licitações e Compras
                                                                                                            Coordenador da Divisão de Licitação e ComprasFGDL
                                                                                                            Divisão de Finanças, Orçamento e Contabilidade
                                                                                                            Coordenador da Divisão de Finanças, Orçamento e ContabilidadeFGDL
                                                                                                            Coordenador da Seção de Finanças, Orçamento e ContabilidadeFGSL

                                                                                                             

                                                                                                            Alteração feita pelo Artigo - Lei Ordinária nº 9.792, de 09 de julho de 2014.

                                                                                                               

                                                                                                              QUADRO DE FUNÇÕES GRATIFICADAS
                                                                                                              UNIDADESÍMBOLO
                                                                                                              GABINETE DA PRESIDÊNCIA
                                                                                                              Coordenadoria de Comunicação Social
                                                                                                              Coordenador da Seção de Comunicação SocialFGSL
                                                                                                              Coordenador da Seção de CerimonialFGSL
                                                                                                              PROCURADORIA JURÍDICA 
                                                                                                              Coordenadora da Seção de Apoio à Procuradoria da MulherFGSL
                                                                                                              DIRETORIA GERAL
                                                                                                              Divisão de Tecnologia da Informação
                                                                                                              Coordenador da Divisão de Tecnologia da InformaçãoFGDL
                                                                                                              Coordenador da Seção de Suporte Técnico, Dados e ManutençãoFGSL
                                                                                                              DIRETORIA LEGISLATIVA
                                                                                                              Divisão de Assistência Legislativa
                                                                                                              Coordenador da Divisão de Assistência LegislativaFGDL
                                                                                                              Coordenador da Seção de Protocolo GeralFGSL
                                                                                                              Coordenador da Seção de Redação e  Processo LegislativoFGSL
                                                                                                              Coordenador da Seção de Comissões Permanentes e TemporáriasFGSL
                                                                                                              Coordenador da Seção de Arquivo e InformaçõesFGSL
                                                                                                              Divisão de Acompanhamento e Execução de Leis e Projetos Especiais
                                                                                                              Coordenador da Divisão de Acompanhamento e Execução de Leis e Projetos EspeciaisFGDL
                                                                                                              DIRETORIA ADMINISTRATIVA
                                                                                                              Divisão de Administração e Recursos Humanos
                                                                                                              Coordenador da Divisão de Administração e Recursos HumanosFGDL
                                                                                                              Coordenador da Seção de Portaria, Vigilância e SegurançaFGSL
                                                                                                              Coordenador do Serviço de Copa e LimpezaFGSL
                                                                                                              Divisão de Licitações e Compras
                                                                                                              Coordenador da Divisão de Licitação e ComprasFGDL
                                                                                                              Divisão de Finanças, Orçamento e Contabilidade
                                                                                                              Coordenador da Divisão de Finanças, Orçamento e ContabilidadeFGDL
                                                                                                              Coordenador da Seção de Finanças, Orçamento e ContabilidadeFGSL

                                                                                                               

                                                                                                              Alteração feita pelo Artigo - Lei Ordinária nº 11.422, de 17 de dezembro de 2021.

                                                                                                                 

                                                                                                                QUADRO DE FUNÇÕES GRATIFICADAS
                                                                                                                UNIDADESÍMBOLO
                                                                                                                DIRETORIA DE COMUNICAÇÃO SOCIAL
                                                                                                                Coordenadoria de Comunicação Institucional 
                                                                                                                Coordenador da Seção de CerimonialFGSL
                                                                                                                Coordenadoria de Comunicação Digital 
                                                                                                                Coordenador da Seção de AudiovisualFGSL
                                                                                                                DIRETORIA GERAL
                                                                                                                Divisão de Tecnologia da Informação
                                                                                                                Coordenador da Divisão de Tecnologia da InformaçãoFGDL
                                                                                                                Coordenador da Seção de Suporte Técnico, Dados e ManutençãoFGSL
                                                                                                                DIRETORIA LEGISLATIVA
                                                                                                                Divisão de Assistência Legislativa
                                                                                                                Coordenador da Divisão de Assistência LegislativaFGDL
                                                                                                                Coordenador da Seção de Protocolo GeralFGSL
                                                                                                                Coordenador da Seção de Redação e  Processo LegislativoFGSL
                                                                                                                Coordenador da Seção de Comissões Permanentes e TemporáriasFGSL
                                                                                                                Coordenador da Seção de Arquivo e InformaçõesFGSL
                                                                                                                Divisão de Acompanhamento e Execução das Leis e Projetos Especiais
                                                                                                                Coordenador da Divisão de Acompanhamento e Execução das Leis e Projetos EspeciaisFGDL
                                                                                                                DIRETORIA ADMINISTRATIVA
                                                                                                                Divisão de Administração
                                                                                                                Coordenador da Divisão de AdministraçãoFGDL
                                                                                                                Coordenador da Seção de Portaria, Vigilância e SegurançaFGSL
                                                                                                                Coordenador da Seção de Copa e LimpezaFGSL
                                                                                                                Coordenador da Seção de TelefoniaFGSL
                                                                                                                Coordenador da Seção de Controle do Uso e da Manutenção de VeículosFGSL
                                                                                                                Coordenador da Seção de Manutenção Predial e JardinagemFGSL
                                                                                                                Divisão de Recursos Humanos 
                                                                                                                Coordenador da Divisão de Recursos HumanosFGDL
                                                                                                                Divisão de Licitações e Compras
                                                                                                                Coordenador da Divisão de Licitações e ComprasFGDL
                                                                                                                DIRETORIA FINANCEIRA 
                                                                                                                Divisão de Finanças, Orçamento e Contabilidade
                                                                                                                Coordenador da Divisão de Finanças, Orçamento e ContabilidadeFGDL
                                                                                                                Coordenador da Seção de Finanças, Orçamento e ContabilidadeFGSL

                                                                                                                 

                                                                                                                Alteração feita pelo Artigo - Lei Ordinária nº 11.910, de 06 de janeiro de 2025.

                                                                                                                   

                                                                                                                  REMUNERAÇÃO DAS FUNÇÕES GRATIFICADAS
                                                                                                                  TABELA DE PROPORCIONALIDADE
                                                                                                                  SÍMBOLOFATOR MULTIPLICADORREFERÊNCIA
                                                                                                                  FGDL0,59Vencimento do nível 35 da Tabela de Nível Superior do Pessoal Efetivo da Câmara Municipal de Maringá.
                                                                                                                  FGSL0,26
                                                                                                                  FGSEL0,10

                                                                                                                     

                                                                                                                    REMUNERAÇÃO DAS FUNÇÕES GRATIFICADAS
                                                                                                                    TABELA DE PROPORCIONALIDADE
                                                                                                                    SÍMBOLOFATOR MULTIPLICADORREFERÊNCIA
                                                                                                                    FGDL0,94Vencimento do nível 01 da Tabela de Nível Superior do Pessoal Efetivo da Câmara Municipalde Maringá.
                                                                                                                    FGSL0,41
                                                                                                                    FGSEL0,16
                                                                                                                    Alteração feita pelo Artigo - Lei Ordinária nº 9.103, de 01 de dezembro de 2011.

                                                                                                                       

                                                                                                                      REMUNERAÇÃO DAS FUNÇÕES GRATIFICADAS
                                                                                                                      TABELA DE PROPORCIONALIDADE
                                                                                                                      SÍMBOLOFATOR MULTIPLLICADORREFERÊNCIA
                                                                                                                      FGCL0,94Vencimento do nível 01 da Tabela de Nível Superior do Pessoal Efetivo da Câmara Municipalde Maringá.
                                                                                                                      FGDL0,94
                                                                                                                      FGSL0,41
                                                                                                                      Alteração feita pelo Artigo - Lei Ordinária nº 9.409, de 06 de dezembro de 2012.

                                                                                                                         

                                                                                                                        REMUNERAÇÃO DAS FUNÇÕES GRATIFICADAS
                                                                                                                        TABELA DE PROPORCIONALIDADE
                                                                                                                        SÍMBOLOFATOR MULTIPLLICADORREFERÊNCIA
                                                                                                                        FGCL0,94Vencimento do nível 01 da Tabela de Nível Superior do Pessoal Efetivo da Câmara Municipalde Maringá.
                                                                                                                        FGDL0,94
                                                                                                                        FGSL0,58
                                                                                                                        Alteração feita pelo Artigo - Lei Ordinária nº 9.648, de 10 de dezembro de 2013.

                                                                                                                           

                                                                                                                          REMUNERAÇÃO DAS FUNÇÕES GRATIFICADAS
                                                                                                                          TABELA DE PROPORCIONALIDADE
                                                                                                                          SÍMBOLOFATOR MULTIPLICADORREFERÊNCIA
                                                                                                                          FGDL0,94Vencimento do nível 01 da Tabela de Nível Superior do Pessoal Efetivo da Câmara Municipalde Maringá.
                                                                                                                          FGSL0,58
                                                                                                                          Alteração feita pelo Artigo - Lei Ordinária nº 11.422, de 17 de dezembro de 2021.

                                                                                                                             

                                                                                                                            REMUNERAÇÃO DAS FUNÇÕES GRATIFICADAS
                                                                                                                            TABELA DE PROPORCIONALIDADE
                                                                                                                            SÍMBOLOFATOR MULTIPLICADORREFERÊNCIA
                                                                                                                            FGDL1,30Vencimento do nível 01 da Tabela de Nível Superior do Pessoal Efetivo da Câmara Municipal de Maringá.
                                                                                                                            FGSL1,00
                                                                                                                            Alteração feita pelo Artigo - Lei Ordinária nº 11.910, de 06 de janeiro de 2025.

                                                                                                                               


                                                                                                                              REGULAMENTO DAS FUNÇÕES E ATRIBUIÇÕES DOS ÓRGÃOS, DOS CARGOS DE PROVIMENTO EM COMISSÃO E DAS FUNÇÕES GRATIFICADAS DA CÂMARA MUNICIPAL DE MARINGÁ


                                                                                                                              Art. 1.º
                                                                                                                              Este Regulamento estabelece as funções e atribuições dos órgãos, dos cargos de provimento em comissão e das funções gratificadas da Câmara Municipal de Maringá.

                                                                                                                              Art. 2.º Os cargos de provimento em comissão e as funções gratificadas da Câmara Municipal de Maringá, observadas as disposições desta Lei, são de livre nomeação e exoneração do Presidente da Câmara e se destinam às atividades de assessoramento, direção e chefia do Poder Legislativo.

                                                                                                                              § 1.º Para atender interesse do Legislativo, o horário de trabalho dos ocupantes de cargos de provimento em comissão poderá ser flexibilizado, para ajustar-se às necessidades dos seus vários organismos, mediante prévia decisão do Presidente da Casa, respeitada a jornada diária correspondente.

                                                                                                                              § 2.º Além das atribuições específicas de cada um, são obrigações comuns a todos os ocupantes de cargos ou funções: observar e fazer observar no âmbito da repartição e no exercício do múnus público os direitos e deveres inerentes ao cargo ou função; utilizar, operar e administrar diligentemente os serviços, móveis e equipamentos da repartição; desempenhar outras atividades meio necessárias ao cumprimento de suas atribuições, bem assim outras que lhe forem regularmente atribuídas pela autoridade responsável, relacionadas ao exercício do mandato parlamentar e aos objetivos institucionais do Legislativo.

                                                                                                                              Art. 3.º São órgãos da Câmara Municipal de Maringá:

                                                                                                                              1. Mesa Executiva;

                                                                                                                              2. Gabinete da Presidência;

                                                                                                                              3. Coordenadoria de Comunicação Social;

                                                                                                                              4. Procuradoria Jurídica;

                                                                                                                              5. Diretoria de Controle Interno;

                                                                                                                              6. Gabinetes dos Vereadores;

                                                                                                                              7. Gabinete da Primeira Secretaria;

                                                                                                                              8. Diretoria Geral;

                                                                                                                              9. Diretoria Legislativa;

                                                                                                                              10. Diretoria Administrativa.

                                                                                                                               

                                                                                                                              MESA EXECUTIVA

                                                                                                                               

                                                                                                                              Art. 4.º A Mesa Executiva tem a composição determinada pela Lei Orgânica do Município e pelo Regimento Interno da Câmara.

                                                                                                                              Art. 5.º As atribuições da Mesa Executiva da Câmara Municipal são as definidas na Lei Orgânica do Município, no Regimento Interno e na legislação que disciplina a estruturação orgânico-administrativa da Casa.

                                                                                                                              Art. 6.º O Presidente é o representante da Câmara, judicial ou extrajudicialmente, competindo-lhe dirigir seus trabalhos legislativos e serviços administrativos, bem como fiscalizar sua ordem e disciplina.

                                                                                                                              Art. 7.º Compete ao Primeiro-Secretário, sob a orientação do Presidente, superintender os serviços administrativos da Casa.

                                                                                                                              Art. 8.º São atribuições dos Assessores Parlamentares da Mesa: prestar assessoria em geral e aconselhamento específico sobre assuntos da área de sua atuação ao Vereador integrante da Mesa junto ao qual exerce as atribuições de seu cargo, relacionadas com a competência regimental da Mesa e com as atribuições específicas do cargo que o respectivo Vereador desempenha na mesma; realizar estudos e pesquisas para subsidiar assessoramento no exame de proposições e expedientes em geral que passem pela apreciação da Mesa; relacionar dados, preparar sínteses e expor conclusões para subsidiar encaminhamento de decisões da Mesa sobre assuntos relacionados com a competência regimental da mesma; acompanhar, junto às áreas competentes da Câmara, aos órgãos da Administração Municipal e aos organismos públicos em geral, a tramitação de expedientes de interesse da Mesa ou do Vereador que a integre nessa condição; manter o Vereador assessorado atualizado sobre modificações legislativas que tenham reflexos de qualquer ordem na Câmara Municipal e, por decorrência, na Mesa, órgão que a administra; executar outras tarefas correlatas, na área de sua competência.

                                                                                                                               

                                                                                                                              GABINETE DA PRESIDÊNCIA

                                                                                                                               

                                                                                                                              Art. 9.º Ao Gabinete da Presidência, dirigido por ele próprio, com auxílio de seu Chefe de Gabinete e demais componentes do seu staff político-administrativo, compete a assistência e o encaminhamento dos assuntos do interesse da Presidência; organizar e dirigir a realização das audiências; a expedição e a recepção das correspondências do Gabinete e o desempenho das demais funções burocráticas, a critério da Presidência, e as funções de Representação do Poder Legislativo e de Administração da Casa.

                                                                                                                              Art. 10. O Chefe de Gabinete tem como atribuições, em síntese: a direção, orientação, controle, promoção e fiscalização das atividades inerentes ao Gabinete da Presidência; a manutenção do controle dos expedientes em tramitação no Gabinete; o recebimento, a distribuição e o encaminhamento de correspondência, ordens de serviços e demais trabalhos para execução; a supervisão da devida ordem no arquivo da Presidência; o encaminhamento ao protocolo, para distribuição, da documentação devidamente despachada; a recepção de autoridades e demais convidados e respectiva condução ao Presidente, sobretudo quando da realização de atos solenes.

                                                                                                                              Art. 11. O Assessor Parlamentar da Presidência tem como atribuições: o assessoramento do Presidente consistente no exame de processos e assuntos a serem submetidos à sua decisão; a realização de estudos e pesquisas para embasamento e esclarecimento de sugestões e iniciativas sobre temas de interesse público municipal sob o crivo da Câmara; a resposta a consultas, verbalmente ou por escrito, sobre assuntos e proposições em tramitação na Casa, sobretudo para fins de subsidiar a Presidência; o acompanhamento e a supervisão das atividades executadas pelos Assessores de Relações Institucionais e Assessores para Assuntos Comunitários, com a recepção, análise e encaminhamento dos relatórios apresentados ao Presidente, para a deliberação e a eventual adoção das medidas que se fizerem necessárias ou convenientes; e a execução de outras tarefas correlatas.

                                                                                                                              Art. 12. Compete ao Assessor de Apoio para Assuntos de Planejamento, em síntese: prestar assessoria e aconselhamento ao Presidente, à Mesa Executiva, às Comissões Permanentes e aos Vereadores, emitindo parecer quando solicitado; elaborar estudos administrativos e legislativos; realizar estudos, pesquisas e compilação de dados acerca da estrutura organizacional e de atribuições dos cargos e funções da Câmara; colaborar na reunião de informações a serem prestadas ao Tribunal de Contas do Estado e demais órgãos públicos e particulares interessados; propor medidas de planejamento geral e específico nas funções administrativas e política da Câmara; executar outras tarefas correlatas.

                                                                                                                              Art. 13. O Assessor Executivo tem como atribuições: colaborar no planejamento, organização e direção de serviços do Gabinete da Presidência; assistência e assessoramento direto ao Presidente no exercício de suas atividades e compromissos; coletar informações para a consecução de objetivos e metas estipulados pelo Gabinete; a redação, digitação, interpretação e sintetização de textos e documentos; classificação, registro e distribuição de expedientes e outras tarefas correlatas; a avaliação e seleção da correspondência, para fins de encaminhamento à Chefia; a organização e manutenção dos arquivos do Gabinete; colaborar no desenvolvimento de atividades protocolares; desempenhar outras atividades afins.

                                                                                                                              Art. 14. O Assessor de Cerimonial tem como atribuições: a cooperação na organização da agenda do Presidente; a colaboração na organização do calendário e das solenidades cívicas e legislativas; a composição de relação de convidados e a elaboração de convites para solenidades; a cooperação no planejamento e na organização de audiências públicas, seminários, simpósios, congressos e outros eventos; a recepção de autoridades e a condução das mesmas até o Chefe de Gabinete; a recepção de demais convidados e participantes; a elaboração dos roteiros dos atos solenes e do protocolo de precedência, quando necessários; tratar as visitas oficiais feitas e recebidas; realizar suas atribuições nos velórios de autoridades realizados no recinto da Câmara; o encaminhamento, para divulgação, de informações institucionais à Coordenadoria de Comunicação Social; a organização de cadastro de autoridades; a assistência ao Chefe de Gabinete e ao Diretor Geral na organização do calendário e na execução de eventos e outros serviços correlatos.

                                                                                                                              Art. 15. Os Assessores de Relações Institucionais têm como atribuições: a efetivação das relações determinadas pelo Presidente com o conjunto das instituições, como as universidades, institutos, associações e assemelhados de ensino superior, educacionais, culturais, éticos, ambientais, históricos, esportivos, empresariais; a identificação e a consulta dos respectivos anseios e interesses; o incentivo à participação no trabalho da Câmara Municipal, no estudo e nas decisões dos problemas comuns da Cidade de Maringá; o acompanhamento de atividades que se executem em parceria das iniciativas pública e privada, na defesa e promoção da cidadania; a articulação institucional da Câmara Municipal com as demais instituições; a apresentação de relatório semanal das atividades desenvolvidas ao Assessor Parlamentar da Presidência, para análise e encaminhamento das conclusões obtidas ao Presidente da Câmara.

                                                                                                                              Art. 16. Os Assessores para Assuntos Comunitários têm como atribuições: a efetivação das relações determinadas pelo Presidente com as comunidades populares do Município, organizadas ou não; a identificação e a consulta dos respectivos anseios e interesses; o incentivo e a viabilização da respectiva participação no trabalho da Câmara Municipal, no estudo e nas decisões dos problemas comuns da Cidade de Maringá; o acompanhamento de atividades que se executem em parceria das iniciativas pública e privada, na defesa e promoção da cidadania; a orientação e encaminhamento de cidadãos aos setores públicos e privados, efetivando a necessária articulação institucional da Câmara Municipal com a comunidade; a apresentação de relatório semanal das atividades desenvolvidas ao Assessor Parlamentar da Presidência, para análise e encaminhamento das conclusões obtidas ao Presidente da Câmara.

                                                                                                                              Art. 17. O Assessor Especial para a TV Câmara tem como atribuições: assessorar o Presidente na supervisão direta das atividades da TV Câmara, cooperando para a execução da política de comunicação adotada pelo Poder Legislativo e a observância da legislação pertinente; colaborar na definição de estratégias e ações que visem à ampla divulgação das atividades legislativas, como forma de valorização institucional da Câmara; acompanhar as atividades de planejamento e obtenção dos elementos necessários à produção dos programas, bem como as operações relativas à execução dos programas; acompanhar e informar ao Presidente a repercussão da programação veiculada pela TV Câmara junto aos órgãos de imprensa e à população em geral; executar outras atividades correlatas.

                                                                                                                               

                                                                                                                              COORDENADORIA DE COMUNICAÇÃO SOCIAL

                                                                                                                               

                                                                                                                              Art. 18. A Coordenadoria de Comunicação Social, vinculada diretamente ao Presidente, tem como atribuições: o planejamento e a execução da política de comunicação; o estabelecimento de estratégias para a valorização do Poder Legislativo; a divulgação ampla e irrestrita das atividades da Câmara Municipal, dos seus organismos e dos Vereadores, com o objetivo de informar, educar e orientar a população; a coordenação do planejamento e da realização de campanhas publicitárias institucionais; a atividade cerimonial protocolar, nas atividades em que se fizer necessária; a formação, alimentação e manutenção do acervo multimídia na internet, garantindo à população o acesso ao mesmo.

                                                                                                                              Art. 19.O Coordenador de Comunicação Social tem como atribuições: a coordenação da execução das atribuições de sua unidade; a participação na análise política dos fatos de interesse da Câmara Municipal; de conformidade com as instruções do Presidente e do Diretor Geral, chefiar, supervisionar e coordenar a divulgação das atividades da Câmara Municipal, dos seus organismos e dos Vereadores; a composição de programa de execução dessas atribuições e de controle das mesmas; a composição da pauta de trabalho, otimizando as atividades dos servidores integrantes de sua Coordenadoria; junto aos mesmos, o fomento da produção de noticiário para ser veiculado em todos os meios de veiculação; a orientação, seleção e crítica do material produzido; a direção na distribuição de textos, fotos e releases aos meios de comunicação de massa; aprovar a programação dos serviços fotográficos; fazer com que seja capturado em todas as formas de comunicação todo o registro das atividades da Coordenadoria, da Câmara em geral, dos Vereadores, ou aquelas veiculadas nos meios de comunicação televisada, irradiada, escrita e pela internet, para fins de composição do acervo multimídia; opinar e decidir com as autoridades superiores sobre a produção e a edição de publicações, programação de mídia impressa ou não; coordenar a produção de material gráfico de apoio a eventos e campanhas institucionais; o fornecimento, no momento oportuno, ao Diretor Geral, dos elementos necessários à composição da escala de férias; o estabelecimento e a manutenção de diretrizes necessárias ao fomento, manutenção e utilização do acervo multimídia; a autorização de solicitação de materiais, bens e serviços necessários à Coordenadoria; executar atividades correlatas.

                                                                                                                               

                                                                                                                              PROCURADORIA JURÍDICA

                                                                                                                               

                                                                                                                              Art. 20. A Procuradoria Jurídica, órgão vinculado ao Presidente da Casa, tem como atribuições a representação em qualquer foro ou instância da Câmara Municipal, nos feitos de que ela participe; o estudo e as providências alusivas à declaração de inconstitucionalidade; a participação na análise de temas políticos; apreciação de propostas de alteração de entendimentos de natureza jurídica, dos recursos ao Plenário, dos Recursos de Revista e/ou outros questionamentos; a manifestação nas propostas de adoção de precedentes firmados na aplicação do Regimento Interno; a promoção, direta ou indireta, do assessoramento às Comissões Especiais de Estudos, Comissões Parlamentares de Inquérito, Comissões Processantes, à Presidência, aos organismos da Casa e aos Vereadores.

                                                                                                                              Art. 21. O Procurador Jurídico tem como atribuições: a representação em qualquer foro ou instância da Câmara Municipal, nos feitos que ela integre, inclusive em mandado de segurança proposto contra ocupantes de cargos da Mesa; o estudo e as providências alusivas à declaração de inconstitucionalidade; a participação na análise de temas políticos; estudar e minutar contratos, termos de compromisso e responsabilidade, convênios e outros atos; emitir pareceres singulares ou relatar pareceres coletivos; responder a consulta sobre interpretação de textos legais de interesse da Câmara Municipal; apreciação de propostas de alteração de entendimentos de natureza jurídica formulados pelos advogados, dos recursos ao Plenário, dos Recursos de Revista e/ou outros questionamentos; a manifestação nas propostas de adoção de precedentes firmados quanto à aplicação do Regimento Interno; o assessoramento, direto ou indireto, de Comissões Especiais de Estudos, Comissões Parlamentares de Inquérito, Comissões Processantes, da Presidência, dos organismos da Casa e dos Vereadores; o esclarecimento ao Plenário, à Mesa Executiva, aos Vereadores e aos organismos da Casa das dúvidas remanescentes; a supervisão das atividades da Procuradoria; a manifestação nos relatórios de comissões, audiências públicas, seminários, simpósios e de grupos de trabalho; a composição da escala de férias; dirigir equipes auxiliares no âmbito das atividades próprias do cargo; a execução de atividades correlatas.

                                                                                                                               

                                                                                                                              DIRETORIA DE CONTROLE INTERNO

                                                                                                                               

                                                                                                                              Art. 22. A Diretoria de Controle Interno, vinculada ao Presidente da Casa, tem como atribuições a execução, com autonomia, das funções de controle interno, nos termos da legislação municipal, estadual e federal aplicável, a elaboração e manutenção de manuais de procedimentos, a elaboração do programa permanente de auditagem e correição interna.

                                                                                                                              Art. 23. O Diretor de Controle Interno tem as atribuições de fazer com que se efetive o controle interno das atividades da Câmara Municipal, cumprindo e fazendo cumprir a respectiva legislação federal, estadual e municipal, para o que receberá a cooperação e a colaboração devida de todas as repartições, seus titulares e servidores, tendo atendidas suas solicitações e determinações em caráter de precedência sobre as demais; assinar, juntamente com o Presidente, a Mesa Executiva e o Diretor Administrativo, o relatório das contas do Legislativo a ser enviado ao Tribunal de Contas, no que se refere à Lei de Responsabilidade Fiscal; na forma do estatuído pelo artigo 118 da Lei Orgânica do Município e artigo 219 do Regimento Interno da Câmara Municipal, promover a integração dos serviços de controle interno do Poder Legislativo com os serviços de controle interno do Poder Executivo; desenvolver as funções de controle interno na integralidade dos atos da Câmara Municipal, sejam de responsabilidade da Presidência, de todos os demais organismos da Casa, sejam de responsabilidade dos integrantes de seu funcionalismo, efetivos ou comissionados, e até de eventuais voluntários, na forma da lei; firmar documentos precedentemente ao Diretor Geral e ao Presidente, quando for o caso; dirigir a elaboração e a manutenção de manuais de procedimentos, ouvida a Mesa Executiva; fixar a programação permanente de auditagem e correição interna; pronunciar-se sobre os relatórios das atividades de controle interno; prestar informações do desenvolvimento dos trabalhos de controle interno ao Presidente, à Mesa Executiva e ao Diretor Geral, quando solicitado; o exercício de funções correlatas.

                                                                                                                              Art. 24. Não poderão ser designados para o exercício de funções do Controle Interno os cidadãos:

                                                                                                                              I – que sofreram apenação administrativa, civil ou penal transitada em julgado; 

                                                                                                                              II – que realizem atividade ou possuam vínculos político-partidários.

                                                                                                                              Art. 25. Constitui garantia do ocupante da função de responsável pelo Sistema de Controle Interno do Poder Legislativo independência profissional para o desempenho das atividades.

                                                                                                                              Art. 26. Os servidores da Diretoria de Controle Interno do Poder Legislativo guardarão sigilo sobre dados e informações de que tiverem conhecimento no exercício de suas funções, utilizando-os, exclusivamente, para a elaboração de pareceres e relatórios destinados à autoridade competente, sob pena de responsabilidade.

                                                                                                                              Parágrafo único. Os responsáveis pelo controle, ao tomarem conhecimento de qualquer irregularidade ou ilegalidade, dela darão ciência imediata ao Presidente da Câmara Municipal.

                                                                                                                               

                                                                                                                              GABINETES DOS VEREADORES

                                                                                                                               

                                                                                                                              Art. 27. Aos Gabinetes dos Vereadores, dirigidos por eles próprios, com auxílio de seus Chefes de Gabinete e demais assessores, compete o auxílio, a assistência e o encaminhamento dos assuntos gerais de interesse dos Gabinetes; a organização e a direção das audiências dos Vereadores; a preparação e a expedição das correspondências; o registro e o encaminhamento, para divulgação, dos atos do titular do Gabinete; a elaboração de proposições de iniciativa dos Vereadores, com as respectivas justificativas; e o desempenho de outros serviços burocráticos, a critério dos Vereadores, e das demais atividades correlatas.

                                                                                                                              Art. 28. São atribuições do Chefe de Gabinete: desempenhar funções internas e externas; prestar assessoramento e aconselhamento ao Vereador junto ao qual exerce as atribuições de seu cargo; realizar estudos e pesquisas para subsidiar assessoramento no exame de proposições e expedientes em geral que passem pela apreciação do Vereador; efetuar e elaborar trabalhos relacionados com o serviço e a assistência às bases, de interesse do Vereador; sugerir assuntos e temas para pronunciamento do Vereador; exercer atividades de divulgação dos trabalhos realizados e relações públicas do Vereador; controlar a assiduidade e frequência ao trabalho dos assessores lotados no respectivo Gabinete, bem como as atividades por eles realizadas; supervisionar, coordenar e controlar as atividades diárias do Gabinete, promovendo o ajuste das atividades ao plano de ações, atividades e programas.

                                                                                                                              Art. 29. São atribuições do Assessor Parlamentar: desempenhar funções internas e externas, segundo diretrizes e orientação superior; executar trabalhos de redação e resumo de acompanhamento de reuniões e comissões; auxiliar na realização de pesquisas, estudos e elaboração de informações de interesse do Gabinete; verificar e acompanhar a tramitação de assuntos junto a repartições públicas e órgãos da Câmara; responsabilizar-se pelo recebimento e encaminhamento de pareceres de comissões que o parlamentar integre; colaborar na organização de audiências públicas ou reuniões que devam ser promovidas pelo Vereador; elaborar os projetos de lei de iniciativa do Vereador e as respectivas justificativas.

                                                                                                                              Art. 30. São atribuições do Assessor de Gabinete: desempenhar funções internas e externas, segundo diretrizes e orientação superior; efetuar serviços de recepção, redação, digitação, organização de arquivos e catalogação dos pedidos de informações e respectivas respostas; controlar prazos e diligenciar respostas às proposições, indicações e pedidos do Vereador; colaborar na agenda política do parlamentar; manter arquivo de documentos e papéis em caráter particular endereçados ao Vereador; expedir convites e anotar todas as providências necessárias ao assessoramento do parlamentar; promover o registro de nome e endereço completo de autoridades, lideranças e cidadãos de interesse do Vereador.

                                                                                                                              Art. 31. São atribuições dos Assessores Parlamentares de Base: desempenhar funções internas e externas, segundo diretrizes e orientação superior; coletar dados para embasar a elaboração de proposições; gestionar perante os órgãos públicos para obter resposta de indagações de autoria do Vereador; encaminhar e acompanhar as reivindicações de cidadãos perante órgãos externos; atender à comunidade, prestando serviços de esclarecimentos e acolhendo solicitações; verificar e acompanhar a tramitação de assunto junto a repartições públicas e órgãos da Câmara; executar demais atividades relacionadas com os trabalhos desenvolvidos no Gabinete; elaborar e apresentar ao Chefe de Gabinete relatório periódico das atividades externas, para análise e encaminhamento das conclusões obtidas ao Vereador.

                                                                                                                              Art. ­­32. Os ocupantes dos cargos a que se referem os artigos 28 a 31 deverão, preferencialmente, possuir o seguinte nível mínimo de escolaridade:

                                                                                                                              I – Chefe de Gabinete: ensino médio;

                                                                                                                              II – Assessor Parlamentar: ensino médio;

                                                                                                                              III – Assessor de Gabinete: ensino fundamental;

                                                                                                                              IV – Assessores Parlamentares de Base: ensino fundamental.

                                                                                                                              Art. 33. O controle de assiduidade e frequência ao trabalho dos assessores lotados no respectivo Gabinete, bem como das atividades por eles realizadas, será exercido pelo Chefe de Gabinete, sob a supervisão do Vereador.

                                                                                                                              Parágrafo único. O controle de que trata o caput referente ao Chefe de Gabinete será exercido direta e exclusivamente pelo Vereador.

                                                                                                                              Art. 34. As atividades externas realizadas pelos assessores lotados no respectivo Gabinete deverão ser controladas por meio de apresentação de justificativa própria, contendo data, horário, local, tempo de permanência e assunto tratado, que deverá ser validada pelo Chefe de Gabinete e entregue ao setor de Administração e Recursos Humanos, com a anuência do Vereador, no prazo de até 3 (três) dias úteis da ocorrência, para fins de justificação de ausência do servidor do local de trabalho.

                                                                                                                              Art. 35. Todas as atividades do Gabinete serão de responsabilidade exclusiva do Vereador, inclusive aquelas realizadas em expediente externo, observadas as disposições legais.

                                                                                                                               

                                                                                                                              GABINETE DA PRIMEIRA SECRETARIA

                                                                                                                               

                                                                                                                              Art. 36. O Gabinete da Primeira Secretaria tem as atribuições determinadas pela Lei Orgânica e pelo Regimento Interno da Casa, destacando-se a superintendência dos serviços administrativos da Casa, sob a orientação do Presidente.

                                                                                                                              Art. 37. O Assessor de Gabinete da Primeira Secretaria tem como atribuições: a direção, orientação, controle, promoção e fiscalização das atividades inerentes ao Gabinete do Primeiro-Secretário; a manutenção do controle dos expedientes em tramitação no Gabinete; o recebimento, a distribuição e o encaminhamento de correspondências, ordens de serviços e demais trabalhos para execução; a supervisão da devida ordem no arquivo geral da Primeira Secretaria; o encaminhamento ao protocolo, para distribuição, da documentação devidamente despachada; a recepção de autoridades e demais convidados e respectiva condução ao Primeiro-Secretário, sobretudo quando da realização de atos solenes; assessorar o Primeiro-Secretário nas ações de superintendência dos serviços administrativos da Casa, cumprindo a programação de trabalho estabelecida; diligenciar o andamento dos projetos, indicações e requerimentos nas Comissões, com vistas a manter o Primeiro-Secretário apto a responder a consultas relativas à composição da Ordem do Dia das sessões; diligenciar informações sobre ações e medidas com vistas a manter o Primeiro-Secretário apto a discutir e analisar o andamento administrativo da Casa; organizar e dirigir as audiências; auxiliar, assistir e encaminhar os assuntos gerais de interesse do Gabinete; analisar a documentação destinada à assinatura do Primeiro-Secretário, orientando-o sobre os precedentes e rotinas estabelecidas; manter controle dos expedientes, papéis e demais documentos em tramitação no Gabinete; realizar os serviços pertinentes à Primeira Secretaria, à agenda e ao atendimento ao público; sugerir pronunciamentos sobre matérias em tramitação no Legislativo ou sobre acontecimentos que afetem a vida da comunidade; encaminhar demandas e retornar aos cidadãos as medidas resolutivas ou respostas a suas solicitações; agendar e organizar reuniões e debates e assessorar o Primeiro-Secretário em suas relações institucionais com os demais órgãos da Câmara Municipal e no relacionamento político-administrativo com os munícipes, órgãos e entidades públicas e privadas, associações de classe, entidades, organismos estaduais e federais; realizar contatos com autoridades públicas; representar o Primeiro-Secretário em reuniões e eventos, sempre que assim determinado pelo mesmo; sugerir encaminhamentos e pautas políticas; o registro e encaminhamento, para divulgação, dos atos do titular do Gabinete; executar tarefas correlatas.

                                                                                                                               

                                                                                                                              DIRETORIA GERAL

                                                                                                                               

                                                                                                                              Art. 38. A Diretoria Geral, vinculada diretamente ao Presidente da Casa, tem como atribuições: a discussão de temas políticos; proporcionar e garantir os serviços administrativos, legislativos, de apoio e de ação comum à Câmara, Plenário, Mesa Executiva, Presidência, Comissões Permanentes, Comissões Temporárias, Grupos de Trabalho, Frentes Parlamentares, Audiências Públicas, Vereadores e demais organismos; conduzir, de acordo com as determinações superiores, o exercício das atividades institucionais da Casa e o atendimento público, zelando para que tais procedimentos assegurem o eficiente funcionamento do Legislativo.

                                                                                                                               

                                                                                                                              Art. 39. O Diretor Geral tem como atribuições: programar, supervisionar, dirigir, coordenar, orientar e controlar a execução de todos os serviços legislativos e administrativos da Câmara Municipal; autorizar a expedição e assinar as certidões requeridas; assinar os processos de pagamento das despesas da Câmara e encaminhar à Presidência para a competente autorização e pagamento; dar posse a todos os servidores efetivos e comissionados da Câmara Municipal, mediante termo em livro próprio; conhecer de todo expediente oriundo das Diretorias; assinar ofícios, atestados, certidões, editais e outros documentos da Câmara Municipal; expedir ordens de serviços e demais atos necessários à execução dos trabalhos da Câmara Municipal, conforme instruções e decisões da Presidência; julgar justificadas ou não faltas ao serviço dos servidores, de acordo com a legislação vigente; autorizar a lotação do pessoal da Câmara Municipal; emitir despachos em processos cuja decisão caiba à autoridade superior; emitir despachos decisórios em processos de sua competência; encaminhar à Mesa Executiva, até o dia 30 de janeiro, o relatório anual circunstanciado das atividades desenvolvidas pela Câmara Municipal; propor medidas à Mesa Executiva que visem a facilitar os serviços da Câmara Municipal; apreciar e encaminhar os relatórios mensais e anuais apresentados pelos órgãos da Câmara Municipal e elaborar um relatório geral para a Mesa Executiva e a Presidência; despachar o expediente com o Presidente da Câmara Municipal; promover reuniões com os Diretores e Chefes das Divisões, Seções e Serviços, para tratar de assuntos relacionados com os serviços da Câmara; comunicar-se com outras repartições públicas, sempre que necessário, para a resolução de assuntos de interesse da Câmara; assinar os cheques em geral, juntamente com o Presidente ou outro membro da Mesa Executiva autorizado; conservar e zelar pelos bens patrimoniais da Câmara Municipal, sob sua responsabilidade e guarda; prestar esclarecimentos em Plenário, quando solicitado; assessorar a Mesa Executiva nos atos e decisões de serviços da Câmara Municipal; assessorar a Mesa e os Vereadores em matéria de sua competência; autorizar a prestação de serviços extraordinários por parte dos funcionários da Câmara, ouvidos os respectivos superiores; superintender, direta ou indiretamente, a fiscalização da execução dos contratos celebrados pela Câmara Municipal; fixar, por ato administrativo, a escala anual de férias dos servidores, ouvindo os respectivos superiores; encaminhar à Diretoria Administrativa, por intermédio da Divisão de Finanças, Orçamento e Contabilidade, a elaboração da proposta orçamentária da Câmara, devidamente aprovada pela Mesa Executiva; desempenhar outras funções correlatas.

                                                                                                                              Art. 40. Compete à Divisão de Protocolo Geral, Expediente e Cerimonial Protocolar da Câmara Municipal, subordinada diretamente à Diretoria Geral: a manutenção do protocolo geral do expediente; a remessa, recebimento, triagem e distribuição da correspondência externa e interna, conforme determinação superior; os serviços de mensageiro; protocolizar, em livro próprio, as solicitações de serviços dos Vereadores, efetuando sua triagem e encaminhamento aos setores responsáveis; elaborar a súmula do expediente recebido, para fins de leitura em plenário; coletar as assinaturas dos Vereadores no livro de presença à sessão; remeter à publicação, mediante protocolo, todos os atos e demais matérias sujeitas a esta finalidade; distribuir, mediante protocolo, relatórios e outros documentos; executar os serviços de cerimonial em geral, bem assim a recepção de autoridades, convidados e visitantes oficiais; organizar o calendário de eventos da Câmara; elaborar e encaminhar convites para solenidades oficiais do Legislativo; promover as relações sociais entre a Câmara e outros poderes e entidades; manter cadastro atualizado de autoridades, em nível municipal, estadual e federal; desempenhar outras atividades correlatas.

                                                                                                                              Art. 41. A Chefia da Divisão de Protocolo Geral, Expediente e CerimonialProtocolar tem as atribuições de cumprir e fazer cumprir as atribuições da referida Divisão; de recepção e registro de todos os documentos apresentados para quaisquer fins ao Legislativo Municipal, a execução de seus registros de entrada e da completa tramitação e o apontamento do arquivo respectivo; assessorar na organização de solenidades e outros eventos promovidos pela Câmara; recepcionar autoridades e visitantes em geral, de acordo com as normas protocolares; redigir e digitar correspondências, convites, cartões e outros documentos referentes ao Cerimonial; elaborar roteiros de atos solenes e de audiências públicas; proceder à divulgação de informações institucionais via Internet; executar outras atividades correlatas, a critério do superior imediato.

                                                                                                                               

                                                                                                                               DIRETORIA LEGISLATIVA

                                                                                                                               

                                                                                                                              Art. 42. A Diretoria Legislativa, vinculada ao Diretor Geral, tem as atribuições de iniciar, desenvolver e concluir os processos de propostas de emenda à Lei Orgânica, de projetos de leis, decretos legislativos e resoluções para apreciação do Plenário; proporcionar e dirigir os trabalhos de apoio às Comissões Permanentes, às Comissões Temporárias e Grupos de Trabalho Administrativos; aprestar substitutivos, emendas, indicações e requerimentos em geral para serem apreciados pelo Plenário; compor a Ordem do Dia das sessões, conforme as instruções do Presidente da Câmara; implementar outras atividades voltadas à regularidade e eficácia da atividade legislativa.

                                                                                                                               

                                                                                                                              Art. 43. O Diretor Legislativo tem as atribuições de participar da análise dos fatos políticos; com o concurso da Divisão de Assistência Legislativa, orientar, coordenar e dirigir a formação, o desenvolvimento e a conclusão dos processos das propostas de leis, decretos legislativos e resoluções; o aprestamento de substitutivos, emendas, requerimentos em geral e indicações, submetendo-os à consideração do Presidente, para integrarem a pauta da Ordem do Dia das sessões; coordenar as funções de apoio às Comissões Permanentes, às Comissões Temporárias e Grupos de Trabalho Administrativos, das Seções de Processos Legislativos, de Redação, de Atas e Anais, de Comissões Permanentes, de Apoio a Comissões Temporárias e Grupos de Trabalho e de Arquivo, Mecanografia e Informações; cumprir e fazer cumprir as determinações superiores; firmar os documentos expedidos pela Diretoria em favor dos demais organismos da Casa; assessorar o Presidente, a Mesa Executiva, as Comissões, os Vereadores e o Diretor Geral; executar tarefas correlatas.

                                                                                                                              Art. 44. À Divisão de Assistência Legislativa compete desempenhar todos os passos do processo legislativo relativos à tramitação de propostas de emendas à Lei Orgânica do Município, de projetos de leis, de resolução e de decreto legislativo; elaborar a redação final dos projetos; controlar os prazos para sanção ou promulgação; manter o arquivo de leis, de emendas à Lei Orgânica do Município, de resoluções e de decretos legislativos com todos os documentos do processo legislativo do ano corrente; formatar o texto final de leis promulgadas, de emendas à Lei Orgânica do Município, de resoluções e de decretos legislativos, encaminhando-os para promulgação ao Órgão Oficial, com cópia para o Executivo; controlar o prazo para publicação e conferir o texto de atos legislativos no Órgão Oficial do Município; disponibilizar a íntegra de leis, de emendas à Lei Orgânica, de resoluções e de decretos legislativos na internet, com a formatação adequada para visualização; receber vetos aos projetos de leis, encaminhá-los para tramitação e controlar o prazo; manter arquivo auxiliar contendo documentos referentes às comissões, aos conselhos, aos comitês e aos órgãos criados por leis especiais com representação da Câmara (leis, decretos, ofícios e outros) e alimentar o respectivo cadastro no Sistema Informatizado (com controle de mandatos); apoiar a realização das sessões ordinárias, extraordinárias, solenes, secretas e especiais, elaborando as pautas, fornecendo todos os documentos necessários e/ou solicitados em Plenário, acompanhar à discussão das matérias, dar encaminhamento e alimentar o sistema informatizado de acordo com o despacho da Mesa; providenciar o controle de frequência dos vereadores e o respectivo relatório mensal; secretariar as comissões permanentes e temporárias (elaborar ofícios, relatórios, controlar o prazo destas e tomar outras providências que se fizerem necessárias); alimentar e manter atualizado, no sistema informatizado, o cadastro de Decretos do Executivo, da Legislatura, da Mesa Executiva, de Partidos, de Vereadores e de Comissões.

                                                                                                                              Art. 45. À Seção de Processos Legislativos, órgão diretamente subordinado à Chefia da Divisão de Assistência Legislativa, compete: cumprir e fazer cumprir as determinações regularmente emanadas da Divisão de Assistência Legislativa; atender aos trabalhos nas sessões da Câmara Municipal;elaborar e digitar as proposições oficiais dos Vereadores e da Mesa Executiva; assessorar a Mesa Executiva, no decorrer das sessões da Câmara Municipal, sobre matéria técnico-legislativa; controlar as matérias em tramitação na Seção; controlar os prazos dos projetos de lei encaminhados pelo Executivo Municipal; apresentar à Mesa Executiva, por intermédio do Primeiro-Secretário, todos os papéis que tenham de ser presentes à Câmara Municipal ou de ser lidos, em resumo, no Expediente das Sessões; receber e dar destino conveniente, dentro das normas legais, a todos os documentos passados ou devolvidos à Mesa Executiva; elaborar a pauta da Ordem do Dia das Sessões; mandar extrair e distribuir avulsos das matérias dadas à Ordem do Dia; numerar e rubricar todos os projetos e processos em tramitação, sob esta responsabilidade; desempenhar outras funções que lhe forem atribuídas pela Mesa Executiva, Diretoria Geral e Diretoria Legislativa.

                                                                                                                              Art. 46. À Seção de Redação, órgão subordinado diretamente à Chefia da Divisão de Assistência Legislativa, compete: cumprir e fazer cumprir as determinações regulamentares emanadas da respectiva chefia; digitar os autógrafos de Emendas à Lei Orgânica, projetos de lei, resoluções, decretos legislativos; redigir, revisar quanto à ortografia e digitar os expedientes oficiais, especialmente requerimentos, indicações e correspondências, afetos à competência da Diretoria Legislativa; enviar, via e-mail, quando possível, ao Gabinete do Prefeito Municipal, os autógrafos dos projetos de lei submetidos à sanção prefeitoral; auxiliar a Seção de Processos Legislativos na elaboração das proposições em geral; manter registro e controle, bem como zelar pela guarda das solicitações de serviço encaminhadas pelos senhores vereadores, destinadas a orientar a elaboração de proposições; instruir, com o auxílio da Seção de Arquivo, Mecanografia e Informações, as solicitações de serviço apresentadas pelos senhores vereadores, posteriormente destinando-as à Seção de Processos Legislativos, para os procedimentos de praxe; sempre que possível, prestar colaboração aos serviços desenvolvidos pelas demais Seções da Divisão; desempenhar outras atividades correlatas.

                                                                                                                              Art. 47. À Seção de Comissões Permanentes, órgão diretamente subordinado à Chefia da Divisão de Assistência Legislativa, compete: elaborar parecer, por escrito, em matéria ou proposição, quando solicitado pela Mesa Executiva, com auxílio da Procuradoria Jurídica; elaborar parecer, por escrito, quando solicitado pelas Comissões Permanentes da Câmara, em matérias que exijam apreciação técnico-legislativa; elaborar parecer, quando solicitado pela Mesa Executiva, sobre a proposta do Orçamento-Programa do Município, Plano Plurianual de Investimentos e outras matérias de natureza orçamentária, com a orientação da Chefia da Divisão de Finanças, Orçamento e Contabilidade; elaborar parecer, quando solicitado pela Mesa Executiva, sobre a Prestação de Contas do Município, depois de recebido o Parecer Prévio ou Acórdão do Tribunal de Contas do Estado, também com o auxílio previsto no item anterior; assessorar os Vereadores, a Mesa Executiva e as Comissões Permanentes, em assuntos de sua competência; assessorar os Vereadores na apreciação do Orçamento-Programa do Município, Prestações de Contas e outras matérias pertinentes; assessorar, quando solicitado, a Diretoria Geral e a Diretoria Legislativa, sobre matéria técnico-legislativa; controlar os prazos das matérias encaminhadas às Comissões; numerar e rubricar todos os processos em tramitação no âmbito das Comissões; controlar, por sistema próprio, as matérias em tramitação nas Comissões; desempenhar outras funções correlatas que lhe forem regularmente atribuídas pela Chefia da Divisão de Assistência Legislativa ou superiores hierárquicos.

                                                                                                                              Art.48. Compete à Seção de Apoio aComissões Temporáriase Grupos de Trabalho, subordinada diretamente à Chefia da Divisão de Assistência Legislativa: prestar assistência técnico-legislativa integral às atividades desenvolvidas pelas Comissões Temporárias e Grupos de Trabalho instituídos pelo Plenário ou pela Mesa Executiva da Casa, com a orientação da Procuradoria Jurídica da Casa, quando necessário; redigir e digitar todas as correspondências, atas, relatórios, pareceres, convocações, certidões, resumos ou íntegras de pronunciamentos e demais documentos pertinentes às atividades desenvolvidas pelas comissões e grupos de trabalhos, conforme determinado pelo referido Presidente; promover a entrega ou expedição de documentos, mediante recibo, quando assim determinado pela autoridade responsável; publicar ou prestar informações gerais quanto à tramitação dos processos e ao desenvolvimento de atividades, na forma determinada pela autoridade responsável; extrair e fazer distribuir, aos membros das Comissões ou Grupos de Trabalho, avulsos das matérias submetidas à Ordem do Dia; zelar pelos prazos de funcionamento das Comissões e Grupos de Trabalho, bem como manter registro, paginação e controle de todos os processos ou documentos submetidos à análise ou apreciação dos mesmos; promover a coletânea da legislação necessária a instruir os trabalhos realizados no âmbito da Seção; manter arquivo especial, devidamente cadastrado, para documentos considerados sigilosos ou secretos; organizar, em volumes, os processos relativos a todos os trabalhos desenvolvidos no âmbito da Seção, acompanhados de índice alfabético-remissivo, zelando pela sua guarda e manutenção; assistir às sessões da Câmara Municipal e coordenar a realização das reuniões das Comissões Temporárias e Grupos de Trabalho, que deverão ser gravadas in totum quando possível, a fim de executar a contento as tarefas de responsabilidade da Seção; coligir, junto a órgãos públicos e privados, dados e informações de interesse das Comissões Temporárias e Grupos de Trabalho; desempenhar outras funções pertinentes que lhe forem atribuídas pelas Comissões e Grupos de Trabalho; prestar auxílio às atividades desenvolvidas pela Seção de Processos Legislativos e Seção de Comissões Permanentes quando não houver o funcionamento de Comissões Temporárias e Grupos de Trabalho, por determinação da Chefia da Divisão de Assistência Legislativa; cumprir e fazer cumprir as determinações regulamentares emanadas da Divisão a que está subordinada a Seção, ou de seus superiores hierárquicos.

                                                                                                                              Art. 49. À Seção de Arquivo, Mecanografia e Informações, órgão diretamente subordinado à Chefia da Divisão de Assistência Legislativa, compete: cumprir e fazer cumprir as determinações regulamentares emanadas da Divisão de Assistência Legislativa; manter registro e controle de todos os processos e demais expedientes destinados ao arquivo; preservar atualizado e em boa ordem, em livro, fichas ou outro sistema adotado, o registro das matérias, de forma a assegurar localização rápida e eficiente de qualquer documento recolhido ao arquivo; organizar a coletânea das leis municipais, resoluções e decretos legislativos, requerimentos, indicações e outras matérias, anotando as alterações ou transformações havidas; realizar controle sistemático sobre o cumprimento das leis, decretos legislativos e resoluções, e as razões de sua inobservância, quando ocorrer; conservar arquivo com informações sobre as leis, decretos legislativos e resoluções em desuso, revogadas ou derrogadas; promover, periodicamente, a coletânea de leis, decretos legislativos e resoluções análogos ou afins, para efeito de consolidação de seus textos, conforme critérios e sistemas determinados pela Mesa Executiva; manter sob sua guarda e conservação os livros, revistas, publicações, coleções diversas e outras matérias de interesse da Câmara Municipal, classificando-os convenientemente; atender a consultas e requisições dos órgãos da Câmara Municipal, no que concerne à literatura técnico-legislativa e jurídica, mantendo, para tanto, fichários organizados e atualizados; manter arquivo especial, devidamente cadastrado, para documentos considerados sigilosos ou secretos; adotar sistema de segurança adequado para a guarda dos arquivos da Câmara Municipal, para evitar sua violação ou qualquer ação que possa destruí-los ou inutilizá-los; efetuar, anualmente, a triagem da documentação que se destina ao arquivo morto da Câmara Municipal; promover a microfilmagem de documentos oficiais da Câmara, de conformidade com as determinações da Mesa Executiva; expedir, quando autorizado, cópias ou fotocópias de documentos arquivados ou sob sua responsabilidade; controlar, em livro próprio, o envio de correspondências oficiais da Câmara Municipal; proceder à entrega, mediante registro, de expedientes, relatórios e outros documentos; prestar informações gerais quanto à tramitação de processos e expedientes na Câmara Municipal, quando solicitadas pelas chefias competentes; encaminhar para publicação todos os atos da Mesa Executiva e demais matérias sujeitas a esta formalidade; gravar “in totum” as sessões da Câmara; elaborar, mensalmente, relatório das atividades legislativas; controlar os prazos dos pedidos de informações ou de documentos encaminhados ao Executivo Municipal; extrair e fazer distribuir avulsos das matérias dadas à Ordem do Dia; organizar, em conjunto com a Divisão de Administração, Recursos Humanos e Licitações, a relação dos suplentes de Vereadores, a apostilagem dos títulos de nomeação dos funcionários, bem como os de posse dos Vereadores; desempenhar outras funções correlatas.

                                                                                                                              Art. 50. À Seção de Atas e Anais, órgão diretamente subordinado à Divisão de Assistência Legislativa, compete: cumprir e fazer cumprir as determinações regulamentares emanadas da Chefia da Divisão; assistir às sessões da Câmara Municipal a fim de elaborar as atas e os anais; elaborar, com dados colhidos em Plenário, ata sucinta das sessões e anais do Poder Legislativo, na forma regimental; elaborar e digitar certidões, pronunciamentos e outras matérias relevantes, pertinentes às sessões, reuniões e outros eventos ligados diretamente à atividade legislativa; organizar, em volumes, os anais da Câmara Municipal, acompanhados de índice analítico e remissivo; desempenhar outras atividades correlatas.

                                                                                                                               

                                                                                                                              DIRETORIA ADMINISTRATIVA

                                                                                                                               

                                                                                                                              Art. 51. A Diretoria Administrativa, vinculada ao Diretor Geral, tem como atribuições a realização, com a participação e concurso de suas divisões, seções e serviços, das atividades de Administração, Recursos Humanos, Licitações e Compras; Patrimônio e Almoxarifado; Portaria, Vigilância e Segurança; Controle do Uso e da Manutenção de Veículos; Manutenção Geral; Copa e Limpeza: Telefonia e Comunicações; Finanças, Orçamento e Contabilidade; Tesouraria e Caixa; Tecnologia da Informação; Processamento de Dados; Suporte Técnico e Manutenção.

                                                                                                                              Art. 52. O Diretor Administrativo tem as atribuições de superintender, orientar, dirigir, controlar e coordenar as atividades das divisões, seções e serviços integrantes da Diretoria Administrativa; o desenvolvimento de esforços para que as atividades sob sua direção realizem suas competências e funções mediante projetos previamente aprovados, destacando a relação custo/benefício de seus atos administrativos, cumprindo os princípios estabelecidos pelo artigo 37 da Constituição Federal; determinar estudos e, com base neles, propor ao Diretor Geral medidas de aprimoramento dos serviços e atuações de competência da Diretoria de Administração e seus órgãos subordinados; expedir autorização para a instauração dos processos licitatórios e de aquisição; determinar o levantamento mensal de relatórios demonstrativos e estatísticos do comportamento das finanças, orçamentários e apropriação das despesas reais aos vários setores da Câmara Municipal; exigir relatório de conservação geral e de veículos com demonstração estatística mensal, quadrimestral e anual e outros dados que se fizerem necessários; relatar ao Diretor Geral o desempenho global das atividades e serviços sob a responsabilidade da Diretoria Administrativa e seus órgãos subordinados; executar atividades correlatas.

                                                                                                                              Art. 53. À Divisão de Administração, Recursos Humanos e Licitações compete cumprir e fazer cumprir as determinações regulamentares emanadas da Diretoria Administrativa; supervisionar a execução dos serviços de reparo e manutenção do prédio, das instalações e do mobiliário da Câmara; o deslocamento dos bens móveis e utensílios entre as dependências da Câmara; manter cadastro dos funcionários da Câmara Municipal, bem como dos Vereadores; elaborar os atos relativos à admissão, readmissão, aproveitamento, posse, exercício, remoção, transferência, substituição e demissão do pessoal, etc.; verificar, quando da admissão de pessoal, a regularidade dos documentos exibidos; atribuir número de matrícula e expedir carteira de identidade funcional aos servidores, bem como aos Vereadores; orientar os funcionários da Câmara Municipal, quando se fizer necessário, com referência aos atos ou normas de pessoal baixados pela Mesa Executiva; supervisionar o registro de frequência dos funcionários da Câmara Municipal, de conformidade com o cartão-ponto; supervisionar a elaboração das folhas de pagamento, mensalmente, dos funcionários da Câmara Municipal, bem como a respectiva ficha financeira; supervisionar a elaboração das folhas de subsídios dos Vereadores, bem como a respectiva ficha financeira; organizar, de conformidade com as instruções da Diretoria Geral, a escala de férias dos funcionários da Câmara Municipal, as quais, dentro do possível, deverão coincidir com os períodos de recesso legislativo; informar os processos administrativos, quando solicitada; efetuar e controlar o desconto das consignações nas folhas de pagamento, quando devidamente autorizado; extrair certidões referentes a assentamentos dos servidores da Câmara; manter controle e verificação do uso do relógio de ponto; elaborar instruções e programas de concurso para o provimento de cargos da administração e manter arquivo organizado dos concursos efetuados; supervisionar a remessa de informações ao Tribunal de Contas do Estado, através de sistema próprio daquele Órgão; organizar a relação dos suplentes de Vereadores; apostilar os títulos de nomeação dos funcionários, bem como os de posse dos Vereadores; a organização dos diplomas legais e normas aplicáveis a licitações e compras; o cadastro de fornecedores de bens e materiais e de prestadores de serviços; acompanhar a elaboração dos instrumentos convocatórios de licitações, confeccionados pela Comissão de Licitações ou Pregoeiro designado; a instrução dos processos licitatórios; o acompanhamento e registro de preços praticados em relação a materiais e serviços; auxiliar na elaboração das justificativas legais nos casos de dispensa e inexigibilidade de licitação; desempenhar outras funções que lhe forem atribuídas pela Diretoria Administrativa.

                                                                                                                              Art. 54. À Seção de Recursos Humanos, órgão subordinado à Divisão de Administração, Recursos Humanos e Licitações, compete: cumprir e fazer as determinações regulamentares emanadas da Divisão; manter cadastro dos servidores da Casa, bem como dos vereadores; elaborar os atos relativos à admissão, readmissão, aproveitamento, posse, exercício, remoção, transferência, substituição, exoneração e demissão do pessoal, etc.; lavrar em livro próprio os termos de promessa legal de posse dos servidores nomeados ou designados, ao serem investidos em cargos ou funções de direção constantes da estrutura organizacional da Casa; verificar, quando da admissão de pessoal, a regularidade dos documentos exibidos; atribuir número de matrícula e expedir carteira de identidade funcional aos servidores, bem como aos vereadores; orientar os servidores da Casa, quando se fizer necessário, com referência aos atos ou normas de pessoal baixadas pela Mesa Executiva; elaborar regularmente, no âmbito de sua competência, o relatório de frequência dos servidores da Casa, de conformidade com os sistemas de registro de ponto operantes; elaborar as folhas de pagamento, mensalmente, dos servidores da Casa, bem como a respectiva ficha financeira; elaborar as folhas de subsídios dos vereadores, bem como a respectiva ficha financeira; organizar, de conformidade com as instruções da Diretoria Geral, a escala de férias dos servidores da Casa, as quais, dentro do possível, deverão coincidir com os períodos de recesso legislativo; informar e instruir os processos administrativos, quando solicitado; efetuar e controlar o desconto das consignações nas folhas de pagamento, quando devidamente autorizado; extrair certidões referentes a assentamentos dos servidores da Casa; manter controle e verificação do uso dos sistemas de registro de ponto operantes; elaborar instruções e programas de concurso para o provimento de cargos da administração e manter arquivo organizado dos concursos realizados; efetuar os assentamentos relativos ao exercício do mandato dos vereadores, mantendo atualizados registros indicativos do partido pelo qual se elegerem, o número de votos obtidos nas eleições, a data da eleição e da posse, e outros dados necessários, assim como das funções que exerceram na Casa; elaborar, anualmente, relação do pessoal da Casa, exigida pelo Tribunal de Contas do Estado; organizar a relação dos suplentes de vereadores; apostilar os títulos de nomeação dos servidores, bem como os de posse dos vereadores; desempenhar outras funções que lhe forem regularmente atribuídas pela Chefia da Divisão de Administração, Recursos Humanos e Licitações.

                                                                                                                              Art. 55. À Seção de Licitação e Compras, órgão subordinado à Divisão de Finanças, Orçamento e Contabilidade, compete: a organização dos diplomas legais e normas aplicáveis a licitações e compras; o cadastro de fornecedores de bens e materiais e de prestadores de serviços; a elaboração dos instrumentos convocatórios de licitações; a instrução dos processos licitatórios; o acompanhamento e registro de preços praticados em relação a materiais e serviços; a elaboração das justificativas legais nos casos de dispensa e inexigibilidade de licitação; cumprir e fazer cumprir as determinações emanadas de suas respectivas chefias, bem como desempenhar outras funções que lhe forem regularmente atribuídas.

                                                                                                                              Art. 56. À Seção de Patrimônio e Almoxarifado, órgão diretamente subordinado à Divisão de Administração, Recursos Humanos e Licitações, compete: cumprir e fazer cumprir as determinações regulamentares emanadas da Chefia da Divisão; manter cadastro, registro e controle atualizados dos bens móveis e imóveis do Legislativo; promover a identificação de cada peça de bem móvel através de marcação constante de ordem numérica, que deverá corresponder ao registro geral em todas as suas características; proceder regularmente à verificação dos móveis, utensílios e maquinários, quanto à sua permanência nos órgãos para os quais estiverem carregados, corrigindo as irregularidades encontradas; proceder regularmente à verificação do estado de conservação, funcionamento e utilização dos móveis, máquinas e utensílios do Legislativo, providenciando, de imediato, perante a Diretoria Administrativa, as medidas que se fizerem necessárias para reparações ou substituições; elaborar, anualmente, uma relação detalhada dos bens patrimoniais do Legislativo, para ser encaminhada ao Tribunal de Contas do Estado, juntamente com a prestação de contas; zelar pela guarda e conservação do patrimônio do Legislativo, alertando, de imediato, a Diretoria Administrativa quando constatados fatos que ponham em risco sua integridade; manter rigorosamente atualizadas as fichas cadastrais do material permanente; propor à Diretoria Administrativa a alienação ou doação de bens patrimoniais da Casa; receber, cadastrar e fazer o acompanhamento mensal dos bens de consumo destinados às atividades institucionais, quanto à sua utilização e destinação; receber os bens permanentes adquiridos e/ou transferidos; exigir a devolução de materiais, quando fornecidos em caráter de substituição; promover aquisição de material, mediante solicitação, de conformidade com as normas vigentes; manter coordenação com os demais órgãos da Administração da Casa, para efeito de levantamento das necessidades de material de consumo ou de expediente; organizar, regularmente, relação do material necessário à reposição de estoque; desempenhar outras funções correlatas que lhe forem atribuídas pela Chefia da Divisão.

                                                                                                                              Art. 57. À Seção de Portaria, Vigilância e Segurança, órgão diretamente subordinado à Chefia da Divisão de Administração, Recursos Humanos e Licitações, compete o atendimento dos trabalhos de manutenção e controle da portaria; atendimento ao público, recepção, credenciamento, controle, frequência e encaminhamento de pessoas; recebimento, ordenação, classificação e encaminhamento de correspondências, jornais, revistas e publicações recebidos e a serem encaminhados; atendimento ao plenário e galeria de visitantes, aos gabinetes, repartições administrativas e garagens; controle e vigilância das dependências internas e externas do Legislativo; zelar pela ordem e segurança da Casa, sobretudo no decorrer das sessões; desempenhar outras funções que lhe forem regularmente atribuídas pela Chefia da Divisão; desenvolver outras atribuições correlatas.

                                                                                                                              Art. 58. Compete à Seção de Controle do Uso e da Manutenção de Veículos, órgão diretamente subordinado à Chefia da Divisão de Administração, Recursos Humanos e Licitações, as atribuições abaixo relacionadas,dentre outras correlatas, derivadas ou vinculadas à esfera de sua atuação: zelar pela manutenção, conservação e recuperação dos veículos do Poder Legislativo; responsabilizar-se pelo controle, guarda e uso adequado dos equipamentos, ferramentas, utensílios e demais produtos utilizados nos respectivos serviços; manter limpo e organizado o recinto do setor; requisitar o material necessário ao desempenho das atribuições do setor; manter contato com empresas prestadoras de serviços, com vistas à manutenção, conservação e recuperação dos veículos e demais equipamentos, ferramentas e utensílios utilizados nos respectivos serviços, sempre que solicitado pela respectiva chefia; controlar e fiscalizar a execução dos contratos celebrados pela Câmara, na área de sua competência, sob o aspecto do cumprimento dos serviços contratados; manter sistema de controle mensal do uso e da manutenção dos veículos, através de planilhas próprias e também de conformidade com outras determinações emanadas da respectiva chefia; elaborar e expedir relatório mensal quanto à utilização dos veículos do Poder Legislativo, discriminando, pormenorizadamente, os atendimentos realizados, os nomes dos vereadores, servidores ou setores atendidos, o motivo da utilização e sua duração, quilometragem percorrida, consumos de combustível, média de consumo, etc.; promover a lavratura de termos de ocorrência e, quando necessário, solicitar a abertura de procedimentos destinados a apurar responsabilidades quanto ao uso irregular e indevido dos veículos e danos eventualmente provocados nos mesmos, por parte de seus condutores ou usuários; designar, mediante termo específico, o motorista responsável por cada veículo; promover a identificação dos veículos do Poder Legislativo, nos termos da legislação pertinente; cumprir e fazer cumprir as determinações regularmente emanadas da respectiva chefia, bem como desempenhar outras funções que lhe forem legalmente atribuídas pelos superiores hierárquicos, observada sua área de competência.

                                                                                                                              Art. 59. Compete à Seção de Manutenção, órgão diretamente subordinado à Chefia da Divisão de Administração, Recursos Humanos e Licitações, sem prejuízo das atribuições específicas dos demais órgãos do Legislativo: zelar pela manutenção, conservação e recuperação do edifício do Poder Legislativo, de suas instalações, mobiliário e equipamentos, excetuados os bens e serviços em garantia, os que exijam mão-de-obra técnica ou especializada para sua recuperação e/ou aqueles que forem objeto de contratação específica por meio de licitação; responsabilizar-se pelo controle, guarda e uso adequado dos equipamentos, ferramentas, utensílios e produtos utilizados nos serviços da Câmara; manter limpo e organizado o recinto do setor; requisitar o material necessário ao desempenho das atribuições do setor; manter contato com empresas prestadoras de serviços, com vistas à manutenção e conserto de máquinas, móveis e equipamentos, sempre que solicitado; controlar e fiscalizar a execução dos contratos celebrados pela Câmara, na área de sua competência, sob o aspecto do cumprimento dos serviços contratados, sempre que requisitado; manter sistema de controle da utilização do Plenário e das salas de reuniões da Câmara; hastear e arriar as bandeiras; realizar o deslocamento dos bens móveis e utensílios entre as dependências da Casa; cumprir e fazer cumprir as determinações emanadas de suas respectivas chefias, bem como desempenhar outras funções que lhe forem regularmente atribuídas pelos superiores hierárquicos, observada sua área de competência.

                                                                                                                              Art. 60. Ao Serviço de Copa e Limpeza, órgão diretamente subordinado à Chefia da Divisão de Administração, Recursos Humanos e Licitações, compete: as atividades de atendimento ao Plenário, Gabinetes e órgãos da Administração; atividades de controle do consumo e a responsabilidade da guarda dos materiais de limpeza e conservação colocados à disposição da unidade; limpeza e conservação dos móveis, utensílios e materiais vinculados às atividades institucionais da Câmara Municipal; desempenhar outras funções regulamentares que lhe forem atribuídas pela Chefia da Divisão.

                                                                                                                              Art. 61. Ao Serviço de Telefonia e Comunicações, órgão diretamente subordinado à Chefia da Divisão de Administração, Recursos Humanos e Licitações, compete: o atendimento à central telefônica; o atendimento ao sistema de ramais, efetivação de ligações e transferências de chamadas; o atendimento, registro e controle de ligações e chamadas interurbanas; o atendimento ao sistema de fac-símile; a expedição, recebimento e encaminhamento de fac-símiles; o cadastramento e controle da agenda telefônica e de fac-símile; desempenhar outras funções regulamentares que lhe forem atribuídas pela Chefia da Divisão.

                                                                                                                              Art. 62. À Divisão de Finanças, Orçamento e Contabilidade compete cumprir e fazer cumprir as determinações regulamentares emanadas da Diretoria Administrativa; efetuar o controle contábil, mediante escrituração dos atos e fatos referentes a seu patrimônio, variação das dotações orçamentárias, despesas e todos os demais atos sujeitos à contabilização; proceder aos lançamentos contábeis da documentação, em conformidade com o plano de contabilidade previamente aprovado; elaborar, com os elementos fornecidos pelas Diretorias, a proposta orçamentária da Câmara Municipal de Maringá a ser encaminhada ao Executivo Municipal, no prazo previsto em lei; elaborar, mensalmente, balancetes e demonstrativos; elaborar, mensalmente, o balancete financeiro a ser encaminhado ao Tribunal de Contas do Estado; elaborar a prestação de contas a ser encaminhada ao Executivo Municipal para posterior envio ao TCE, anualmente, com todos os documentos exigidos, dentro dos prazos legais; manter controle sobre o saldo das dotações orçamentárias, consignações ou subconsignações; atestar a identidade entre a fatura e a nota fiscal de fornecedores, referentes a aquisições feitas pela Divisão de Administração, Recursos Humanos e Licitações; elaborar o empenho prévio das despesas e ordens de pagamento; efetuar conta corrente atualizada dos devedores temporários da Câmara Municipal, por adiantamentos concedidos, através de Portaria, para pequenas despesas, de modo a assegurar com exatidão os adiantamentos de cada funcionário ou Vereador; organizar as prestações de contas, bem como a documentação necessária à comprovação das despesas da Câmara Municipal; fornecer elementos para a abertura de créditos adicionais; emitir parecer, quando solicitado pela Mesa Executiva, sobre a proposta do Orçamento-Programa do Município e do Plano Plurianual de Investimentos e outros de natureza orçamentária; emitir parecer, quando solicitado, sobre a prestação de contas do Município, após o Parecer Prévio ou Acórdão do Tribunal de Contas do Estado; desempenhar outras funções que lhe forem atribuídas pela Diretoria Administrativa.

                                                                                                                              Art. 63. À Seção de Tesouraria e Caixa, órgão diretamente subordinado à Divisão de Finanças, Orçamento e Contabilidade, compete: cumprir e fazer cumprir as determinações emanadas da Chefia da Divisão; registrar o recebimento, quando autorizado, do duodécimo da Câmara Municipal; efetuar o pagamento de despesas, quando regularmente processadas e autorizadas; manter registro em livro caixa do movimento referente às entradas e saídas de numerário; remeter, à Seção de Finanças, Orçamento e Contabilidade, uma via dos registros efetuados no livro caixa, juntamente com a documentação da despesa, quando paga; efetuar entrega, mediante recibo, de numerário, quando devidamente autorizada; efetuar depósitos e retiradas bancárias dos valores em poder da Câmara Municipal; manter registro de procurações para fins de pagamento; manter controle bancário, com a conferência mensal dos extratos bancários; desempenhar outras funções que lhe forem regularmente atribuídas pela Divisão de Finanças, Orçamento e Contabilidade.

                                                                                                                              Art. 64. À Seção de Finanças, Orçamento e Contabilidade, órgão diretamente subordinado à Divisão de Finanças, Orçamento e Contabilidade, compete: cumprir e fazer cumprir as determinações regulamentares emanadas da Chefia da Divisão; efetuar o controle contábil, mediante escrituração dos atos e fatos referentes a seu patrimônio, variação das dotações orçamentárias, despesas e todos os demais atos sujeitos à contabilização; proceder aos lançamentos contábeis da documentação, em conformidade com o plano de contabilidade previamente aprovado; elaborar, com os elementos fornecidos pelas Divisões, a proposta orçamentária da Câmara Municipal de Maringá a ser encaminhada ao Executivo Municipal, no prazo previsto em lei; elaborar, mensalmente, balancetes e demonstrativos; elaborar, mensalmente, o balancete financeiro a ser encaminhado ao Tribunal de Contas do Estado; elaborar a prestação de contas a ser encaminhada ao Executivo Municipal para posterior envio ao TCE, anualmente, com todos os documentos exigidos, dentro dos prazos legais; manter controle sobre o saldo das dotações orçamentárias, consignações ou subconsignações; atestar a identidade entre a fatura e a nota fiscal de fornecedores, referentes a aquisições feitas pela Seção de Licitações e Compras; elaborar o empenho prévio das despesas e ordens de pagamento; efetuar conta corrente atualizada dos devedores temporários da Câmara Municipal, por adiantamentos concedidos, através de Portaria, para pequenas despesas, de modo a assegurar com exatidão os adiantamentos de cada funcionário ou Vereador; organizar as prestações de contas, bem como a documentação necessária à comprovação das despesas da Câmara Municipal; fornecer elementos para a abertura de créditos adicionais; emitir parecer, quando solicitado pela Mesa Executiva, sobre a proposta do Orçamento-Programa do Município e do Plano Plurianual de Investimentos e outros de natureza orçamentária; emitir parecer, quando solicitado, sobre a prestação de contas do Município, após o Parecer Prévio ou Acórdão do Tribunal de Contas do Estado; desempenhar outras funções que lhe forem regularmente atribuídas pela Chefia da Divisão de Finanças, Orçamento e Contabilidade.

                                                                                                                              Art. 65. À Divisão de Tecnologia da Informação compete cumprir e fazer cumprir as determinações regulamentares emanadas da Diretoria Administrativa; coordenar todo o sistema de processamento de dados da Câmara Municipal; articular com os demais órgãos da Administração a melhor utilização dos equipamentos; programar a execução dos serviços necessários à modernização do sistema; acompanhar a implantação de todos os sistemas programados; apresentar estudos para melhoria do sistema, quando for o caso; adotar sistema de segurança adequado para a guarda dos arquivos, para evitar a sua violação ou qualquer ação que possa prejudicá-los; manter atualizados os dados disponíveis; realizar estudos de viabilidade técnico-econômica sobre a utilização de softwares e equipamentos, emitindo parecer quanto à conveniência de sua aquisição; executar e coordenar a confecção de normas e procedimentos para utilização dos softwares instalados; pesquisar todos os recursos dos equipamentos, proporcionando um suporte técnico e treinamento da equipe da Divisão de Tecnologia da Informação, visando à otimização e racionalização de sistemas em desenvolvimento e produção; sanar as dúvidas de quaisquer setores técnicos, quando solicitado; interagir nas áreas de desenvolvimento e produção, visando detectar problemas e dificuldades e propondo solução no sentido de obter melhor aproveitamento de equipamentos e recursos humanos; proporcionar esquemas de backup’s eficientes, bem como esquemas de recuperação e segurança, em caso de falhas operacionais e sinistros; oferecer treinamento e reciclagem aos servidores usuários do sistema; supervisionar os serviços de implantação, atualização, supervisão e manutenção da rede do sistema, bancos de dados e arquivos, dentre outros serviços de suporte técnico e de supervisão; estabelecer intercâmbios, com órgãos de pesquisa ou detentores de informações, que possam ser de interesse da Câmara Municipal; desempenhar outras funções que lhe forem regularmente atribuídas.

                                                                                                                              Art. 66. À Seção de Processamento de Dados, subordinada diretamente à Divisão de Tecnologia da Informação, compete: cumprir e fazer cumprir as determinações emanadas da Chefia da Divisão; executar os serviços de implantação, atualização, supervisão e manutenção da rede do sistema, bancos de dados e arquivos, dentre outros serviços de suporte técnico e de supervisão; zelar pelo cumprimento dos objetivos regulamentares da Divisão; desempenhar outras funções que lhe forem regularmente atribuídas, no âmbito de sua atuação e competência.

                                                                                                                              Art. 67. Compete à Seção de Suporte Técnico e Manutenção, subordinada diretamente à Divisão de Tecnologia da Informação: prestar suporte técnico aos usuários dos microcomputadores; detectar e solucionar falhas nos equipamentos de informática; substituir peças defeituosas dos microcomputadores; reinstalar, nos microcomputadores, sistema operacional ou qualquer outro sistema computacional que não esteja funcionando adequadamente; encaminhar a empresa de assistência técnica competente os equipamentos que necessitarem de reparos que não possam ser realizados no próprio local; preparar dispositivos para cópia de segurança dos dados armazenados nos microcomputadores e “servidores de dados”; proceder à cópia de segurança dos dados armazenados nos “servidores de dados”; manter cadastro atualizado das manutenções realizadas nos microcomputadores; desempenhar outras funções correlatas.

                                                                                                                              Art. 68. Além das disposições já enunciadas, são obrigações comuns aos Diretores: coordenar a escala de férias dos funcionários lotados na respectiva unidade; comunicar à Divisão responsável por tal controle a efetividade dos funcionários; providenciar a requisição de materiais, equipamentos e utensílios necessários ao regular funcionamento da repartição; elaborar relatório anual das atividades, sempre que requisitado.

                                                                                                                              Art. 69. Compete às Chefias de Divisão, em caráter geral: dirigir, orientar e fiscalizar as atividades desenvolvidas pelos respectivos órgãos, bem como pelas seções que lhes são subordinadas; proceder a estudos e sugerir medidas que visem ao aprimoramento dos trabalhos atinentes às unidades que dirigem; requisitar da seção de patrimônio e almoxarifado o material necessário ao trabalho do órgão que dirige; zelar pela conservação dos bens patrimoniais da Câmara Municipal sob sua responsabilidade; despachar com a diretoria hierarquicamente superior; elaborar relatórios mensais e anuais das atividades desenvolvidas pelos órgãos que dirigem; encaminhar os elementos necessários à elaboração da proposta orçamentária, com relação ao órgão que dirige, para a Divisão de Finanças, Orçamento e Contabilidade; dar informações em processos legislativos, quando solicitado; julgar justificadas ou não as faltas ao trabalho dos servidores, podendo abonar até três (03) por mês, quando se tratar de atraso na entrada ou saída do expediente; executar outras tarefas que lhe sejam regularmente atribuídas.

                                                                                                                              Art.70. Compete às Chefias de Seção e de Serviço, em caráter geral, cumprir e fazer cumprir as determinações superiores e as disposições referentes à unidade, desempenhando as atribuições que lhe são conferidas; supervisionar os trabalhos da unidade, dirigindo e coordenando as atividades desenvolvidas, bem como estabelecendo os devidos controles sobre a eficiência dos aspectos operacionais relativos à execução das tarefas e à eficácia dos resultados do trabalho geral da Seção ou Serviço, tendo em vista, sempre, a consecução dos seus objetivos, representados pelo conjunto de suas funções.

                                                                                                                              Art. 71. As disposições contrárias ficam revogadas.

                                                                                                                               

                                                                                                                              Plenário Vereador Ulisses Bruder, 16 de fevereiro de 2011.

                                                                                                                               

                                                                                                                               

                                                                                                                              MÁRIO HOSSOKAWA

                                                                                                                              Presidente

                                                                                                                                 

                                                                                                                                REGULAMENTO DAS FUNÇÕES E ATRIBUIÇÕES DOS ÓRGÃOS, DOS CARGOS DE PROVIMENTO EM COMISSÃO E DAS FUNÇÕES GRATIFICADAS DA CÂMARA MUNICIPAL DE MARINGÁ

                                                                                                                                Art. 1.º Este Regulamento estabelece as funções e atribuições dos órgãos, dos cargos de provimento em comissão e das funções gratificadas da Câmara Municipal de Maringá.

                                                                                                                                Art. 2.º Os cargos de provimento em comissão e as funções gratificadas da Câmara Municipal de Maringá, observadas as disposições desta Lei, são de livre nomeação e exoneração do Presidente da Câmara e se destinam às atividades de assessoramento, direção e chefia do Poder Legislativo.

                                                                                                                                § 1.º Para atender interesse do Legislativo, o horário de trabalho dos ocupantes de cargos de provimento em comissão poderá ser flexibilizado, para ajustar-se às necessidades dos seus vários organismos, mediante prévia decisão do Presidente da Casa, respeitada a jornada diária correspondente.

                                                                                                                                § 2.º Além das atribuições específicas de cada um, são obrigações comuns a todos os ocupantes de cargos ou funções: observar e fazer observar no âmbito da repartição e no exercício do múnus público os direitos e deveres inerentes ao cargo ou função; utilizar, operar e administrar diligentemente os serviços, móveis e equipamentos da repartição; desempenhar outras atividades meio necessárias ao cumprimento de suas atribuições, bem assim outras que lhe forem regularmente atribuídas pela autoridade responsável, relacionadas ao exercício do mandato parlamentar e aos objetivos institucionais do Legislativo.

                                                                                                                                Art. 3.º São órgãos da Câmara Municipal de Maringá:

                                                                                                                                1. Mesa Executiva;

                                                                                                                                2. Gabinete da Presidência;

                                                                                                                                3. Coordenadoria de Comunicação Social;

                                                                                                                                4. Procuradoria Jurídica;

                                                                                                                                5. Diretoria de Controle Interno;

                                                                                                                                6. Gabinetes dos Vereadores;

                                                                                                                                7. Gabinete da Primeira Secretaria;

                                                                                                                                8. Diretoria Geral;

                                                                                                                                9. Diretoria Legislativa;

                                                                                                                                10. Diretoria Administrativa.

                                                                                                                                 

                                                                                                                                MESA EXECUTIVA

                                                                                                                                 

                                                                                                                                Art. 4.º A Mesa Executiva tem a composição determinada pela Lei Orgânica do Município e pelo Regimento Interno da Câmara.

                                                                                                                                Art. 5.º As atribuições da Mesa Executiva da Câmara Municipal são as definidas na Lei Orgânica do Município, no Regimento Interno e na legislação que disciplina a estruturação orgânico-administrativa da Casa.

                                                                                                                                Art. 6.º O Presidente é o representante da Câmara, judicial ou extrajudicialmente, competindo-lhe dirigir seus trabalhos legislativos e serviços administrativos, bem como fiscalizar sua ordem e disciplina.

                                                                                                                                Art. 7.º Compete ao Primeiro-Secretário, sob a orientação do Presidente, superintender os serviços administrativos da Casa.

                                                                                                                                 

                                                                                                                                GABINETE DA PRESIDÊNCIA

                                                                                                                                 

                                                                                                                                Art. 8.º Ao Gabinete da Presidência, dirigido por ele próprio, com auxílio de seu Chefe de Gabinete e demais componentes do seu staff político-administrativo, compete a assistência e o encaminhamento dos assuntos do interesse da Presidência; organizar e dirigir a realização das audiências; a expedição e a recepção das correspondências do Gabinete e o desempenho das demais funções burocráticas, a critério da Presidência, e as funções de Representação do Poder Legislativo e de Administração da Casa.

                                                                                                                                Art. 9.º O Chefe de Gabinete tem como atribuições, em síntese: a direção, orientação, controle, promoção e fiscalização das atividades inerentes ao Gabinete da Presidência; a manutenção do controle dos expedientes em tramitação no Gabinete; o recebimento, a distribuição e o encaminhamento de correspondência, ordens de serviços e demais trabalhos para execução; a supervisão da devida ordem no arquivo da Presidência; o encaminhamento ao protocolo, para distribuição, da documentação devidamente despachada; a recepção de autoridades e demais convidados e respectiva condução ao Presidente, sobretudo quando da realização de atos solenes.

                                                                                                                                 

                                                                                                                                COORDENADORIA DE COMUNICAÇÃO SOCIAL

                                                                                                                                 

                                                                                                                                Art. 10. A Coordenadoria de Comunicação Social, vinculada diretamente ao Presidente, tem como atribuições: o planejamento e a execução da política de comunicação; o estabelecimento de estratégias para a valorização do Poder Legislativo; a divulgação ampla e irrestrita das atividades da Câmara Municipal, dos seus organismos e dos Vereadores, com o objetivo de informar, educar e orientar a população; a coordenação do planejamento e da realização de campanhas publicitárias institucionais; a atividade cerimonial protocolar, nas atividades em que se fizer necessária; a formação, alimentação e manutenção do acervo multimídia na internet, garantindo à população o acesso ao mesmo.

                                                                                                                                Art. 11.O Coordenador de Comunicação Social tem como atribuições: a coordenação da execução das atribuições de sua unidade; a participação na análise política dos fatos de interesse da Câmara Municipal; de conformidade com as instruções do Presidente e do Diretor Geral, chefiar, supervisionar e coordenar a divulgação das atividades da Câmara Municipal, dos seus organismos e dos Vereadores; a composição de programa de execução dessas atribuições e de controle das mesmas; a composição da pauta de trabalho, otimizando as atividades dos servidores integrantes de sua Coordenadoria; junto aos mesmos, o fomento da produção de noticiário para ser veiculado em todos os meios de veiculação; a orientação, seleção e crítica do material produzido; a direção na distribuição de textos, fotos e releases aos meios de comunicação de massa; aprovar a programação dos serviços fotográficos; fazer com que seja capturado em todas as formas de comunicação todo o registro das atividades da Coordenadoria, da Câmara em geral, dos Vereadores, ou aquelas veiculadas nos meios de comunicação televisada, irradiada, escrita e pela internet, para fins de composição do acervo multimídia; opinar e decidir com as autoridades superiores sobre a produção e a edição de publicações, programação de mídia impressa ou não; coordenar a produção de material gráfico de apoio a eventos e campanhas institucionais; o fornecimento, no momento oportuno, ao Diretor Geral, dos elementos necessários à composição da escala de férias; o estabelecimento e a manutenção de diretrizes necessárias ao fomento, manutenção e utilização do acervo multimídia; a autorização de solicitação de materiais, bens e serviços necessários à Coordenadoria; executar atividades correlatas.

                                                                                                                                 

                                                                                                                                PROCURADORIA JURÍDICA

                                                                                                                                 

                                                                                                                                Art. 12. A Procuradoria Jurídica, órgão vinculado ao Presidente da Casa, tem como atribuições a representação em qualquer foro ou instância da Câmara Municipal, nos feitos de que ela participe; o estudo e as providências alusivas à declaração de inconstitucionalidade; a participação na análise de temas políticos; apreciação de propostas de alteração de entendimentos de natureza jurídica, dos recursos ao Plenário, dos Recursos de Revista e/ou outros questionamentos; a manifestação nas propostas de adoção de precedentes firmados na aplicação do Regimento Interno; a promoção, direta ou indireta, do assessoramento às Comissões Especiais de Estudos, Comissões Parlamentares de Inquérito, Comissões Processantes, à Presidência, aos organismos da Casa e aos Vereadores.

                                                                                                                                Art. 13. O Procurador Jurídico tem como atribuições: a representação em qualquer foro ou instância da Câmara Municipal, nos feitos que ela integre, inclusive em mandado de segurança proposto contra ocupantes de cargos da Mesa; o estudo e as providências alusivas à declaração de inconstitucionalidade; a participação na análise de temas políticos; estudar e minutar contratos, termos de compromisso e responsabilidade, convênios e outros atos; emitir pareceres singulares ou relatar pareceres coletivos; responder a consulta sobre interpretação de textos legais de interesse da Câmara Municipal; apreciação de propostas de alteração de entendimentos de natureza jurídica formulados pelos advogados, dos recursos ao Plenário, dos Recursos de Revista e/ou outros questionamentos; a manifestação nas propostas de adoção de precedentes firmados quanto à aplicação do Regimento Interno; o assessoramento, direto ou indireto, de Comissões Especiais de Estudos, Comissões Parlamentares de Inquérito, Comissões Processantes, da Presidência, dos organismos da Casa e dos Vereadores; o esclarecimento ao Plenário, à Mesa Executiva, aos Vereadores e aos organismos da Casa das dúvidas remanescentes; a supervisão das atividades da Procuradoria; a manifestação nos relatórios de comissões, audiências públicas, seminários, simpósios e de grupos de trabalho; a composição da escala de férias; dirigir equipes auxiliares no âmbito das atividades próprias do cargo; a execução de atividades correlatas.

                                                                                                                                 

                                                                                                                                DIRETORIA DE CONTROLE INTERNO

                                                                                                                                 

                                                                                                                                Art. 14. A Diretoria de Controle Interno, vinculada ao Presidente da Casa, tem como atribuições a execução, com autonomia, das funções de controle interno, nos termos da legislação municipal, estadual e federal aplicável, a elaboração e manutenção de manuais de procedimentos, a elaboração do programa permanente de auditagem e correição interna.

                                                                                                                                Art. 15. O Diretor de Controle Interno tem as atribuições de fazer com que se efetive o controle interno das atividades da Câmara Municipal, cumprindo e fazendo cumprir a respectiva legislação federal, estadual e municipal, para o que receberá a cooperação e a colaboração devida de todas as repartições, seus titulares e servidores, tendo atendidas suas solicitações e determinações em caráter de precedência sobre as demais; assinar, juntamente com o Presidente, a Mesa Executiva e o Diretor Administrativo, o relatório das contas do Legislativo a ser enviado ao Tribunal de Contas, no que se refere à Lei de Responsabilidade Fiscal; na forma do estatuído pelo artigo 118 da Lei Orgânica do Município e artigo 219 do Regimento Interno da Câmara Municipal, promover a integração dos serviços de controle interno do Poder Legislativo com os serviços de controle interno do Poder Executivo; desenvolver as funções de controle interno na integralidade dos atos da Câmara Municipal, sejam de responsabilidade da Presidência, de todos os demais organismos da Casa, sejam de responsabilidade dos integrantes de seu funcionalismo, efetivos ou comissionados, e até de eventuais voluntários, na forma da lei; firmar documentos precedentemente ao Diretor Geral e ao Presidente, quando for o caso; dirigir a elaboração e a manutenção de manuais de procedimentos, ouvida a Mesa Executiva; fixar a programação permanente de auditagem e correição interna; pronunciar-se sobre os relatórios das atividades de controle interno; prestar informações do desenvolvimento dos trabalhos de controle interno ao Presidente, à Mesa Executiva e ao Diretor Geral, quando solicitado; o exercício de funções correlatas.

                                                                                                                                Art. 16. Não poderão ser designados para o exercício de funções do Controle Interno os cidadãos:

                                                                                                                                I – que sofreram apenação administrativa, civil ou penal transitada em julgado; 

                                                                                                                                II – que realizem atividade ou possuam vínculos político-partidários.

                                                                                                                                Art. 17. Constitui garantia do ocupante da função de responsável pelo Sistema de Controle Interno do Poder Legislativo independência profissional para o desempenho das atividades.

                                                                                                                                Art. 18. Os servidores da Diretoria de Controle Interno do Poder Legislativo guardarão sigilo sobre dados e informações de que tiverem conhecimento no exercício de suas funções, utilizando-os, exclusivamente, para a elaboração de pareceres e relatórios destinados à autoridade competente, sob pena de responsabilidade.

                                                                                                                                Parágrafo único. Os responsáveis pelo controle, ao tomarem conhecimento de qualquer irregularidade ou ilegalidade, dela darão ciência imediata ao Presidente da Câmara Municipal.

                                                                                                                                 

                                                                                                                                GABINETES DOS VEREADORES

                                                                                                                                 

                                                                                                                                Art. 19. Aos Gabinetes dos Vereadores, dirigidos por eles próprios, com auxílio de seus Chefes de Gabinete e demais assessores, compete o auxílio, a assistência e o encaminhamento dos assuntos gerais de interesse dos Gabinetes; a organização e a direção das audiências dos Vereadores; a preparação e a expedição das correspondências; o registro e o encaminhamento, para divulgação, dos atos do titular do Gabinete; a elaboração de proposições de iniciativa dos Vereadores, com as respectivas justificativas; e o desempenho de outros serviços burocráticos, a critério dos Vereadores, e das demais atividades correlatas.

                                                                                                                                Art. 20. São atribuições do Chefe de Gabinete: desempenhar funções internas e externas; prestar assessoramento e aconselhamento ao Vereador junto ao qual exerce as atribuições de seu cargo; realizar estudos e pesquisas para subsidiar assessoramento no exame de proposições e expedientes em geral que passem pela apreciação do Vereador; efetuar e elaborar trabalhos relacionados com o serviço e a assistência às bases, de interesse do Vereador; sugerir assuntos e temas para pronunciamento do Vereador; exercer atividades de divulgação dos trabalhos realizados e relações públicas do Vereador; controlar a assiduidade e frequência ao trabalho dos assessores lotados no respectivo Gabinete, bem como as atividades por eles realizadas; supervisionar, coordenar e controlar as atividades diárias do Gabinete, promovendo o ajuste das atividades ao plano de ações, atividades e programas.

                                                                                                                                Art. 21. São atribuições do Assessor Parlamentar: desempenhar funções internas e externas, segundo diretrizes e orientação superior; executar trabalhos de redação e resumo de acompanhamento de reuniões e comissões; auxiliar na realização de pesquisas, estudos e elaboração de informações de interesse do Gabinete; verificar e acompanhar a tramitação de assuntos junto a repartições públicas e órgãos da Câmara; responsabilizar-se pelo recebimento e encaminhamento de pareceres de comissões que o parlamentar integre; colaborar na organização de audiências públicas ou reuniões que devam ser promovidas pelo Vereador; elaborar os projetos de lei de iniciativa do Vereador e as respectivas justificativas.

                                                                                                                                Art. 22. São atribuições do Assessor de Gabinete: desempenhar funções internas e externas, segundo diretrizes e orientação superior; efetuar serviços de recepção, redação, digitação, organização de arquivos e catalogação dos pedidos de informações e respectivas respostas; controlar prazos e diligenciar respostas às proposições, indicações e pedidos do Vereador; colaborar na agenda política do parlamentar; manter arquivo de documentos e papéis em caráter particular endereçados ao Vereador; expedir convites e anotar todas as providências necessárias ao assessoramento do parlamentar; promover o registro de nome e endereço completo de autoridades, lideranças e cidadãos de interesse do Vereador.

                                                                                                                                Art. 23. Os ocupantes dos cargos a que se referem os artigos 20 a 22 deverão, preferencialmente, possuir o seguinte nível mínimo de escolaridade:

                                                                                                                                I – Chefe de Gabinete: ensino superior;

                                                                                                                                II – Assessor Parlamentar: ensino médio;

                                                                                                                                III – Assessor de Gabinete: ensino médio.

                                                                                                                                Art. 24. O controle de assiduidade e frequência ao trabalho dos assessores lotados no respectivo Gabinete, bem como das atividades por eles realizadas, será exercido pelo Chefe de Gabinete, sob a supervisão do Vereador.

                                                                                                                                Parágrafo único. O controle de que trata o caput referente ao Chefe de Gabinete será exercido direta e exclusivamente pelo Vereador.

                                                                                                                                Art. 25. As atividades externas realizadas pelos assessores lotados no respectivo Gabinete deverão ser controladas por meio de apresentação de justificativa própria, contendo data, horário, local, tempo de permanência e assunto tratado, que deverá ser validada pelo Chefe de Gabinete e entregue ao setor de Administração e Recursos Humanos, com a anuência do Vereador, no prazo de até 3 (três) dias úteis da ocorrência, para fins de justificação de ausência do servidor do local de trabalho.

                                                                                                                                Art. 26. Todas as atividades do Gabinete serão de responsabilidade exclusiva do Vereador, inclusive aquelas realizadas em expediente externo, observadas as disposições legais.

                                                                                                                                 

                                                                                                                                GABINETE DA PRIMEIRA SECRETARIA

                                                                                                                                 

                                                                                                                                Art. 27. O Gabinete da Primeira Secretaria tem as atribuições determinadas pela Lei Orgânica e pelo Regimento Interno da Casa, destacando-se a superintendência dos serviços administrativos da Casa, sob a orientação do Presidente.

                                                                                                                                Art. 28. O Assessor de Gabinete da Primeira Secretaria tem como atribuições: a direção, orientação, controle, promoção e fiscalização das atividades inerentes ao Gabinete do Primeiro-Secretário; a manutenção do controle dos expedientes em tramitação no Gabinete; o recebimento, a distribuição e o encaminhamento de correspondências, ordens de serviços e demais trabalhos para execução; a supervisão da devida ordem no arquivo geral da Primeira Secretaria; o encaminhamento ao protocolo, para distribuição, da documentação devidamente despachada; a recepção de autoridades e demais convidados e respectiva condução ao Primeiro-Secretário, sobretudo quando da realização de atos solenes; assessorar o Primeiro-Secretário nas ações de superintendência dos serviços administrativos da Casa, cumprindo a programação de trabalho estabelecida; diligenciar o andamento dos projetos, indicações e requerimentos nas Comissões, com vistas a manter o Primeiro-Secretário apto a responder a consultas relativas à composição da Ordem do Dia das sessões; diligenciar informações sobre ações e medidas com vistas a manter o Primeiro-Secretário apto a discutir e analisar o andamento administrativo da Casa; organizar e dirigir as audiências; auxiliar, assistir e encaminhar os assuntos gerais de interesse do Gabinete; analisar a documentação destinada à assinatura do Primeiro-Secretário, orientando-o sobre os precedentes e rotinas estabelecidas; manter controle dos expedientes, papéis e demais documentos em tramitação no Gabinete; realizar os serviços pertinentes à Primeira Secretaria, à agenda e ao atendimento ao público; sugerir pronunciamentos sobre matérias em tramitação no Legislativo ou sobre acontecimentos que afetem a vida da comunidade; encaminhar demandas e retornar aos cidadãos as medidas resolutivas ou respostas a suas solicitações; agendar e organizar reuniões e debates e assessorar o Primeiro-Secretário em suas relações institucionais com os demais órgãos da Câmara Municipal e no relacionamento político-administrativo com os munícipes, órgãos e entidades públicas e privadas, associações de classe, entidades, organismos estaduais e federais; realizar contatos com autoridades públicas; representar o Primeiro-Secretário em reuniões e eventos, sempre que assim determinado pelo mesmo; sugerir encaminhamentos e pautas políticas; o registro e encaminhamento, para divulgação, dos atos do titular do Gabinete; executar tarefas correlatas.

                                                                                                                                 

                                                                                                                                DIRETORIA GERAL

                                                                                                                                 

                                                                                                                                Art. 29. A Diretoria Geral, vinculada diretamente ao Presidente da Casa, tem como atribuições: a discussão de temas políticos; proporcionar e garantir os serviços administrativos, legislativos, de apoio e de ação comum à Câmara, Plenário, Mesa Executiva, Presidência, Comissões Permanentes, Comissões Temporárias, Grupos de Trabalho, Frentes Parlamentares, Audiências Públicas, Vereadores e demais organismos; conduzir, de acordo com as determinações superiores, o exercício das atividades institucionais da Casa e o atendimento público, zelando para que tais procedimentos assegurem o eficiente funcionamento do Legislativo.

                                                                                                                                Art. 30. O Diretor Geral tem como atribuições: programar, supervisionar, dirigir, coordenar, orientar e controlar a execução de todos os serviços legislativos e administrativos da Câmara Municipal; autorizar a expedição e assinar as certidões requeridas; assinar os processos de pagamento das despesas da Câmara e encaminhar à Presidência para a competente autorização e pagamento; dar posse a todos os servidores efetivos e comissionados da Câmara Municipal, mediante termo em livro próprio; conhecer de todo expediente oriundo das Diretorias; assinar ofícios, atestados, certidões, editais e outros documentos da Câmara Municipal; expedir ordens de serviços e demais atos necessários à execução dos trabalhos da Câmara Municipal, conforme instruções e decisões da Presidência; julgar justificadas ou não faltas ao serviço dos servidores, de acordo com a legislação vigente; autorizar a lotação do pessoal da Câmara Municipal; emitir despachos em processos cuja decisão caiba à autoridade superior; emitir despachos decisórios em processos de sua competência; encaminhar à Mesa Executiva, até o dia 30 de janeiro, o relatório anual circunstanciado das atividades desenvolvidas pela Câmara Municipal; propor medidas à Mesa Executiva que visem a facilitar os serviços da Câmara Municipal; apreciar e encaminhar os relatórios mensais e anuais apresentados pelos órgãos da Câmara Municipal e elaborar um relatório geral para a Mesa Executiva e a Presidência; despachar o expediente com o Presidente da Câmara Municipal; promover reuniões com os Diretores e Chefes das Divisões, Seções e Serviços, para tratar de assuntos relacionados com os serviços da Câmara; comunicar-se com outras repartições públicas, sempre que necessário, para a resolução de assuntos de interesse da Câmara; assinar os cheques em geral, juntamente com o Presidente ou outro membro da Mesa Executiva autorizado; conservar e zelar pelos bens patrimoniais da Câmara Municipal, sob sua responsabilidade e guarda; prestar esclarecimentos em Plenário, quando solicitado; assessorar a Mesa Executiva nos atos e decisões de serviços da Câmara Municipal; assessorar a Mesa e os Vereadores em matéria de sua competência; autorizar a prestação de serviços extraordinários por parte dos funcionários da Câmara, ouvidos os respectivos superiores; superintender, direta ou indiretamente, a fiscalização da execução dos contratos celebrados pela Câmara Municipal; fixar, por ato administrativo, a escala anual de férias dos servidores, ouvindo os respectivos superiores; encaminhar à Diretoria Administrativa, por intermédio da Divisão de Finanças, Orçamento e Contabilidade, a elaboração da proposta orçamentária da Câmara, devidamente aprovada pela Mesa Executiva; desempenhar outras funções correlatas.

                                                                                                                                Art. 31. Compete à Divisão de Protocolo Geral, Expediente e Cerimonial Protocolar da Câmara Municipal, subordinada diretamente à Diretoria Geral: a manutenção do protocolo geral do expediente; a remessa, recebimento, triagem e distribuição da correspondência externa e interna, conforme determinação superior; os serviços de mensageiro; protocolizar, em livro próprio, as solicitações de serviços dos Vereadores, efetuando sua triagem e encaminhamento aos setores responsáveis; elaborar a súmula do expediente recebido, para fins de leitura em plenário; coletar as assinaturas dos Vereadores no livro de presença à sessão; remeter à publicação, mediante protocolo, todos os atos e demais matérias sujeitas a esta finalidade; distribuir, mediante protocolo, relatórios e outros documentos; executar os serviços de cerimonial em geral, bem assim a recepção de autoridades, convidados e visitantes oficiais; organizar o calendário de eventos da Câmara; elaborar e encaminhar convites para solenidades oficiais do Legislativo; promover as relações sociais entre a Câmara e outros poderes e entidades; manter cadastro atualizado de autoridades, em nível municipal, estadual e federal; desempenhar outras atividades correlatas.

                                                                                                                                Art. 32. A Chefia da Divisão de Protocolo Geral, Expediente e CerimonialProtocolar tem as atribuições de cumprir e fazer cumprir as atribuições da referida Divisão; de recepção e registro de todos os documentos apresentados para quaisquer fins ao Legislativo Municipal, a execução de seus registros de entrada e da completa tramitação e o apontamento do arquivo respectivo; assessorar na organização de solenidades e outros eventos promovidos pela Câmara; recepcionar autoridades e visitantes em geral, de acordo com as normas protocolares; redigir e digitar correspondências, convites, cartões e outros documentos referentes ao Cerimonial; elaborar roteiros de atos solenes e de audiências públicas; proceder à divulgação de informações institucionais via Internet; executar outras atividades correlatas, a critério do superior imediato.

                                                                                                                                 

                                                                                                                                 DIRETORIA LEGISLATIVA

                                                                                                                                 

                                                                                                                                Art. 33. A Diretoria Legislativa, vinculada ao Diretor Geral, tem as atribuições de iniciar, desenvolver e concluir os processos de propostas de emenda à Lei Orgânica, de projetos de leis, decretos legislativos e resoluções para apreciação do Plenário; proporcionar e dirigir os trabalhos de apoio às Comissões Permanentes, às Comissões Temporárias e Grupos de Trabalho Administrativos; aprestar substitutivos, emendas, indicações e requerimentos em geral para serem apreciados pelo Plenário; compor a Ordem do Dia das sessões, conforme as instruções do Presidente da Câmara; implementar outras atividades voltadas à regularidade e eficácia da atividade legislativa.

                                                                                                                                Art. 34. O Diretor Legislativo tem as atribuições de participar da análise dos fatos políticos; com o concurso da Divisão de Assistência Legislativa, orientar, coordenar e dirigir a formação, o desenvolvimento e a conclusão dos processos das propostas de leis, decretos legislativos e resoluções; o aprestamento de substitutivos, emendas, requerimentos em geral e indicações, submetendo-os à consideração do Presidente, para integrarem a pauta da Ordem do Dia das sessões; coordenar as funções de apoio às Comissões Permanentes, às Comissões Temporárias e Grupos de Trabalho Administrativos, das Seções de Processos Legislativos, de Redação, de Atas e Anais, de Comissões Permanentes, de Apoio a Comissões Temporárias e Grupos de Trabalho e de Arquivo, Mecanografia e Informações; cumprir e fazer cumprir as determinações superiores; firmar os documentos expedidos pela Diretoria em favor dos demais organismos da Casa; assessorar o Presidente, a Mesa Executiva, as Comissões, os Vereadores e o Diretor Geral; executar tarefas correlatas.

                                                                                                                                Art. 35. À Divisão de Assistência Legislativa compete desempenhar todos os passos do processo legislativo relativos à tramitação de propostas de emendas à Lei Orgânica do Município, de projetos de leis, de resolução e de decreto legislativo; elaborar a redação final dos projetos; controlar os prazos para sanção ou promulgação; manter o arquivo de leis, de emendas à Lei Orgânica do Município, de resoluções e de decretos legislativos com todos os documentos do processo legislativo do ano corrente; formatar o texto final de leis promulgadas, de emendas à Lei Orgânica do Município, de resoluções e de decretos legislativos, encaminhando-os para promulgação ao Órgão Oficial, com cópia para o Executivo; controlar o prazo para publicação e conferir o texto de atos legislativos no Órgão Oficial do Município; disponibilizar a íntegra de leis, de emendas à Lei Orgânica, de resoluções e de decretos legislativos na internet, com a formatação adequada para visualização; receber vetos aos projetos de leis, encaminhá-los para tramitação e controlar o prazo; manter arquivo auxiliar contendo documentos referentes às comissões, aos conselhos, aos comitês e aos órgãos criados por leis especiais com representação da Câmara (leis, decretos, ofícios e outros) e alimentar o respectivo cadastro no Sistema Informatizado (com controle de mandatos); apoiar a realização das sessões ordinárias, extraordinárias, solenes, secretas e especiais, elaborando as pautas, fornecendo todos os documentos necessários e/ou solicitados em Plenário, acompanhar à discussão das matérias, dar encaminhamento e alimentar o sistema informatizado de acordo com o despacho da Mesa; providenciar o controle de frequência dos vereadores e o respectivo relatório mensal; secretariar as comissões permanentes e temporárias (elaborar ofícios, relatórios, controlar o prazo destas e tomar outras providências que se fizerem necessárias); alimentar e manter atualizado, no sistema informatizado, o cadastro de Decretos do Executivo, da Legislatura, da Mesa Executiva, de Partidos, de Vereadores e de Comissões.

                                                                                                                                Art. 36. À Seção de Processos Legislativos, órgão diretamente subordinado à Chefia da Divisão de Assistência Legislativa, compete: cumprir e fazer cumprir as determinações regularmente emanadas da Divisão de Assistência Legislativa; atender aos trabalhos nas sessões da Câmara Municipal;elaborar e digitar as proposições oficiais dos Vereadores e da Mesa Executiva; assessorar a Mesa Executiva, no decorrer das sessões da Câmara Municipal, sobre matéria técnico-legislativa; controlar as matérias em tramitação na Seção; controlar os prazos dos projetos de lei encaminhados pelo Executivo Municipal; apresentar à Mesa Executiva, por intermédio do Primeiro-Secretário, todos os papéis que tenham de ser presentes à Câmara Municipal ou de ser lidos, em resumo, no Expediente das Sessões; receber e dar destino conveniente, dentro das normas legais, a todos os documentos passados ou devolvidos à Mesa Executiva; elaborar a pauta da Ordem do Dia das Sessões; mandar extrair e distribuir avulsos das matérias dadas à Ordem do Dia; numerar e rubricar todos os projetos e processos em tramitação, sob esta responsabilidade; desempenhar outras funções que lhe forem atribuídas pela Mesa Executiva, Diretoria Geral e Diretoria Legislativa.

                                                                                                                                Art. 37. À Seção de Redação, órgão subordinado diretamente à Chefia da Divisão de Assistência Legislativa, compete: cumprir e fazer cumprir as determinações regulamentares emanadas da respectiva chefia; digitar os autógrafos de Emendas à Lei Orgânica, projetos de lei, resoluções, decretos legislativos; redigir, revisar quanto à ortografia e digitar os expedientes oficiais, especialmente requerimentos, indicações e correspondências, afetos à competência da Diretoria Legislativa; enviar, via e-mail, quando possível, ao Gabinete do Prefeito Municipal, os autógrafos dos projetos de lei submetidos à sanção prefeitoral; auxiliar a Seção de Processos Legislativos na elaboração das proposições em geral; manter registro e controle, bem como zelar pela guarda das solicitações de serviço encaminhadas pelos senhores vereadores, destinadas a orientar a elaboração de proposições; instruir, com o auxílio da Seção de Arquivo, Mecanografia e Informações, as solicitações de serviço apresentadas pelos senhores vereadores, posteriormente destinando-as à Seção de Processos Legislativos, para os procedimentos de praxe; sempre que possível, prestar colaboração aos serviços desenvolvidos pelas demais Seções da Divisão; desempenhar outras atividades correlatas.

                                                                                                                                Art. 38. À Seção de Comissões Permanentes, órgão diretamente subordinado à Chefia da Divisão de Assistência Legislativa, compete: elaborar parecer, por escrito, em matéria ou proposição, quando solicitado pela Mesa Executiva, com auxílio da Procuradoria Jurídica; elaborar parecer, por escrito, quando solicitado pelas Comissões Permanentes da Câmara, em matérias que exijam apreciação técnico-legislativa; elaborar parecer, quando solicitado pela Mesa Executiva, sobre a proposta do Orçamento-Programa do Município, Plano Plurianual de Investimentos e outras matérias de natureza orçamentária, com a orientação da Chefia da Divisão de Finanças, Orçamento e Contabilidade; elaborar parecer, quando solicitado pela Mesa Executiva, sobre a Prestação de Contas do Município, depois de recebido o Parecer Prévio ou Acórdão do Tribunal de Contas do Estado, também com o auxílio previsto no item anterior; assessorar os Vereadores, a Mesa Executiva e as Comissões Permanentes, em assuntos de sua competência; assessorar os Vereadores na apreciação do Orçamento-Programa do Município, Prestações de Contas e outras matérias pertinentes; assessorar, quando solicitado, a Diretoria Geral e a Diretoria Legislativa, sobre matéria técnico-legislativa; controlar os prazos das matérias encaminhadas às Comissões; numerar e rubricar todos os processos em tramitação no âmbito das Comissões; controlar, por sistema próprio, as matérias em tramitação nas Comissões; desempenhar outras funções correlatas que lhe forem regularmente atribuídas pela Chefia da Divisão de Assistência Legislativa ou superiores hierárquicos.

                                                                                                                                Art.39. Compete à Seção de Apoio aComissões Temporáriase Grupos de Trabalho, subordinada diretamente à Chefia da Divisão de Assistência Legislativa: prestar assistência técnico-legislativa integral às atividades desenvolvidas pelas Comissões Temporárias e Grupos de Trabalho instituídos pelo Plenário ou pela Mesa Executiva da Casa, com a orientação da Procuradoria Jurídica da Casa, quando necessário; redigir e digitar todas as correspondências, atas, relatórios, pareceres, convocações, certidões, resumos ou íntegras de pronunciamentos e demais documentos pertinentes às atividades desenvolvidas pelas comissões e grupos de trabalhos, conforme determinado pelo referido Presidente; promover a entrega ou expedição de documentos, mediante recibo, quando assim determinado pela autoridade responsável; publicar ou prestar informações gerais quanto à tramitação dos processos e ao desenvolvimento de atividades, na forma determinada pela autoridade responsável; extrair e fazer distribuir, aos membros das Comissões ou Grupos de Trabalho, avulsos das matérias submetidas à Ordem do Dia; zelar pelos prazos de funcionamento das Comissões e Grupos de Trabalho, bem como manter registro, paginação e controle de todos os processos ou documentos submetidos à análise ou apreciação dos mesmos; promover a coletânea da legislação necessária a instruir os trabalhos realizados no âmbito da Seção; manter arquivo especial, devidamente cadastrado, para documentos considerados sigilosos ou secretos; organizar, em volumes, os processos relativos a todos os trabalhos desenvolvidos no âmbito da Seção, acompanhados de índice alfabético-remissivo, zelando pela sua guarda e manutenção; assistir às sessões da Câmara Municipal e coordenar a realização das reuniões das Comissões Temporárias e Grupos de Trabalho, que deverão ser gravadas in totum quando possível, a fim de executar a contento as tarefas de responsabilidade da Seção; coligir, junto a órgãos públicos e privados, dados e informações de interesse das Comissões Temporárias e Grupos de Trabalho; desempenhar outras funções pertinentes que lhe forem atribuídas pelas Comissões e Grupos de Trabalho; prestar auxílio às atividades desenvolvidas pela Seção de Processos Legislativos e Seção de Comissões Permanentes quando não houver o funcionamento de Comissões Temporárias e Grupos de Trabalho, por determinação da Chefia da Divisão de Assistência Legislativa; cumprir e fazer cumprir as determinações regulamentares emanadas da Divisão a que está subordinada a Seção, ou de seus superiores hierárquicos.

                                                                                                                                Art. 40. À Seção de Arquivo, Mecanografia e Informações, órgão diretamente subordinado à Chefia da Divisão de Assistência Legislativa, compete: cumprir e fazer cumprir as determinações regulamentares emanadas da Divisão de Assistência Legislativa; manter registro e controle de todos os processos e demais expedientes destinados ao arquivo; preservar atualizado e em boa ordem, em livro, fichas ou outro sistema adotado, o registro das matérias, de forma a assegurar localização rápida e eficiente de qualquer documento recolhido ao arquivo; organizar a coletânea das leis municipais, resoluções e decretos legislativos, requerimentos, indicações e outras matérias, anotando as alterações ou transformações havidas; realizar controle sistemático sobre o cumprimento das leis, decretos legislativos e resoluções, e as razões de sua inobservância, quando ocorrer; conservar arquivo com informações sobre as leis, decretos legislativos e resoluções em desuso, revogadas ou derrogadas; promover, periodicamente, a coletânea de leis, decretos legislativos e resoluções análogos ou afins, para efeito de consolidação de seus textos, conforme critérios e sistemas determinados pela Mesa Executiva; manter sob sua guarda e conservação os livros, revistas, publicações, coleções diversas e outras matérias de interesse da Câmara Municipal, classificando-os convenientemente; atender a consultas e requisições dos órgãos da Câmara Municipal, no que concerne à literatura técnico-legislativa e jurídica, mantendo, para tanto, fichários organizados e atualizados; manter arquivo especial, devidamente cadastrado, para documentos considerados sigilosos ou secretos; adotar sistema de segurança adequado para a guarda dos arquivos da Câmara Municipal, para evitar sua violação ou qualquer ação que possa destruí-los ou inutilizá-los; efetuar, anualmente, a triagem da documentação que se destina ao arquivo morto da Câmara Municipal; promover a microfilmagem de documentos oficiais da Câmara, de conformidade com as determinações da Mesa Executiva; expedir, quando autorizado, cópias ou fotocópias de documentos arquivados ou sob sua responsabilidade; controlar, em livro próprio, o envio de correspondências oficiais da Câmara Municipal; proceder à entrega, mediante registro, de expedientes, relatórios e outros documentos; prestar informações gerais quanto à tramitação de processos e expedientes na Câmara Municipal, quando solicitadas pelas chefias competentes; encaminhar para publicação todos os atos da Mesa Executiva e demais matérias sujeitas a esta formalidade; gravar “in totum” as sessões da Câmara; elaborar, mensalmente, relatório das atividades legislativas; controlar os prazos dos pedidos de informações ou de documentos encaminhados ao Executivo Municipal; extrair e fazer distribuir avulsos das matérias dadas à Ordem do Dia; organizar, em conjunto com a Divisão de Administração, Recursos Humanos e Licitações, a relação dos suplentes de Vereadores, a apostilagem dos títulos de nomeação dos funcionários, bem como os de posse dos Vereadores; desempenhar outras funções correlatas.

                                                                                                                                Art. 41. À Seção de Atas e Anais, órgão diretamente subordinado à Divisão de Assistência Legislativa, compete: cumprir e fazer cumprir as determinações regulamentares emanadas da Chefia da Divisão; assistir às sessões da Câmara Municipal a fim de elaborar as atas e os anais; elaborar, com dados colhidos em Plenário, ata sucinta das sessões e anais do Poder Legislativo, na forma regimental; elaborar e digitar certidões, pronunciamentos e outras matérias relevantes, pertinentes às sessões, reuniões e outros eventos ligados diretamente à atividade legislativa; organizar, em volumes, os anais da Câmara Municipal, acompanhados de índice analítico e remissivo; desempenhar outras atividades correlatas.

                                                                                                                                 

                                                                                                                                DIRETORIA ADMINISTRATIVA

                                                                                                                                 

                                                                                                                                Art. 42. A Diretoria Administrativa, vinculada ao Diretor Geral, tem como atribuições a realização, com a participação e concurso de suas divisões, seções e serviços, das atividades de Administração, Recursos Humanos, Licitações e Compras; Patrimônio e Almoxarifado; Portaria, Vigilância e Segurança; Controle do Uso e da Manutenção de Veículos; Manutenção Geral; Copa e Limpeza: Telefonia e Comunicações; Finanças, Orçamento e Contabilidade; Tesouraria e Caixa; Tecnologia da Informação; Processamento de Dados; Suporte Técnico e Manutenção.

                                                                                                                                Art. 43. O Diretor Administrativo tem as atribuições de superintender, orientar, dirigir, controlar e coordenar as atividades das divisões, seções e serviços integrantes da Diretoria Administrativa; o desenvolvimento de esforços para que as atividades sob sua direção realizem suas competências e funções mediante projetos previamente aprovados, destacando a relação custo/benefício de seus atos administrativos, cumprindo os princípios estabelecidos pelo artigo 37 da Constituição Federal; determinar estudos e, com base neles, propor ao Diretor Geral medidas de aprimoramento dos serviços e atuações de competência da Diretoria de Administração e seus órgãos subordinados; expedir autorização para a instauração dos processos licitatórios e de aquisição; determinar o levantamento mensal de relatórios demonstrativos e estatísticos do comportamento das finanças, orçamentários e apropriação das despesas reais aos vários setores da Câmara Municipal; exigir relatório de conservação geral e de veículos com demonstração estatística mensal, quadrimestral e anual e outros dados que se fizerem necessários; relatar ao Diretor Geral o desempenho global das atividades e serviços sob a responsabilidade da Diretoria Administrativa e seus órgãos subordinados; executar atividades correlatas.

                                                                                                                                Art. 44. À Divisão de Administração, Recursos Humanos e Licitações compete cumprir e fazer cumprir as determinações regulamentares emanadas da Diretoria Administrativa; supervisionar a execução dos serviços de reparo e manutenção do prédio, das instalações e do mobiliário da Câmara; o deslocamento dos bens móveis e utensílios entre as dependências da Câmara; manter cadastro dos funcionários da Câmara Municipal, bem como dos Vereadores; elaborar os atos relativos à admissão, readmissão, aproveitamento, posse, exercício, remoção, transferência, substituição e demissão do pessoal, etc.; verificar, quando da admissão de pessoal, a regularidade dos documentos exibidos; atribuir número de matrícula e expedir carteira de identidade funcional aos servidores, bem como aos Vereadores; orientar os funcionários da Câmara Municipal, quando se fizer necessário, com referência aos atos ou normas de pessoal baixados pela Mesa Executiva; supervisionar o registro de frequência dos funcionários da Câmara Municipal, de conformidade com o cartão-ponto; supervisionar a elaboração das folhas de pagamento, mensalmente, dos funcionários da Câmara Municipal, bem como a respectiva ficha financeira; supervisionar a elaboração das folhas de subsídios dos Vereadores, bem como a respectiva ficha financeira; organizar, de conformidade com as instruções da Diretoria Geral, a escala de férias dos funcionários da Câmara Municipal, as quais, dentro do possível, deverão coincidir com os períodos de recesso legislativo; informar os processos administrativos, quando solicitada; efetuar e controlar o desconto das consignações nas folhas de pagamento, quando devidamente autorizado; extrair certidões referentes a assentamentos dos servidores da Câmara; manter controle e verificação do uso do relógio de ponto; elaborar instruções e programas de concurso para o provimento de cargos da administração e manter arquivo organizado dos concursos efetuados; supervisionar a remessa de informações ao Tribunal de Contas do Estado, através de sistema próprio daquele Órgão; organizar a relação dos suplentes de Vereadores; apostilar os títulos de nomeação dos funcionários, bem como os de posse dos Vereadores; a organização dos diplomas legais e normas aplicáveis a licitações e compras; o cadastro de fornecedores de bens e materiais e de prestadores de serviços; acompanhar a elaboração dos instrumentos convocatórios de licitações, confeccionados pela Comissão de Licitações ou Pregoeiro designado; a instrução dos processos licitatórios; o acompanhamento e registro de preços praticados em relação a materiais e serviços; auxiliar na elaboração das justificativas legais nos casos de dispensa e inexigibilidade de licitação; desempenhar outras funções que lhe forem atribuídas pela Diretoria Administrativa.

                                                                                                                                Art. 45. À Seção de Recursos Humanos, órgão subordinado à Divisão de Administração, Recursos Humanos e Licitações, compete: cumprir e fazer as determinações regulamentares emanadas da Divisão; manter cadastro dos servidores da Casa, bem como dos vereadores; elaborar os atos relativos à admissão, readmissão, aproveitamento, posse, exercício, remoção, transferência, substituição, exoneração e demissão do pessoal, etc.; lavrar em livro próprio os termos de promessa legal de posse dos servidores nomeados ou designados, ao serem investidos em cargos ou funções de direção constantes da estrutura organizacional da Casa; verificar, quando da admissão de pessoal, a regularidade dos documentos exibidos; atribuir número de matrícula e expedir carteira de identidade funcional aos servidores, bem como aos vereadores; orientar os servidores da Casa, quando se fizer necessário, com referência aos atos ou normas de pessoal baixadas pela Mesa Executiva; elaborar regularmente, no âmbito de sua competência, o relatório de frequência dos servidores da Casa, de conformidade com os sistemas de registro de ponto operantes; elaborar as folhas de pagamento, mensalmente, dos servidores da Casa, bem como a respectiva ficha financeira; elaborar as folhas de subsídios dos vereadores, bem como a respectiva ficha financeira; organizar, de conformidade com as instruções da Diretoria Geral, a escala de férias dos servidores da Casa, as quais, dentro do possível, deverão coincidir com os períodos de recesso legislativo; informar e instruir os processos administrativos, quando solicitado; efetuar e controlar o desconto das consignações nas folhas de pagamento, quando devidamente autorizado; extrair certidões referentes a assentamentos dos servidores da Casa; manter controle e verificação do uso dos sistemas de registro de ponto operantes; elaborar instruções e programas de concurso para o provimento de cargos da administração e manter arquivo organizado dos concursos realizados; efetuar os assentamentos relativos ao exercício do mandato dos vereadores, mantendo atualizados registros indicativos do partido pelo qual se elegerem, o número de votos obtidos nas eleições, a data da eleição e da posse, e outros dados necessários, assim como das funções que exerceram na Casa; elaborar, anualmente, relação do pessoal da Casa, exigida pelo Tribunal de Contas do Estado; organizar a relação dos suplentes de vereadores; apostilar os títulos de nomeação dos servidores, bem como os de posse dos vereadores; desempenhar outras funções que lhe forem regularmente atribuídas pela Chefia da Divisão de Administração, Recursos Humanos e Licitações.

                                                                                                                                Art. 46. À Seção de Licitação e Compras, órgão subordinado à Divisão de Finanças, Orçamento e Contabilidade, compete: a organização dos diplomas legais e normas aplicáveis a licitações e compras; o cadastro de fornecedores de bens e materiais e de prestadores de serviços; a elaboração dos instrumentos convocatórios de licitações; a instrução dos processos licitatórios; o acompanhamento e registro de preços praticados em relação a materiais e serviços; a elaboração das justificativas legais nos casos de dispensa e inexigibilidade de licitação; cumprir e fazer cumprir as determinações emanadas de suas respectivas chefias, bem como desempenhar outras funções que lhe forem regularmente atribuídas.

                                                                                                                                Art. 47. À Seção de Patrimônio e Almoxarifado, órgão diretamente subordinado à Divisão de Administração, Recursos Humanos e Licitações, compete: cumprir e fazer cumprir as determinações regulamentares emanadas da Chefia da Divisão; manter cadastro, registro e controle atualizados dos bens móveis e imóveis do Legislativo; promover a identificação de cada peça de bem móvel através de marcação constante de ordem numérica, que deverá corresponder ao registro geral em todas as suas características; proceder regularmente à verificação dos móveis, utensílios e maquinários, quanto à sua permanência nos órgãos para os quais estiverem carregados, corrigindo as irregularidades encontradas; proceder regularmente à verificação do estado de conservação, funcionamento e utilização dos móveis, máquinas e utensílios do Legislativo, providenciando, de imediato, perante a Diretoria Administrativa, as medidas que se fizerem necessárias para reparações ou substituições; elaborar, anualmente, uma relação detalhada dos bens patrimoniais do Legislativo, para ser encaminhada ao Tribunal de Contas do Estado, juntamente com a prestação de contas; zelar pela guarda e conservação do patrimônio do Legislativo, alertando, de imediato, a Diretoria Administrativa quando constatados fatos que ponham em risco sua integridade; manter rigorosamente atualizadas as fichas cadastrais do material permanente; propor à Diretoria Administrativa a alienação ou doação de bens patrimoniais da Casa; receber, cadastrar e fazer o acompanhamento mensal dos bens de consumo destinados às atividades institucionais, quanto à sua utilização e destinação; receber os bens permanentes adquiridos e/ou transferidos; exigir a devolução de materiais, quando fornecidos em caráter de substituição; promover aquisição de material, mediante solicitação, de conformidade com as normas vigentes; manter coordenação com os demais órgãos da Administração da Casa, para efeito de levantamento das necessidades de material de consumo ou de expediente; organizar, regularmente, relação do material necessário à reposição de estoque; desempenhar outras funções correlatas que lhe forem atribuídas pela Chefia da Divisão.

                                                                                                                                 

                                                                                                                                Art. 48. À Seção de Portaria, Vigilância e Segurança, órgão diretamente subordinado à Chefia da Divisão de Administração, Recursos Humanos e Licitações, compete o atendimento dos trabalhos de manutenção e controle da portaria; atendimento ao público, recepção, credenciamento, controle, frequência e encaminhamento de pessoas; recebimento, ordenação, classificação e encaminhamento de correspondências, jornais, revistas e publicações recebidos e a serem encaminhados; atendimento ao plenário e galeria de visitantes, aos gabinetes, repartições administrativas e garagens; controle e vigilância das dependências internas e externas do Legislativo; zelar pela ordem e segurança da Casa, sobretudo no decorrer das sessões; desempenhar outras funções que lhe forem regularmente atribuídas pela Chefia da Divisão; desenvolver outras atribuições correlatas.

                                                                                                                                Art. 49. Compete à Seção de Controle do Uso e da Manutenção de Veículos, órgão diretamente subordinado à Chefia da Divisão de Administração, Recursos Humanos e Licitações, as atribuições abaixo relacionadas,dentre outras correlatas, derivadas ou vinculadas à esfera de sua atuação: zelar pela manutenção, conservação e recuperação dos veículos do Poder Legislativo; responsabilizar-se pelo controle, guarda e uso adequado dos equipamentos, ferramentas, utensílios e demais produtos utilizados nos respectivos serviços; manter limpo e organizado o recinto do setor; requisitar o material necessário ao desempenho das atribuições do setor; manter contato com empresas prestadoras de serviços, com vistas à manutenção, conservação e recuperação dos veículos e demais equipamentos, ferramentas e utensílios utilizados nos respectivos serviços, sempre que solicitado pela respectiva chefia; controlar e fiscalizar a execução dos contratos celebrados pela Câmara, na área de sua competência, sob o aspecto do cumprimento dos serviços contratados; manter sistema de controle mensal do uso e da manutenção dos veículos, através de planilhas próprias e também de conformidade com outras determinações emanadas da respectiva chefia; elaborar e expedir relatório mensal quanto à utilização dos veículos do Poder Legislativo, discriminando, pormenorizadamente, os atendimentos realizados, os nomes dos vereadores, servidores ou setores atendidos, o motivo da utilização e sua duração, quilometragem percorrida, consumos de combustível, média de consumo, etc.; promover a lavratura de termos de ocorrência e, quando necessário, solicitar a abertura de procedimentos destinados a apurar responsabilidades quanto ao uso irregular e indevido dos veículos e danos eventualmente provocados nos mesmos, por parte de seus condutores ou usuários; designar, mediante termo específico, o motorista responsável por cada veículo; promover a identificação dos veículos do Poder Legislativo, nos termos da legislação pertinente; cumprir e fazer cumprir as determinações regularmente emanadas da respectiva chefia, bem como desempenhar outras funções que lhe forem legalmente atribuídas pelos superiores hierárquicos, observada sua área de competência.

                                                                                                                                Art. 50. Compete à Seção de Manutenção, órgão diretamente subordinado à Chefia da Divisão de Administração, Recursos Humanos e Licitações, sem prejuízo das atribuições específicas dos demais órgãos do Legislativo: zelar pela manutenção, conservação e recuperação do edifício do Poder Legislativo, de suas instalações, mobiliário e equipamentos, excetuados os bens e serviços em garantia, os que exijam mão-de-obra técnica ou especializada para sua recuperação e/ou aqueles que forem objeto de contratação específica por meio de licitação; responsabilizar-se pelo controle, guarda e uso adequado dos equipamentos, ferramentas, utensílios e produtos utilizados nos serviços da Câmara; manter limpo e organizado o recinto do setor; requisitar o material necessário ao desempenho das atribuições do setor; manter contato com empresas prestadoras de serviços, com vistas à manutenção e conserto de máquinas, móveis e equipamentos, sempre que solicitado; controlar e fiscalizar a execução dos contratos celebrados pela Câmara, na área de sua competência, sob o aspecto do cumprimento dos serviços contratados, sempre que requisitado; manter sistema de controle da utilização do Plenário e das salas de reuniões da Câmara; hastear e arriar as bandeiras; realizar o deslocamento dos bens móveis e utensílios entre as dependências da Casa; cumprir e fazer cumprir as determinações emanadas de suas respectivas chefias, bem como desempenhar outras funções que lhe forem regularmente atribuídas pelos superiores hierárquicos, observada sua área de competência.

                                                                                                                                Art. 51. Ao Serviço de Copa e Limpeza, órgão diretamente subordinado à Chefia da Divisão de Administração, Recursos Humanos e Licitações, compete: as atividades de atendimento ao Plenário, Gabinetes e órgãos da Administração; atividades de controle do consumo e a responsabilidade da guarda dos materiais de limpeza e conservação colocados à disposição da unidade; limpeza e conservação dos móveis, utensílios e materiais vinculados às atividades institucionais da Câmara Municipal; desempenhar outras funções regulamentares que lhe forem atribuídas pela Chefia da Divisão.

                                                                                                                                Art. 52. Ao Serviço de Telefonia e Comunicações, órgão diretamente subordinado à Chefia da Divisão de Administração, Recursos Humanos e Licitações, compete: o atendimento à central telefônica; o atendimento ao sistema de ramais, efetivação de ligações e transferências de chamadas; o atendimento, registro e controle de ligações e chamadas interurbanas; o atendimento ao sistema de fac-símile; a expedição, recebimento e encaminhamento de fac-símiles; o cadastramento e controle da agenda telefônica e de fac-símile; desempenhar outras funções regulamentares que lhe forem atribuídas pela Chefia da Divisão.

                                                                                                                                Art. 53. À Divisão de Finanças, Orçamento e Contabilidade compete cumprir e fazer cumprir as determinações regulamentares emanadas da Diretoria Administrativa; efetuar o controle contábil, mediante escrituração dos atos e fatos referentes a seu patrimônio, variação das dotações orçamentárias, despesas e todos os demais atos sujeitos à contabilização; proceder aos lançamentos contábeis da documentação, em conformidade com o plano de contabilidade previamente aprovado; elaborar, com os elementos fornecidos pelas Diretorias, a proposta orçamentária da Câmara Municipal de Maringá a ser encaminhada ao Executivo Municipal, no prazo previsto em lei; elaborar, mensalmente, balancetes e demonstrativos; elaborar, mensalmente, o balancete financeiro a ser encaminhado ao Tribunal de Contas do Estado; elaborar a prestação de contas a ser encaminhada ao Executivo Municipal para posterior envio ao TCE, anualmente, com todos os documentos exigidos, dentro dos prazos legais; manter controle sobre o saldo das dotações orçamentárias, consignações ou subconsignações; atestar a identidade entre a fatura e a nota fiscal de fornecedores, referentes a aquisições feitas pela Divisão de Administração, Recursos Humanos e Licitações; elaborar o empenho prévio das despesas e ordens de pagamento; efetuar conta corrente atualizada dos devedores temporários da Câmara Municipal, por adiantamentos concedidos, através de Portaria, para pequenas despesas, de modo a assegurar com exatidão os adiantamentos de cada funcionário ou Vereador; organizar as prestações de contas, bem como a documentação necessária à comprovação das despesas da Câmara Municipal; fornecer elementos para a abertura de créditos adicionais; emitir parecer, quando solicitado pela Mesa Executiva, sobre a proposta do Orçamento-Programa do Município e do Plano Plurianual de Investimentos e outros de natureza orçamentária; emitir parecer, quando solicitado, sobre a prestação de contas do Município, após o Parecer Prévio ou Acórdão do Tribunal de Contas do Estado; desempenhar outras funções que lhe forem atribuídas pela Diretoria Administrativa.

                                                                                                                                Art. 54. À Seção de Tesouraria e Caixa, órgão diretamente subordinado à Divisão de Finanças, Orçamento e Contabilidade, compete: cumprir e fazer cumprir as determinações emanadas da Chefia da Divisão; registrar o recebimento, quando autorizado, do duodécimo da Câmara Municipal; efetuar o pagamento de despesas, quando regularmente processadas e autorizadas; manter registro em livro caixa do movimento referente às entradas e saídas de numerário; remeter, à Seção de Finanças, Orçamento e Contabilidade, uma via dos registros efetuados no livro caixa, juntamente com a documentação da despesa, quando paga; efetuar entrega, mediante recibo, de numerário, quando devidamente autorizada; efetuar depósitos e retiradas bancárias dos valores em poder da Câmara Municipal; manter registro de procurações para fins de pagamento; manter controle bancário, com a conferência mensal dos extratos bancários; desempenhar outras funções que lhe forem regularmente atribuídas pela Divisão de Finanças, Orçamento e Contabilidade.

                                                                                                                                Art. 55. À Seção de Finanças, Orçamento e Contabilidade, órgão diretamente subordinado à Divisão de Finanças, Orçamento e Contabilidade, compete: cumprir e fazer cumprir as determinações regulamentares emanadas da Chefia da Divisão; efetuar o controle contábil, mediante escrituração dos atos e fatos referentes a seu patrimônio, variação das dotações orçamentárias, despesas e todos os demais atos sujeitos à contabilização; proceder aos lançamentos contábeis da documentação, em conformidade com o plano de contabilidade previamente aprovado; elaborar, com os elementos fornecidos pelas Divisões, a proposta orçamentária da Câmara Municipal de Maringá a ser encaminhada ao Executivo Municipal, no prazo previsto em lei; elaborar, mensalmente, balancetes e demonstrativos; elaborar, mensalmente, o balancete financeiro a ser encaminhado ao Tribunal de Contas do Estado; elaborar a prestação de contas a ser encaminhada ao Executivo Municipal para posterior envio ao TCE, anualmente, com todos os documentos exigidos, dentro dos prazos legais; manter controle sobre o saldo das dotações orçamentárias, consignações ou subconsignações; atestar a identidade entre a fatura e a nota fiscal de fornecedores, referentes a aquisições feitas pela Seção de Licitações e Compras; elaborar o empenho prévio das despesas e ordens de pagamento; efetuar conta corrente atualizada dos devedores temporários da Câmara Municipal, por adiantamentos concedidos, através de Portaria, para pequenas despesas, de modo a assegurar com exatidão os adiantamentos de cada funcionário ou Vereador; organizar as prestações de contas, bem como a documentação necessária à comprovação das despesas da Câmara Municipal; fornecer elementos para a abertura de créditos adicionais; emitir parecer, quando solicitado pela Mesa Executiva, sobre a proposta do Orçamento-Programa do Município e do Plano Plurianual de Investimentos e outros de natureza orçamentária; emitir parecer, quando solicitado, sobre a prestação de contas do Município, após o Parecer Prévio ou Acórdão do Tribunal de Contas do Estado; desempenhar outras funções que lhe forem regularmente atribuídas pela Chefia da Divisão de Finanças, Orçamento e Contabilidade.

                                                                                                                                Art. 56. À Divisão de Tecnologia da Informação compete cumprir e fazer cumprir as determinações regulamentares emanadas da Diretoria Administrativa; coordenar todo o sistema de processamento de dados da Câmara Municipal; articular com os demais órgãos da Administração a melhor utilização dos equipamentos; programar a execução dos serviços necessários à modernização do sistema; acompanhar a implantação de todos os sistemas programados; apresentar estudos para melhoria do sistema, quando for o caso; adotar sistema de segurança adequado para a guarda dos arquivos, para evitar a sua violação ou qualquer ação que possa prejudicá-los; manter atualizados os dados disponíveis; realizar estudos de viabilidade técnico-econômica sobre a utilização de softwares e equipamentos, emitindo parecer quanto à conveniência de sua aquisição; executar e coordenar a confecção de normas e procedimentos para utilização dos softwares instalados; pesquisar todos os recursos dos equipamentos, proporcionando um suporte técnico e treinamento da equipe da Divisão de Tecnologia da Informação, visando à otimização e racionalização de sistemas em desenvolvimento e produção; sanar as dúvidas de quaisquer setores técnicos, quando solicitado; interagir nas áreas de desenvolvimento e produção, visando detectar problemas e dificuldades e propondo solução no sentido de obter melhor aproveitamento de equipamentos e recursos humanos; proporcionar esquemas de backup’s eficientes, bem como esquemas de recuperação e segurança, em caso de falhas operacionais e sinistros; oferecer treinamento e reciclagem aos servidores usuários do sistema; supervisionar os serviços de implantação, atualização, supervisão e manutenção da rede do sistema, bancos de dados e arquivos, dentre outros serviços de suporte técnico e de supervisão; estabelecer intercâmbios, com órgãos de pesquisa ou detentores de informações, que possam ser de interesse da Câmara Municipal; desempenhar outras funções que lhe forem regularmente atribuídas.

                                                                                                                                Art. 57. À Seção de Processamento de Dados, subordinada diretamente à Divisão de Tecnologia da Informação, compete: cumprir e fazer cumprir as determinações emanadas da Chefia da Divisão; executar os serviços de implantação, atualização, supervisão e manutenção da rede do sistema, bancos de dados e arquivos, dentre outros serviços de suporte técnico e de supervisão; zelar pelo cumprimento dos objetivos regulamentares da Divisão; desempenhar outras funções que lhe forem regularmente atribuídas, no âmbito de sua atuação e competência.

                                                                                                                                Art. 58. Compete à Seção de Suporte Técnico e Manutenção, subordinada diretamente à Divisão de Tecnologia da Informação: prestar suporte técnico aos usuários dos microcomputadores; detectar e solucionar falhas nos equipamentos de informática; substituir peças defeituosas dos microcomputadores; reinstalar, nos microcomputadores, sistema operacional ou qualquer outro sistema computacional que não esteja funcionando adequadamente; encaminhar a empresa de assistência técnica competente os equipamentos que necessitarem de reparos que não possam ser realizados no próprio local; preparar dispositivos para cópia de segurança dos dados armazenados nos microcomputadores e “servidores de dados”; proceder à cópia de segurança dos dados armazenados nos “servidores de dados”; manter cadastro atualizado das manutenções realizadas nos microcomputadores; desempenhar outras funções correlatas.

                                                                                                                                Art. 59. Além das disposições já enunciadas, são obrigações comuns aos Diretores: coordenar a escala de férias dos funcionários lotados na respectiva unidade; comunicar à Divisão responsável por tal controle a efetividade dos funcionários; providenciar a requisição de materiais, equipamentos e utensílios necessários ao regular funcionamento da repartição; elaborar relatório anual das atividades, sempre que requisitado.

                                                                                                                                Art. 60. Compete às Chefias de Divisão, em caráter geral: dirigir, orientar e fiscalizar as atividades desenvolvidas pelos respectivos órgãos, bem como pelas seções que lhes são subordinadas; proceder a estudos e sugerir medidas que visem ao aprimoramento dos trabalhos atinentes às unidades que dirigem; requisitar da seção de patrimônio e almoxarifado o material necessário ao trabalho do órgão que dirige; zelar pela conservação dos bens patrimoniais da Câmara Municipal sob sua responsabilidade; despachar com a diretoria hierarquicamente superior; elaborar relatórios mensais e anuais das atividades desenvolvidas pelos órgãos que dirigem; encaminhar os elementos necessários à elaboração da proposta orçamentária, com relação ao órgão que dirige, para a Divisão de Finanças, Orçamento e Contabilidade; dar informações em processos legislativos, quando solicitado; julgar justificadas ou não as faltas ao trabalho dos servidores, podendo abonar até três (03) por mês, quando se tratar de atraso na entrada ou saída do expediente; executar outras tarefas que lhe sejam regularmente atribuídas.

                                                                                                                                 

                                                                                                                                Art.61. Compete às Chefias de Seção e de Serviço, em caráter geral, cumprir e fazer cumprir as determinações superiores e as disposições referentes à unidade, desempenhando as atribuições que lhe são conferidas; supervisionar os trabalhos da unidade, dirigindo e coordenando as atividades desenvolvidas, bem como estabelecendo os devidos controles sobre a eficiência dos aspectos operacionais relativos à execução das tarefas e à eficácia dos resultados do trabalho geral da Seção ou Serviço, tendo em vista, sempre, a consecução dos seus objetivos, representados pelo conjunto de suas funções.

                                                                                                                                Art. 62. As disposições contrárias ficam revogadas.

                                                                                                                                 

                                                                                                                                Plenário Vereador Ulisses Bruder, 18 de novembro de 2011.

                                                                                                                                 

                                                                                                                                 

                                                                                                                                MÁRIO HOSSOKAWA

                                                                                                                                Presidente

                                                                                                                                Alteração feita pelo Artigo - Lei Ordinária nº 9.103, de 01 de dezembro de 2011.

                                                                                                                                   

                                                                                                                                  REGULAMENTO DAS FUNÇÕES E ATRIBUIÇÕES DOS ÓRGÃOS, DOS CARGOS DE PROVIMENTO EM COMISSÃO E DAS FUNÇÕES GRATIFICADAS DA CÂMARA MUNICIPAL DE MARINGÁ

                                                                                                                                   

                                                                                                                                  Art. 1.º Este Regulamento estabelece as funções e atribuições dos órgãos, dos cargos de provimento em comissão e das funções gratificadas da Câmara Municipal de Maringá.

                                                                                                                                   Art. 2.º Os cargos de provimento em comissão e as funções gratificadas da Câmara Municipal de Maringá, observadas as disposições desta Lei, são de livre nomeação e exoneração do Presidente da Câmara e se destinam às atividades de assessoramento, direção e chefia do Poder Legislativo.

                                                                                                                                  § 1.º Para atender interesse do Legislativo, o horário de trabalho dos ocupantes de cargos de provimento em comissão poderá ser flexibilizado, para ajustar-se às necessidades dos seus vários organismos, mediante prévia decisão do Presidente da Casa, respeitada a jornada diária correspondente.

                                                                                                                                  § 2.º Além das atribuições específicas de cada um, são obrigações comuns a todos os ocupantes de cargos ou funções: observar e fazer observar no âmbito da repartição e no exercício do múnus público os direitos e deveres inerentes ao cargo ou função; utilizar, operar e administrar diligentemente os serviços, móveis e equipamentos da repartição; desempenhar outras atividades meio necessárias ao cumprimento de suas atribuições, bem assim outras que lhe forem regularmente atribuídas pela autoridade responsável, relacionadas ao exercício do mandato parlamentar e aos objetivos institucionais do Legislativo.

                                                                                                                                  Art. 3.º São órgãos da Câmara Municipal de Maringá:

                                                                                                                                  1. Mesa Executiva;

                                                                                                                                  2. Gabinete da Presidência;

                                                                                                                                  3. Controladoria Interna;

                                                                                                                                  4. Coordenadoria de Comunicação Social;

                                                                                                                                  5. Procuradoria Jurídica;

                                                                                                                                  6. Gabinetes dos Vereadores;

                                                                                                                                  7. Gabinete da Primeira Secretaria;

                                                                                                                                  8. Diretoria Geral;

                                                                                                                                  9. Diretoria Legislativa;

                                                                                                                                  10. Diretoria Administrativa.

                                                                                                                                   

                                                                                                                                  MESA EXECUTIVA

                                                                                                                                   

                                                                                                                                  Art. 4.º A Mesa Executiva tem a composição determinada pela Lei Orgânica do Município e pelo Regimento Interno da Câmara.

                                                                                                                                  Art. 5.º As atribuições da Mesa Executiva da Câmara Municipal são as definidas na Lei Orgânica do Município, no Regimento Interno e na legislação que disciplina a estruturação orgânico-administrativa da Casa.

                                                                                                                                  Art. 6.º O Presidente é o representante da Câmara, judicial ou extrajudicialmente, competindo-lhe dirigir seus trabalhos legislativos e serviços administrativos, bem como fiscalizar sua ordem e disciplina.

                                                                                                                                  Art. 7.º Compete ao Primeiro-Secretário, sob a orientação do Presidente, superintender os serviços administrativos da Casa.

                                                                                                                                   

                                                                                                                                  GABINETE DA PRESIDÊNCIA

                                                                                                                                   

                                                                                                                                  Art. 8.º Ao Gabinete da Presidência, dirigido por ele próprio, com auxílio de seu Chefe de Gabinete e demais componentes do seu staff político-administrativo, compete a assistência e o encaminhamento dos assuntos do interesse da Presidência; organizar e dirigir a realização das audiências; a expedição e a recepção das correspondências do Gabinete e o desempenho das demais funções burocráticas, a critério da Presidência, e as funções de Representação do Poder Legislativo e de Administração da Casa.

                                                                                                                                  Art. 9.º O Chefe de Gabinete tem como atribuições, em síntese: a direção, orientação, controle, promoção e fiscalização das atividades inerentes ao Gabinete da Presidência; a manutenção do controle dos expedientes em tramitação no Gabinete; o recebimento, a distribuição e o encaminhamento de correspondência, ordens de serviços e demais trabalhos para execução; a supervisão da devida ordem no arquivo da Presidência; o encaminhamento ao protocolo, para distribuição, da documentação devidamente despachada; a recepção de autoridades e demais convidados e respectiva condução ao Presidente, sobretudo quando da realização de atos solenes.

                                                                                                                                   

                                                                                                                                  CONTROLADORIA INTERNA

                                                                                                                                   

                                                                                                                                  Art. 10. A Controladoria Interna, vinculada ao Presidente da Câmara, tem como atribuições a execução, com autonomia, das funções de controle interno, nos termos da legislação municipal, estadual e federal aplicável, a elaboração e manutenção de manuais de procedimentos, a elaboração do programa permanente de auditagem e a correição interna.

                                                                                                                                  Art. 11. O Controlador Interno tem as atribuições de fazer com que se efetive o controle interno das atividades da Câmara Municipal, cumprindo e fazendo cumprir a respectiva legislação federal, estadual e municipal, para o que receberá a cooperação e a colaboração devida de todas as repartições, seus titulares e servidores, tendo atendidas suas solicitações e determinações em caráter de precedência sobre as demais; assinar, juntamente com o Presidente, a Mesa Executiva e o Diretor Administrativo, o relatório das contas do Legislativo a ser enviado ao Tribunal de Contas, no que se refere à Lei de Responsabilidade Fiscal; na forma do estatuído pelo artigo 118 da Lei Orgânica do Município e artigo 215 do Regimento Interno da Câmara Municipal, promover a integração dos serviços de controle interno do Poder Legislativo com os serviços de controle interno do Poder Executivo; desenvolver as funções de controle interno na integralidade dos atos da Câmara Municipal, sejam de responsabilidade da Presidência, de todos os demais organismos da Casa, sejam de responsabilidade dos integrantes de seu funcionalismo, efetivos ou comissionados, e até de eventuais voluntários, na forma da lei; firmar documentos precedentemente ao Diretor Geral e ao Presidente, quando for o caso; dirigir a elaboração e a manutenção de manuais de procedimentos, ouvida a Mesa Executiva; fixar a programação permanente de auditagem e correição interna; pronunciar-se sobre os relatórios das atividades de controle interno; prestar informações do desenvolvimento dos trabalhos de controle interno ao Presidente, à Mesa Executiva e ao Diretor Geral, quando solicitado; o exercício de funções correlatas.

                                                                                                                                  Art. 12. O servidor responsável pelo Sistema de Controle Interno do Poder Legislativo guardará sigilo sobre dados e informações de que tiver conhecimento no exercício de suas funções, utilizando-os, exclusivamente, para a elaboração de pareceres e relatórios destinados à autoridade competente, sob pena de responsabilidade.

                                                                                                                                  Parágrafo único. O responsável pelo controle, ao tomar conhecimento de qualquer irregularidade ou ilegalidade, dela dará ciência imediata ao Presidente da Câmara Municipal.

                                                                                                                                   

                                                                                                                                  COORDENADORIA DE COMUNICAÇÃO SOCIAL

                                                                                                                                   

                                                                                                                                  Art. 13. A Coordenadoria de Comunicação Social, vinculada diretamente ao Presidente, tem como atribuições: o planejamento e a execução da política de comunicação; o estabelecimento de estratégias para a valorização do Poder Legislativo; a divulgação ampla e irrestrita das atividades da Câmara Municipal, dos seus organismos e dos Vereadores, com o objetivo de informar, educar e orientar a população; a coordenação do planejamento e da realização de campanhas publicitárias institucionais; a atividade cerimonial protocolar, nas atividades em que se fizer necessária; a formação, alimentação e manutenção do acervo multimídia na internet, garantindo à população o acesso ao mesmo.

                                                                                                                                  Art. 14.O Coordenador de Comunicação Social tem como atribuições: a coordenação da execução das atribuições de sua unidade; a participação na análise política dos fatos de interesse da Câmara Municipal; de conformidade com as instruções do Presidente e do Diretor Geral, chefiar, supervisionar e coordenar a divulgação das atividades da Câmara Municipal, dos seus organismos e dos Vereadores; a composição de programa de execução dessas atribuições e de controle das mesmas; a composição da pauta de trabalho, otimizando as atividades dos servidores integrantes de sua Coordenadoria; junto aos mesmos, o fomento da produção de noticiário para ser veiculado em todos os meios de veiculação; a orientação, seleção e crítica do material produzido; a direção na distribuição de textos, fotos e releases aos meios de comunicação de massa; aprovar a programação dos serviços fotográficos; fazer com que seja capturado em todas as formas de comunicação todo o registro das atividades da Coordenadoria, da Câmara em geral, dos Vereadores, ou aquelas veiculadas nos meios de comunicação televisada, irradiada, escrita e pela internet, para fins de composição do acervo multimídia; opinar e decidir com as autoridades superiores sobre a produção e a edição de publicações, programação de mídia impressa ou não; coordenar a produção de material gráfico de apoio a eventos e campanhas institucionais; o fornecimento, no momento oportuno, ao Diretor Geral, dos elementos necessários à composição da escala de férias; o estabelecimento e a manutenção de diretrizes necessárias ao fomento, manutenção e utilização do acervo multimídia; a autorização de solicitação de materiais, bens e serviços necessários à Coordenadoria; executar atividades correlatas.

                                                                                                                                  Art. 15. ÀSeção TV Câmara,órgão diretamente subordinado à Coordenadoria de Comunicação Social, compete: cumprir e fazer cumprir as determinações regularmente emanadas da Coordenadoria de Comunicação Social; desenvolver as atividades relacionadas à TV Câmara, cooperando para a execução da política de comunicação adotada pelo Poder Legislativo e a observância da legislação pertinente; colaborar na definição de estratégias e ações que visem à ampla divulgação das atividades legislativas, como forma de valorização institucional da Câmara; acompanhar as atividades de planejamento e obtenção dos elementos necessários à produção dos programas, bem como as operações relativas à execução dos programas; acompanhar e informar à respectiva chefia a repercussão da programação veiculada pela TV Câmara junto aos órgãos de imprensa e à população em geral; executar outras atividades correlatas.

                                                                                                                                   

                                                                                                                                  PROCURADORIA JURÍDICA

                                                                                                                                   

                                                                                                                                  Art. 16. A Procuradoria Jurídica, órgão vinculado ao Presidente da Casa, tem como atribuições a representação em qualquer foro ou instância da Câmara Municipal, nos feitos de que ela participe; o estudo e as providências alusivas à declaração de inconstitucionalidade; a participação na análise de temas políticos; apreciação de propostas de alteração de entendimentos de natureza jurídica, dos recursos ao Plenário, dos Recursos de Revista e/ou outros questionamentos; a manifestação nas propostas de adoção de precedentes firmados na aplicação do Regimento Interno; a promoção, direta ou indireta, do assessoramento às Comissões Especiais de Estudos, Comissões Parlamentares de Inquérito, Comissões Processantes, à Presidência, aos organismos da Casa e aos Vereadores.

                                                                                                                                  Art. 17. O Procurador Jurídico tem como atribuições: a representação em qualquer foro ou instância da Câmara Municipal, nos feitos que ela integre, inclusive em mandado de segurança proposto contra ocupantes de cargos da Mesa; o estudo e as providências alusivas à declaração de inconstitucionalidade; a participação na análise de temas políticos; estudar e minutar contratos, termos de compromisso e responsabilidade, convênios e outros atos; emitir pareceres singulares ou relatar pareceres coletivos; responder a consulta sobre interpretação de textos legais de interesse da Câmara Municipal; apreciação de propostas de alteração de entendimentos de natureza jurídica formulados pelos advogados, dos recursos ao Plenário, dos Recursos de Revista e/ou outros questionamentos; a manifestação nas propostas de adoção de precedentes firmados quanto à aplicação do Regimento Interno; o assessoramento, direto ou indireto, de Comissões Especiais de Estudos, Comissões Parlamentares de Inquérito, Comissões Processantes, da Presidência, dos organismos da Casa e dos Vereadores; o esclarecimento ao Plenário, à Mesa Executiva, aos Vereadores e aos organismos da Casa das dúvidas remanescentes; a supervisão das atividades da Procuradoria; a manifestação nos relatórios de comissões, audiências públicas, seminários, simpósios e de grupos de trabalho; a composição da escala de férias; dirigir equipes auxiliares no âmbito das atividades próprias do cargo; a execução de atividades correlatas.

                                                                                                                                  Art. 18. À Seção de Acompanhamento e Processamento de Feitos Judiciais e Administrativos, subordinada diretamente à Procuradoria Jurídica, compete: cumprir e fazer cumprir as determinações emanadas do Procurador Jurídico; fazer-se constituir em todos os processos administrativos ou judiciais em que a Câmara Municipal de Maringá figurar como parte ou interessada; assinar em conjunto e sob orientação do Procurador Jurídico todas as peças processuais judiciais a serem protocoladas; acompanhar o andamento e as intimações de todos os processos judiciais e administrativos nos quais a Câmara Municipal de Maringá seja parte ou interessada; receber e organizar as publicações oriundas de processos judiciais e administrativos, informando e relatando os prazos existentes; zelar pelo cumprimento dos prazos processuais em aberto; proceder a todas as medidas que se fizerem necessárias ao cumprimento dos prazos e acompanhamento dos processos; providenciar os protocolos e diligências cabíveis, inclusive em situações de processos que tramitam fora da Comarca; consultar os processos indicados pelo Procurador, com a frequência solicitada; elaborar relatórios periódicos sobre o andamento dos feitos; sugerir a adoção de medidas para o melhor andamento dos processos; manter os arquivos dos processos judiciais e administrativos sob sua guarda, responsabilidade e em ordem, conforme as orientações do Procurador; desempenhar outras funções que lhe forem regularmente atribuídas no âmbito de sua atuação e competência.

                                                                                                                                   

                                                                                                                                  GABINETES DOS VEREADORES

                                                                                                                                   

                                                                                                                                  Art. 19. Aos Gabinetes dos Vereadores, dirigidos por eles próprios, com auxílio de seus Chefes de Gabinete e demais assessores, compete o auxílio, a assistência e o encaminhamento dos assuntos gerais de interesse dos Gabinetes; a organização e a direção das audiências dos Vereadores; a preparação e a expedição das correspondências; o registro e o encaminhamento, para divulgação, dos atos do titular do Gabinete; a elaboração de proposições de iniciativa dos Vereadores, com as respectivas justificativas; e o desempenho de outros serviços burocráticos, a critério dos Vereadores, e das demais atividades correlatas.

                                                                                                                                  Art. 20. São atribuições do Chefe de Gabinete: desempenhar funções internas e externas; prestar assessoramento e aconselhamento ao Vereador junto ao qual exerce as atribuições de seu cargo; realizar estudos e pesquisas para subsidiar assessoramento no exame de proposições e expedientes em geral que passem pela apreciação do Vereador; efetuar e elaborar trabalhos relacionados com o serviço e a assistência às bases, de interesse do Vereador; sugerir assuntos e temas para pronunciamento do Vereador; exercer atividades de divulgação dos trabalhos realizados e relações públicas do Vereador; controlar a assiduidade e frequência ao trabalho dos assessores lotados no respectivo Gabinete, bem como as atividades por eles realizadas; supervisionar, coordenar e controlar as atividades diárias do Gabinete, promovendo o ajuste das atividades ao plano de ações, atividades e programas.

                                                                                                                                  Art. 21. São atribuições do Assessor Parlamentar: desempenhar funções internas e externas, segundo diretrizes e orientação superior; executar trabalhos de redação e resumo de acompanhamento de reuniões e comissões; auxiliar na realização de pesquisas, estudos e elaboração de informações de interesse do Gabinete; verificar e acompanhar a tramitação de assuntos junto a repartições públicas e órgãos da Câmara; responsabilizar-se pelo recebimento e encaminhamento de pareceres de comissões que o parlamentar integre; colaborar na organização de audiências públicas ou reuniões que devam ser promovidas pelo Vereador; elaborar os projetos de lei de iniciativa do Vereador e as respectivas justificativas.

                                                                                                                                  Art. 22. São atribuições do Assessor de Gabinete: desempenhar funções internas e externas, segundo diretrizes e orientação superior; efetuar serviços de recepção, redação, digitação, organização de arquivos e catalogação dos pedidos de informações e respectivas respostas; controlar prazos e diligenciar respostas às proposições, indicações e pedidos do Vereador; colaborar na agenda política do parlamentar; manter arquivo de documentos e papéis em caráter particular endereçados ao Vereador; expedir convites e anotar todas as providências necessárias ao assessoramento do parlamentar; promover o registro de nome e endereço completo de autoridades, lideranças e cidadãos de interesse do Vereador.

                                                                                                                                  Art. 23. Os ocupantes dos cargos a que se referem os artigos 20 a 22 deverão, preferencialmente, possuir o seguinte nível mínimo de escolaridade:

                                                                                                                                  I – Chefe de Gabinete: ensino superior;

                                                                                                                                  II – Assessor Parlamentar: ensino médio;

                                                                                                                                  III – Assessor de Gabinete: ensino médio.

                                                                                                                                  Art. 24. O controle de assiduidade e frequência ao trabalho dos assessores lotados no respectivo Gabinete, bem como das atividades por eles realizadas, será exercido pelo Chefe de Gabinete, sob a supervisão do Vereador.

                                                                                                                                  Parágrafo único. O controle de que trata o caput referente ao Chefe de Gabinete será exercido direta e exclusivamente pelo Vereador.

                                                                                                                                  Art. 25. As atividades externas realizadas pelos assessores lotados no respectivo Gabinete deverão ser controladas por meio de apresentação de justificativa própria, contendo data, horário, local, tempo de permanência e assunto tratado, que deverá ser validada pelo Chefe de Gabinete e entregue ao setor de Administração e Recursos Humanos, com a anuência do Vereador, no prazo de até 3 (três) dias úteis da ocorrência, para fins de justificação de ausência do servidor do local de trabalho.

                                                                                                                                  Art. 26. Todas as atividades do Gabinete serão de responsabilidade exclusiva do Vereador, inclusive aquelas realizadas em expediente externo, observadas as disposições legais.

                                                                                                                                   

                                                                                                                                  GABINETE DA PRIMEIRA SECRETARIA

                                                                                                                                   

                                                                                                                                  Art. 27. O Gabinete da Primeira Secretaria tem as atribuições determinadas pela Lei Orgânica e pelo Regimento Interno da Casa, destacando-se a superintendência dos serviços administrativos da Casa, sob a orientação do Presidente.

                                                                                                                                  Art. 28. O Assessor de Gabinete da Primeira Secretaria tem como atribuições: a direção, orientação, controle, promoção e fiscalização das atividades inerentes ao Gabinete do Primeiro-Secretário; a manutenção do controle dos expedientes em tramitação no Gabinete; o recebimento, a distribuição e o encaminhamento de correspondências, ordens de serviços e demais trabalhos para execução; a supervisão da devida ordem no arquivo geral da Primeira Secretaria; o encaminhamento ao protocolo, para distribuição, da documentação devidamente despachada; a recepção de autoridades e demais convidados e respectiva condução ao Primeiro-Secretário, sobretudo quando da realização de atos solenes; assessorar o Primeiro-Secretário nas ações de superintendência dos serviços administrativos da Casa, cumprindo a programação de trabalho estabelecida; diligenciar o andamento dos projetos, indicações e requerimentos nas Comissões, com vistas a manter o Primeiro-Secretário apto a responder a consultas relativas à composição da Ordem do Dia das sessões; diligenciar informações sobre ações e medidas com vistas a manter o Primeiro-Secretário apto a discutir e analisar o andamento administrativo da Casa; organizar e dirigir as audiências; auxiliar, assistir e encaminhar os assuntos gerais de interesse do Gabinete; analisar a documentação destinada à assinatura do Primeiro-Secretário, orientando-o sobre os precedentes e rotinas estabelecidas; manter controle dos expedientes, papéis e demais documentos em tramitação no Gabinete; realizar os serviços pertinentes à Primeira Secretaria, à agenda e ao atendimento ao público; sugerir pronunciamentos sobre matérias em tramitação no Legislativo ou sobre acontecimentos que afetem a vida da comunidade; encaminhar demandas e retornar aos cidadãos as medidas resolutivas ou respostas a suas solicitações; agendar e organizar reuniões e debates e assessorar o Primeiro-Secretário em suas relações institucionais com os demais órgãos da Câmara Municipal e no relacionamento político-administrativo com os munícipes, órgãos e entidades públicas e privadas, associações de classe, entidades, organismos estaduais e federais; realizar contatos com autoridades públicas; representar o Primeiro-Secretário em reuniões e eventos, sempre que assim determinado pelo mesmo; sugerir encaminhamentos e pautas políticas; o registro e encaminhamento, para divulgação, dos atos do titular do Gabinete; executar tarefas correlatas.

                                                                                                                                   

                                                                                                                                  DIRETORIA GERAL

                                                                                                                                   

                                                                                                                                  Art. 29. A Diretoria Geral, vinculada diretamente ao Presidente da Casa, tem como atribuições: a discussão de temas políticos; proporcionar e garantir os serviços administrativos, legislativos, de apoio e de ação comum à Câmara, Plenário, Mesa Executiva, Presidência, Comissões Permanentes, Comissões Temporárias, Grupos de Trabalho, Frentes Parlamentares, Audiências Públicas, Vereadores e demais organismos; conduzir, de acordo com as determinações superiores, o exercício das atividades institucionais da Casa e o atendimento público, zelando para que tais procedimentos assegurem o eficiente funcionamento do Legislativo.

                                                                                                                                  Art. 30. O Diretor Geral tem como atribuições: programar, supervisionar, dirigir, coordenar, orientar e controlar a execução de todos os serviços legislativos e administrativos da Câmara Municipal; autorizar a expedição e assinar as certidões requeridas; assinar os processos de pagamento das despesas da Câmara e encaminhar à Presidência para a competente autorização e pagamento; dar posse a todos os servidores efetivos e comissionados da Câmara Municipal, mediante termo em livro próprio; conhecer de todo expediente oriundo das Diretorias; assinar ofícios, atestados, certidões, editais e outros documentos da Câmara Municipal; expedir ordens de serviços e demais atos necessários à execução dos trabalhos da Câmara Municipal, conforme instruções e decisões da Presidência; julgar justificadas ou não faltas ao serviço dos servidores, de acordo com a legislação vigente; autorizar a lotação do pessoal da Câmara Municipal; emitir despachos em processos cuja decisão caiba à autoridade superior; emitir despachos decisórios em processos de sua competência; encaminhar à Mesa Executiva, até o dia 30 de janeiro, o relatório anual circunstanciado das atividades desenvolvidas pela Câmara Municipal; propor medidas à Mesa Executiva que visem a facilitar os serviços da Câmara Municipal; apreciar e encaminhar os relatórios mensais e anuais apresentados pelos órgãos da Câmara Municipal e elaborar um relatório geral para a Mesa Executiva e a Presidência; despachar o expediente com o Presidente da Câmara Municipal; promover reuniões com os Diretores e Chefes das Divisões e Seções, para tratar de assuntos relacionados com os serviços da Câmara; comunicar-se com outras repartições públicas, sempre que necessário, para a resolução de assuntos de interesse da Câmara; assinar os cheques em geral, juntamente com o Presidente ou outro membro da Mesa Executiva autorizado; conservar e zelar pelos bens patrimoniais da Câmara Municipal, sob sua responsabilidade e guarda; prestar esclarecimentos em Plenário, quando solicitado; assessorar a Mesa Executiva nos atos e decisões de serviços da Câmara Municipal; assessorar a Mesa e os Vereadores em matéria de sua competência; autorizar a prestação de serviços extraordinários por parte dos servidores da Câmara, ouvidos os respectivos superiores; superintender, direta ou indiretamente, a fiscalização da execução dos contratos celebrados pela Câmara Municipal; fixar, por ato administrativo, a escala anual de férias dos servidores, ouvindo os respectivos superiores; encaminhar à Diretoria Administrativa, por intermédio da Divisão de Finanças, Orçamento e Contabilidade, a elaboração da proposta orçamentária da Câmara, devidamente aprovada pela Mesa Executiva; desempenhar outras funções correlatas.

                                                                                                                                  Art. 31. Compete à Divisão de Protocolo Geral, Expediente e Cerimonial Protocolar da Câmara Municipal, subordinada diretamente à Diretoria Geral: a manutenção do protocolo geral do expediente; a remessa, recebimento, triagem e distribuição da correspondência externa e interna, conforme determinação superior; os serviços de mensageiro; protocolizar, em livro próprio, as solicitações de serviços dos Vereadores, efetuando sua triagem e encaminhamento aos setores responsáveis; elaborar a súmula do expediente recebido, para fins de leitura em plenário; coletar as assinaturas dos Vereadores no livro de presença à sessão; remeter à publicação, mediante protocolo, todos os atos e demais matérias sujeitas a esta finalidade; distribuir, mediante protocolo, relatórios e outros documentos; executar os serviços de cerimonial em geral, bem assim a recepção de autoridades, convidados e visitantes oficiais; organizar o calendário de eventos da Câmara; elaborar e encaminhar convites para solenidades oficiais do Legislativo; promover as relações sociais entre a Câmara e outros poderes e entidades; manter cadastro atualizado de autoridades, em nível municipal, estadual e federal; desempenhar outras atividades correlatas.

                                                                                                                                  Art. 32. A Chefia da Divisão de Protocolo Geral, Expediente e CerimonialProtocolar tem as atribuições de cumprir e fazer cumprir as atribuições da referida Divisão; de recepção e registro de todos os documentos apresentados para quaisquer fins ao Legislativo Municipal, a execução de seus registros de entrada e da completa tramitação e o apontamento do arquivo respectivo; assessorar na organização de solenidades e outros eventos promovidos pela Câmara; recepcionar autoridades e visitantes em geral, de acordo com as normas protocolares; redigir e digitar correspondências, convites, cartões e outros documentos referentes ao Cerimonial; elaborar roteiros de atos solenes e de audiências públicas; proceder à divulgação de informações institucionais via Internet; executar outras atividades correlatas, a critério do superior imediato.

                                                                                                                                  Art. 33. À Divisão de Tecnologia da Informação compete cumprir e fazer cumprir as determinações regulamentares emanadas da Diretoria Geral; coordenar todo o sistema de processamento de dados da Câmara Municipal; articular com os demais órgãos da Administração a melhor utilização dos equipamentos; programar a execução dos serviços necessários à modernização do sistema; acompanhar a implantação de todos os sistemas programados; apresentar estudos para melhoria do sistema, quando for o caso; adotar sistema de segurança adequado para a guarda dos arquivos, para evitar a sua violação ou qualquer ação que possa prejudicá-los; manter atualizados os dados disponíveis; realizar estudos de viabilidade técnico-econômica sobre a utilização de softwares e equipamentos, emitindo parecer quanto à conveniência de sua aquisição; executar e coordenar a confecção de normas e procedimentos para utilização dos softwares instalados; pesquisar todos os recursos dos equipamentos, proporcionando um suporte técnico e treinamento da equipe da Divisão de Tecnologia da Informação, visando à otimização e racionalização de sistemas em desenvolvimento e produção; sanar as dúvidas de quaisquer setores técnicos, quando solicitado; interagir nas áreas de desenvolvimento e produção, visando detectar problemas e dificuldades e propondo solução no sentido de obter melhor aproveitamento de equipamentos e recursos humanos; proporcionar esquemas de backup’s eficientes, bem como esquemas de recuperação e segurança, em caso de falhas operacionais e sinistros; oferecer treinamento e reciclagem aos servidores usuários do sistema; supervisionar os serviços de implantação, atualização, supervisão e manutenção da rede do sistema, bancos de dados e arquivos, dentre outros serviços de suporte técnico e de supervisão; estabelecer intercâmbios, com órgãos de pesquisa ou detentores de informações, que possam ser de interesse da Câmara Municipal; desempenhar outras funções que lhe forem regularmente atribuídas.

                                                                                                                                  Art. 34. À Seção de Processamento de Dados, subordinada diretamente à Divisão de Tecnologia da Informação, compete: cumprir e fazer cumprir as determinações emanadas da Chefia da Divisão; executar os serviços de implantação, atualização, supervisão e manutenção da rede do sistema, bancos de dados e arquivos, dentre outros serviços de suporte técnico e de supervisão; zelar pelo cumprimento dos objetivos regulamentares da Divisão; desempenhar outras funções que lhe forem regularmente atribuídas, no âmbito de sua atuação e competência.

                                                                                                                                  Art. 35. Compete à Seção de Suporte Técnico e Manutenção, subordinada diretamente à Divisão de Tecnologia da Informação: prestar suporte técnico aos usuários dos microcomputadores; detectar e solucionar falhas nos equipamentos de informática; substituir peças defeituosas dos microcomputadores; reinstalar, nos microcomputadores, sistema operacional ou qualquer outro sistema computacional que não esteja funcionando adequadamente; encaminhar a empresa de assistência técnica competente os equipamentos que necessitarem de reparos que não possam ser realizados no próprio local; preparar dispositivos para cópia de segurança dos dados armazenados nos microcomputadores e “servidores de dados”; proceder à cópia de segurança dos dados armazenados nos “servidores de dados”; manter cadastro atualizado das manutenções realizadas nos microcomputadores; desempenhar outras funções correlatas.

                                                                                                                                   

                                                                                                                                   DIRETORIA LEGISLATIVA

                                                                                                                                  Art. 36. A Diretoria Legislativa, vinculada ao Diretor Geral, tem as atribuições de iniciar, desenvolver e concluir os processos de propostas de emenda à Lei Orgânica, de projetos de leis, decretos legislativos e resoluções para apreciação do Plenário; proporcionar e dirigir os trabalhos de apoio às Comissões Permanentes, às Comissões Temporárias e Grupos de Trabalho Administrativos; aprestar substitutivos, emendas, indicações e requerimentos em geral para serem apreciados pelo Plenário; compor a Ordem do Dia das sessões, conforme as instruções do Presidente da Câmara; implementar outras atividades voltadas à regularidade e eficácia da atividade legislativa.

                                                                                                                                  Art. 37. O Diretor Legislativo tem as atribuições de participar da análise dos fatos políticos; com o concurso da Divisão de Assistência Legislativa, orientar, coordenar e dirigir a formação, o desenvolvimento e a conclusão dos processos das propostas de leis, decretos legislativos e resoluções; o aprestamento de substitutivos, emendas, requerimentos em geral e indicações, submetendo-os à consideração do Presidente, para integrarem a pauta da Ordem do Dia das sessões; coordenar as funções de apoio às Comissões Permanentes, às Comissões Temporárias e Grupos de Trabalho Administrativos, das Seções de Processos Legislativos, de Redação, de Atas e Anais, de Comissões Permanentes e de Arquivo, Mecanografia e Informações; cumprir e fazer cumprir as determinações superiores; firmar os documentos expedidos pela Diretoria em favor dos demais organismos da Casa; assessorar o Presidente, a Mesa Executiva, as Comissões, os Vereadores e o Diretor Geral; executar tarefas correlatas.

                                                                                                                                  Art. 38. À Divisão de Assistência Legislativa compete desempenhar todos os passos do processo legislativo relativos à tramitação de propostas de emendas à Lei Orgânica do Município, de projetos de leis, de resolução e de decreto legislativo; elaborar a redação final dos projetos; controlar os prazos para sanção ou promulgação; manter o arquivo de leis, de emendas à Lei Orgânica do Município, de resoluções e de decretos legislativos com todos os documentos do processo legislativo do ano corrente; formatar o texto final de leis promulgadas, de emendas à Lei Orgânica do Município, de resoluções e de decretos legislativos, encaminhando-os para promulgação ao Órgão Oficial, com cópia para o Executivo; controlar o prazo para publicação e conferir o texto de atos legislativos no Órgão Oficial do Município; disponibilizar a íntegra de leis, de emendas à Lei Orgânica, de resoluções e de decretos legislativos na internet, com a formatação adequada para visualização; receber vetos aos projetos de leis, encaminhá-los para tramitação e controlar o prazo; manter arquivo auxiliar contendo documentos referentes às comissões, aos conselhos, aos comitês e aos órgãos criados por leis especiais com representação da Câmara (leis, decretos, ofícios e outros) e alimentar o respectivo cadastro no Sistema Informatizado (com controle de mandatos); apoiar a realização das sessões ordinárias, extraordinárias, solenes, secretas e especiais, elaborando as pautas, fornecendo todos os documentos necessários e/ou solicitados em Plenário, acompanhar à discussão das matérias, dar encaminhamento e alimentar o sistema informatizado de acordo com o despacho da Mesa; providenciar o controle de frequência dos vereadores e o respectivo relatório mensal; secretariar as comissões permanentes e temporárias (elaborar ofícios, relatórios, controlar o prazo destas e tomar outras providências que se fizerem necessárias); alimentar e manter atualizado, no sistema informatizado, o cadastro de Decretos do Executivo, da Legislatura, da Mesa Executiva, de Partidos, de Vereadores e de Comissões.

                                                                                                                                  Art. 39. À Seção de Processos Legislativos, órgão diretamente subordinado à Chefia da Divisão de Assistência Legislativa, compete: cumprir e fazer cumprir as determinações regularmente emanadas da Divisão de Assistência Legislativa; atender aos trabalhos nas sessões da Câmara Municipal;elaborar e digitar as proposições oficiais dos Vereadores e da Mesa Executiva; assessorar a Mesa Executiva, no decorrer das sessões da Câmara Municipal, sobre matéria técnico-legislativa; controlar as matérias em tramitação na Seção; controlar os prazos dos projetos de lei encaminhados pelo Executivo Municipal; apresentar à Mesa Executiva, por intermédio do Primeiro-Secretário, todos os papéis que tenham de ser presentes à Câmara Municipal ou de ser lidos, em resumo, no Expediente das Sessões; receber e dar destino conveniente, dentro das normas legais, a todos os documentos passados ou devolvidos à Mesa Executiva; elaborar a pauta da Ordem do Dia das Sessões; mandar extrair e distribuir avulsos das matérias dadas à Ordem do Dia; numerar e rubricar todos os projetos e processos em tramitação, sob esta responsabilidade; desempenhar outras funções que lhe forem atribuídas pela Mesa Executiva, Diretoria Geral e Diretoria Legislativa.

                                                                                                                                  Art. 40. À Seção de Redação, órgão subordinado diretamente à Chefia da Divisão de Assistência Legislativa, compete: cumprir e fazer cumprir as determinações regulamentares emanadas da respectiva chefia; digitar os autógrafos de Emendas à Lei Orgânica, projetos de lei, resoluções, decretos legislativos; redigir, revisar quanto à ortografia e digitar os expedientes oficiais, especialmente requerimentos, indicações e correspondências, afetos à competência da Diretoria Legislativa; enviar, via e-mail, quando possível, ao Gabinete do Prefeito Municipal, os autógrafos dos projetos de lei submetidos à sanção prefeitoral; auxiliar a Seção de Processos Legislativos na elaboração das proposições em geral; manter registro e controle, bem como zelar pela guarda das solicitações de serviço encaminhadas pelos senhores vereadores, destinadas a orientar a elaboração de proposições; instruir, com o auxílio da Seção de Arquivo, Mecanografia e Informações, as solicitações de serviço apresentadas pelos senhores vereadores, posteriormente destinando-as à Seção de Processos Legislativos, para os procedimentos de praxe; sempre que possível, prestar colaboração aos serviços desenvolvidos pelas demais Seções da Divisão; desempenhar outras atividades correlatas.

                                                                                                                                  Art. 41. À Seção de Comissões Permanentes e Temporárias, órgão diretamente subordinado à Chefia da Divisão de Assistência Legislativa, compete: elaborar parecer, por escrito, em matéria ou proposição, quando solicitado pela Mesa Executiva, com auxílio da Procuradoria Jurídica; elaborar parecer, por escrito, quando solicitado pelas Comissões Permanentes da Câmara, em matérias que exijam apreciação técnico-legislativa; assessorar as Comissões Temporárias e Grupos de Trabalho constituídos na Câmara, em matéria técnico-legislativa, com a orientação da Procuradoria Jurídica, quando necessário; elaborar parecer, quando solicitado pela Mesa Executiva, sobre a proposta do Orçamento-Programa do Município, Plano Plurianual de Investimentos e outras matérias de natureza orçamentária, com a orientação da Chefia da Divisão de Finanças, Orçamento e Contabilidade; elaborar parecer, quando solicitado pela Mesa Executiva, sobre a Prestação de Contas do Município, depois de recebido o Parecer Prévio ou Acórdão do Tribunal de Contas do Estado, também com o auxílio previsto no item anterior; assessorar os Vereadores, a Mesa Executiva, as Comissões Permanentes e Temporárias e os Grupos de Trabalho, em assuntos de sua competência; assessorar os Vereadores na apreciação do Orçamento-Programa do Município, Prestações de Contas e outras matérias pertinentes; assessorar, quando solicitado, a Diretoria Geral e a Diretoria Legislativa, sobre matéria técnico-legislativa; controlar os prazos das matérias encaminhadas às Comissões; numerar e rubricar todos os processos em tramitação no âmbito das Comissões; controlar, por sistema próprio, as matérias em tramitação nas Comissões; desempenhar outras funções correlatas que lhe forem regularmente atribuídas pela Chefia da Divisão de Assistência Legislativa ou superiores hierárquicos.

                                                                                                                                  Art. 42. À Seção de Arquivo, Mecanografia e Informações, órgão diretamente subordinado à Chefia da Divisão de Assistência Legislativa, compete: cumprir e fazer cumprir as determinações regulamentares emanadas da Divisão de Assistência Legislativa; manter registro e controle de todos os processos e demais expedientes destinados ao arquivo; preservar atualizado e em boa ordem, em livro, fichas ou outro sistema adotado, o registro das matérias, de forma a assegurar localização rápida e eficiente de qualquer documento recolhido ao arquivo; organizar a coletânea das leis municipais, resoluções e decretos legislativos, requerimentos, indicações e outras matérias, anotando as alterações ou transformações havidas; realizar controle sistemático sobre o cumprimento das leis, decretos legislativos e resoluções, e as razões de sua inobservância, quando ocorrer; conservar arquivo com informações sobre as leis, decretos legislativos e resoluções em desuso, revogadas ou derrogadas; promover, periodicamente, a coletânea de leis, decretos legislativos e resoluções análogos ou afins, para efeito de consolidação de seus textos, conforme critérios e sistemas determinados pela Mesa Executiva; manter sob sua guarda e conservação os livros, revistas, publicações, coleções diversas e outras matérias de interesse da Câmara Municipal, classificando-os convenientemente; atender a consultas e requisições dos órgãos da Câmara Municipal, no que concerne à literatura técnico-legislativa e jurídica, mantendo, para tanto, fichários organizados e atualizados; manter arquivo especial, devidamente cadastrado, para documentos considerados sigilosos ou secretos; adotar sistema de segurança adequado para a guarda dos arquivos da Câmara Municipal, para evitar sua violação ou qualquer ação que possa destruí-los ou inutilizá-los; efetuar, anualmente, a triagem da documentação que se destina ao arquivo morto da Câmara Municipal; promover a microfilmagem de documentos oficiais da Câmara, de conformidade com as determinações da Mesa Executiva; expedir, quando autorizado, cópias ou fotocópias de documentos arquivados ou sob sua responsabilidade; controlar, em livro próprio, o envio de correspondências oficiais da Câmara Municipal; proceder à entrega, mediante registro, de expedientes, relatórios e outros documentos; prestar informações gerais quanto à tramitação de processos e expedientes na Câmara Municipal, quando solicitadas pelas chefias competentes; encaminhar para publicação todos os atos da Mesa Executiva e demais matérias sujeitas a esta formalidade; gravar in totum as sessões da Câmara; elaborar, mensalmente, relatório das atividades legislativas; controlar os prazos dos pedidos de informações ou de documentos encaminhados ao Executivo Municipal; extrair e fazer distribuir avulsos das matérias dadas à Ordem do Dia; organizar, em conjunto com a Divisão de Administração, Recursos Humanos e Licitações, a relação dos suplentes de Vereadores, a apostilagem dos títulos de nomeação dos servidores, bem como os de posse dos Vereadores; desempenhar outras funções correlatas.

                                                                                                                                  Art. 43. À Seção de Atas e Anais, órgão diretamente subordinado à Divisão de Assistência Legislativa, compete: cumprir e fazer cumprir as determinações regulamentares emanadas da Chefia da Divisão; assistir às sessões da Câmara Municipal a fim de elaborar as atas e os anais; elaborar, com dados colhidos em Plenário, ata sucinta das sessões e anais do Poder Legislativo, na forma regimental; elaborar e digitar certidões, pronunciamentos e outras matérias relevantes, pertinentes às sessões, reuniões e outros eventos ligados diretamente à atividade legislativa; organizar, em volumes, os anais da Câmara Municipal, acompanhados de índice analítico e remissivo; desempenhar outras atividades correlatas.

                                                                                                                                   

                                                                                                                                  DIRETORIA ADMINISTRATIVA

                                                                                                                                   

                                                                                                                                  Art. 44. A Diretoria Administrativa, vinculada ao Diretor Geral, tem como atribuições a realização, com a participação e concurso de suas divisões e seções, das atividades de Administração, Recursos Humanos, Licitações e Compras; Almoxarifado; Portaria, Vigilância e Segurança; Controle do Uso e da Manutenção de Veículos; Manutenção Geral; Copa e Limpeza: Telefonia e Comunicações; Finanças, Orçamento e Contabilidade; Tesouraria e Caixa; Tecnologia da Informação; Processamento de Dados; Suporte Técnico e Manutenção.

                                                                                                                                  Art. 45. O Diretor Administrativo tem as atribuições de superintender, orientar, dirigir, controlar e coordenar as atividades das divisões e seções integrantes da Diretoria Administrativa; o desenvolvimento de esforços para que as atividades sob sua direção realizem suas competências e funções mediante projetos previamente aprovados, destacando a relação custo/benefício de seus atos administrativos, cumprindo os princípios estabelecidos pelo artigo 37 da Constituição Federal; determinar estudos e, com base neles, propor ao Diretor Geral medidas de aprimoramento dos serviços e atuações de competência da Diretoria de Administração e seus órgãos subordinados; expedir autorização para a instauração dos processos licitatórios e de aquisição; determinar o levantamento mensal de relatórios demonstrativos e estatísticos do comportamento das finanças, orçamentários e apropriação das despesas reais aos vários setores da Câmara Municipal; exigir relatório de conservação geral e de veículos com demonstração estatística mensal, quadrimestral e anual e outros dados que se fizerem necessários; relatar ao Diretor Geral o desempenho global das atividades e serviços sob a responsabilidade da Diretoria Administrativa e seus órgãos subordinados; executar atividades correlatas.

                                                                                                                                  Art. 46. À Divisão de Administração, Recursos Humanos e Licitações compete cumprir e fazer cumprir as determinações regulamentares emanadas da Diretoria Administrativa; supervisionar a execução dos serviços de reparo e manutenção do prédio, das instalações e do mobiliário da Câmara; o deslocamento dos bens móveis e utensílios entre as dependências da Câmara; manter cadastro atualizado dos servidores da Câmara Municipal, bem como dos Vereadores; manter atualizados os documentos dos servidores nas respectivas pastas;elaborar os atos relativos à admissão, readmissão, aproveitamento, posse, exercício, remoção, transferência, substituição e demissão do pessoal, etc.; verificar, quando da admissão de pessoal, a regularidade dos documentos exibidos; atribuir número de matrícula e expedir carteira de identidade funcional aos servidores, bem como aos Vereadores; orientar os servidores da Câmara Municipal, quando se fizer necessário, com referência aos atos ou normas de pessoal baixados pela Mesa Executiva; supervisionar o registro de frequência dos servidores da Câmara Municipal, de conformidade com o cartão-ponto; supervisionar a elaboração das folhas de pagamento, mensalmente, dos servidores da Câmara Municipal, bem como a respectiva ficha financeira; supervisionar a elaboração das folhas de subsídios dos Vereadores, bem como a respectiva ficha financeira; organizar, de conformidade com as instruções da Diretoria Geral, a escala de férias dos servidores da Câmara Municipal, as quais, dentro do possível, deverão coincidir com os períodos de recesso legislativo; informar os processos administrativos, quando solicitada; efetuar e controlar o desconto das consignações nas folhas de pagamento, quando devidamente autorizado; extrair certidões referentes a assentamentos dos servidores da Câmara; manter controle e verificação do uso do relógio de ponto; elaborar instruções e programas de concurso para o provimento de cargos da administração e manter arquivo organizado dos concursos efetuados; supervisionar a remessa de informações ao Tribunal de Contas do Estado, através de sistema próprio daquele Órgão; organizar a relação dos suplentes de Vereadores; apostilar os títulos de nomeação dos servidores, bem como os de posse dos Vereadores; a organização dos diplomas legais e normas aplicáveis a licitações e compras; o cadastro de fornecedores de bens e materiais e de prestadores de serviços; acompanhar a elaboração dos instrumentos convocatórios de licitações, confeccionados pela Comissão de Licitações ou Pregoeiro designado; a instrução dos processos licitatórios; o acompanhamento e registro de preços praticados em relação a materiais e serviços; auxiliar na elaboração das justificativas legais nos casos de dispensa e inexigibilidade de licitação; efetuar fotocópias de documentos diversos, mediante solicitação dos setores interessados, mantendo registro dos trabalhos executados em sistema próprio; expedir, receber e encaminhar fac-símiles; desempenhar outras funções que lhe forem atribuídas pela Diretoria Administrativa.

                                                                                                                                  Art. 47. À Seção de Recursos Humanos, órgão subordinado à Divisão de Administração, Recursos Humanos e Licitações, compete: cumprir e fazer as determinações regulamentares emanadas da Divisão; manter cadastro dos servidores da Casa, bem como dos vereadores; elaborar os atos relativos à admissão, readmissão, aproveitamento, posse, exercício, remoção, transferência, substituição, exoneração e demissão do pessoal, etc.; lavrar os termos de promessa legal de posse dos servidores nomeados ou designados, ao serem investidos em cargos ou funções de direção constantes da estrutura organizacional da Casa; verificar, quando da admissão de pessoal, a regularidade dos documentos exibidos; atribuir número de matrícula e expedir carteira de identidade funcional aos servidores, bem como aos vereadores; orientar os servidores da Casa, quando se fizer necessário, com referência aos atos ou normas de pessoal baixadas pela Mesa Executiva; elaborar regularmente, no âmbito de sua competência, o relatório de frequência dos servidores da Casa, de conformidade com os sistemas de registro de ponto operantes; elaborar as folhas de pagamento, mensalmente, dos servidores da Casa, bem como a respectiva ficha financeira; elaborar as folhas de subsídios dos vereadores, bem como a respectiva ficha financeira; organizar, de conformidade com as instruções da Diretoria Geral, a escala de férias dos servidores da Casa, as quais, dentro do possível, deverão coincidir com os períodos de recesso legislativo; informar e instruir os processos administrativos, quando solicitado; efetuar e controlar o desconto das consignações nas folhas de pagamento, quando devidamente autorizado; extrair certidões referentes a assentamentos dos servidores da Casa; manter controle e verificação do uso dos sistemas de registro de ponto operantes; elaborar instruções e programas de concurso para o provimento de cargos da administração e manter arquivo organizado dos concursos realizados; efetuar os assentamentos relativos ao exercício do mandato dos vereadores, mantendo atualizados registros indicativos do partido pelo qual se elegerem, o número de votos obtidos nas eleições, a data da eleição e da posse, e outros dados necessários, assim como das funções que exerceram na Casa; elaborar, anualmente, relação do pessoal da Casa, exigida pelo Tribunal de Contas do Estado; organizar a relação dos suplentes de vereadores; apostilar os títulos de nomeação dos servidores, bem como os de posse dos vereadores; desempenhar outras funções que lhe forem regularmente atribuídas pela Chefia da Divisão de Administração, Recursos Humanos e Licitações.

                                                                                                                                  Art. 48. À Seção de Licitação e Compras, órgão subordinado à Divisão de Administração, Recursos Humanos e Licitações, compete: a organização dos diplomas legais e normas aplicáveis a licitações e compras; o cadastro de fornecedores de bens e materiais e de prestadores de serviços; a elaboração dos instrumentos convocatórios de licitações; a instrução dos processos licitatórios; o acompanhamento e registro de preços praticados em relação a materiais e serviços; a elaboração das justificativas legais nos casos de dispensa e inexigibilidade de licitação; cumprir e fazer cumprir as determinações emanadas de suas respectivas chefias, bem como desempenhar outras funções que lhe forem regularmente atribuídas.

                                                                                                                                  Art. 49. À Seção de Almoxarifado, órgão diretamente subordinado à Divisão de Administração, Recursos Humanos e Licitações, compete: cumprir e fazer cumprir as determinações regulamentares emanadas da Chefia da Divisão; receber, cadastrar e fazer o acompanhamento mensal dos bens de consumo destinados às atividades institucionais, quanto à sua utilização e destinação; receber os bens permanentes adquiridos e/ou transferidos; exigir a devolução de materiais, quando fornecidos em caráter de substituição; promover aquisição de material, mediante solicitação, de conformidade com as normas vigentes; manter coordenação com os demais órgãos da Administração da Casa, para efeito de levantamento das necessidades de material de consumo ou de expediente; organizar, regularmente, relação do material necessário à reposição de estoque; desempenhar outras funções correlatas que lhe forem atribuídas pela Chefia da Divisão.

                                                                                                                                  Art. 50. À Seção de Portaria, Vigilância e Segurança, órgão diretamente subordinado à Chefia da Divisão de Administração, Recursos Humanos e Licitações, compete o atendimento dos trabalhos de manutenção e controle da portaria; atendimento ao público, recepção, credenciamento, controle, frequência e encaminhamento de pessoas; recebimento, ordenação, classificação e encaminhamento de correspondências, jornais, revistas e publicações recebidos e a serem encaminhados; atendimento ao plenário e galeria de visitantes, aos gabinetes, repartições administrativas e garagens; controle e vigilância das dependências internas e externas do Legislativo; zelar pela ordem e segurança da Casa, sobretudo no decorrer das sessões; desempenhar outras funções que lhe forem regularmente atribuídas pela Chefia da Divisão; desenvolver outras atribuições correlatas.

                                                                                                                                  Art. 51. Compete à Seção de Controle do Uso e da Manutenção de Veículos, órgão diretamente subordinado à Chefia da Divisão de Administração, Recursos Humanos e Licitações, as atribuições abaixo relacionadas,dentre outras correlatas, derivadas ou vinculadas à esfera de sua atuação: zelar pela manutenção, conservação e recuperação dos veículos do Poder Legislativo; responsabilizar-se pelo controle, guarda e uso adequado dos equipamentos, ferramentas, utensílios e demais produtos utilizados nos respectivos serviços; manter limpo e organizado o recinto do setor; requisitar o material necessário ao desempenho das atribuições do setor; manter contato com empresas prestadoras de serviços, com vistas à manutenção, conservação e recuperação dos veículos e demais equipamentos, ferramentas e utensílios utilizados nos respectivos serviços, sempre que solicitado pela respectiva chefia; controlar e fiscalizar a execução dos contratos celebrados pela Câmara, na área de sua competência, sob o aspecto do cumprimento dos serviços contratados; manter sistema de controle mensal do uso e da manutenção dos veículos, através de planilhas próprias e também de conformidade com outras determinações emanadas da respectiva chefia; elaborar e expedir relatório mensal quanto à utilização dos veículos do Poder Legislativo, discriminando, pormenorizadamente, os atendimentos realizados, os nomes dos vereadores, servidores ou setores atendidos, o motivo da utilização e sua duração, quilometragem percorrida, consumos de combustível, média de consumo, etc.; promover a lavratura de termos de ocorrência e, quando necessário, solicitar a abertura de procedimentos destinados a apurar responsabilidades quanto ao uso irregular e indevido dos veículos e danos eventualmente provocados nos mesmos, por parte de seus condutores ou usuários; designar, mediante termo específico, o motorista responsável por cada veículo; promover a identificação dos veículos do Poder Legislativo, nos termos da legislação pertinente; cumprir e fazer cumprir as determinações regularmente emanadas da respectiva chefia, bem como desempenhar outras funções que lhe forem legalmente atribuídas pelos superiores hierárquicos, observada sua área de competência.

                                                                                                                                  Art. 52. Compete à Seção de Manutenção, órgão diretamente subordinado à Chefia da Divisão de Administração, Recursos Humanos e Licitações, sem prejuízo das atribuições específicas dos demais órgãos do Legislativo: zelar pela manutenção, conservação e recuperação do edifício do Poder Legislativo, de suas instalações, mobiliário e equipamentos, excetuados os bens e serviços em garantia, os que exijam mão-de-obra técnica ou especializada para sua recuperação e/ou aqueles que forem objeto de contratação específica por meio de licitação; responsabilizar-se pelo controle, guarda e uso adequado dos equipamentos, ferramentas, utensílios e produtos utilizados nos serviços da Câmara; manter limpo e organizado o recinto do setor; requisitar o material necessário ao desempenho das atribuições do setor; manter contato com empresas prestadoras de serviços, com vistas à manutenção e conserto de máquinas, móveis e equipamentos, sempre que solicitado; controlar e fiscalizar a execução dos contratos celebrados pela Câmara, na área de sua competência, sob o aspecto do cumprimento dos serviços contratados, sempre que requisitado; manter sistema de controle da utilização do Plenário e das salas de reuniões da Câmara; hastear e arriar as bandeiras; realizar o deslocamento dos bens móveis e utensílios entre as dependências da Casa; cumprir e fazer cumprir as determinações emanadas de suas respectivas chefias, bem como desempenhar outras funções que lhe forem regularmente atribuídas pelos superiores hierárquicos, observada sua área de competência.

                                                                                                                                  Art. 53. À Seção de Copa e Limpeza, órgão diretamente subordinado à Chefia da Divisão de Administração, Recursos Humanos e Licitações, compete: as atividades de atendimento ao Plenário, Gabinetes e órgãos da Administração; atividades de controle do consumo e a responsabilidade da guarda dos materiais de limpeza e conservação colocados à disposição da unidade; limpeza e conservação dos móveis, utensílios e materiais vinculados às atividades institucionais da Câmara Municipal; desempenhar outras funções regulamentares que lhe forem atribuídas pela Chefia da Divisão.

                                                                                                                                  Art. 54. À Seção de Telefonia e Comunicações, órgão diretamente subordinado à Chefia da Divisão de Administração, Recursos Humanos e Licitações, compete: o atendimento à central telefônica; o atendimento ao sistema de ramais, efetivação de ligações e transferências de chamadas; o atendimento, registro e controle de ligações e chamadas interurbanas; o cadastramento e controle da agenda telefônica; desempenhar outras funções regulamentares que lhe forem atribuídas pela Chefia da Divisão.

                                                                                                                                  Art. 55. À Divisão de Finanças, Orçamento e Contabilidade compete cumprir e fazer cumprir as determinações regulamentares emanadas da Diretoria Administrativa; efetuar o controle contábil, mediante escrituração dos atos e fatos referentes a seu patrimônio, variação das dotações orçamentárias, despesas e todos os demais atos sujeitos à contabilização; proceder aos lançamentos contábeis da documentação, em conformidade com o plano de contabilidade previamente aprovado; elaborar, com os elementos fornecidos pelas Diretorias, a proposta orçamentária da Câmara Municipal de Maringá a ser encaminhada ao Executivo Municipal, no prazo previsto em lei; elaborar, mensalmente, balancetes e demonstrativos; elaborar, mensalmente, o balancete financeiro a ser encaminhado ao Tribunal de Contas do Estado; elaborar a prestação de contas a ser encaminhada ao Executivo Municipal para posterior envio ao TCE, anualmente, com todos os documentos exigidos, dentro dos prazos legais; manter controle sobre o saldo das dotações orçamentárias, consignações ou subconsignações; atestar a identidade entre a fatura e a nota fiscal de fornecedores, referentes a aquisições feitas pela Divisão de Administração, Recursos Humanos e Licitações; elaborar o empenho prévio das despesas e ordens de pagamento; efetuar conta corrente atualizada dos devedores temporários da Câmara Municipal, por adiantamentos concedidos, através de Portaria, para pequenas despesas, de modo a assegurar com exatidão os adiantamentos de cada servidor ou Vereador; organizar as prestações de contas, bem como a documentação necessária à comprovação das despesas da Câmara Municipal; fornecer elementos para a abertura de créditos adicionais; emitir parecer, quando solicitado pela Mesa Executiva, sobre a proposta do Orçamento-Programa do Município e do Plano Plurianual de Investimentos e outros de natureza orçamentária; emitir parecer, quando solicitado, sobre a prestação de contas do Município, após o Parecer Prévio ou Acórdão do Tribunal de Contas do Estado; desempenhar outras funções que lhe forem atribuídas pela Diretoria Administrativa.

                                                                                                                                  Art. 56. À Seção de Tesouraria e Caixa, órgão diretamente subordinado à Divisão de Finanças, Orçamento e Contabilidade, compete: cumprir e fazer cumprir as determinações emanadas da Chefia da Divisão; registrar o recebimento, quando autorizado, do duodécimo da Câmara Municipal; efetuar o pagamento de despesas, quando regularmente processadas e autorizadas; manter registro em livro caixa do movimento referente às entradas e saídas de numerário; remeter, à Seção de Finanças, Orçamento e Contabilidade, uma via dos registros efetuados no livro caixa, juntamente com a documentação da despesa, quando paga; efetuar entrega, mediante recibo, de numerário, quando devidamente autorizada; efetuar depósitos e retiradas bancárias dos valores em poder da Câmara Municipal; manter registro de procurações para fins de pagamento; manter controle bancário, com a conferência mensal dos extratos bancários; desempenhar outras funções que lhe forem regularmente atribuídas pela Divisão de Finanças, Orçamento e Contabilidade.

                                                                                                                                  Art. 57. À Seção de Finanças, Orçamento e Contabilidade, órgão diretamente subordinado à Divisão de Finanças, Orçamento e Contabilidade, compete: cumprir e fazer cumprir as determinações regulamentares emanadas da Chefia da Divisão; efetuar o controle contábil, mediante escrituração dos atos e fatos referentes a seu patrimônio, variação das dotações orçamentárias, despesas e todos os demais atos sujeitos à contabilização; proceder aos lançamentos contábeis da documentação, em conformidade com o plano de contabilidade previamente aprovado; elaborar, com os elementos fornecidos pelas Divisões, a proposta orçamentária da Câmara Municipal de Maringá a ser encaminhada ao Executivo Municipal, no prazo previsto em lei; elaborar, mensalmente, balancetes e demonstrativos; elaborar, mensalmente, o balancete financeiro a ser encaminhado ao Tribunal de Contas do Estado; elaborar a prestação de contas a ser encaminhada ao Executivo Municipal para posterior envio ao TCE, anualmente, com todos os documentos exigidos, dentro dos prazos legais; manter controle sobre o saldo das dotações orçamentárias, consignações ou subconsignações; atestar a identidade entre a fatura e a nota fiscal de fornecedores, referentes a aquisições feitas pela Seção de Licitações e Compras; elaborar o empenho prévio das despesas e ordens de pagamento; efetuar conta corrente atualizada dos devedores temporários da Câmara Municipal, por adiantamentos concedidos, através de Portaria, para pequenas despesas, de modo a assegurar com exatidão os adiantamentos de cada servidor ou Vereador; organizar as prestações de contas, bem como a documentação necessária à comprovação das despesas da Câmara Municipal; fornecer elementos para a abertura de créditos adicionais; emitir parecer, quando solicitado pela Mesa Executiva, sobre a proposta do Orçamento-Programa do Município e do Plano Plurianual de Investimentos e outros de natureza orçamentária; emitir parecer, quando solicitado, sobre a prestação de contas do Município, após o Parecer Prévio ou Acórdão do Tribunal de Contas do Estado; desempenhar outras funções que lhe forem regularmente atribuídas pela Chefia da Divisão de Finanças, Orçamento e Contabilidade.

                                                                                                                                  Art. 58. À Seção de Patrimônio, órgão diretamente subordinado à Divisão de Finanças, Orçamento e Contabilidade, compete: cumprir e fazer cumprir as determinações regulamentares emanadas da Chefia da Divisão; manter cadastro, registro e controle atualizados dos bens móveis e imóveis do Legislativo; promover a identificação de cada peça de bem móvel através de marcação constante de ordem numérica, que deverá corresponder ao registro geral em todas as suas características; proceder regularmente à verificação dos móveis, utensílios e maquinários, quanto à sua permanência nos órgãos para os quais estiverem carregados, corrigindo as irregularidades encontradas; proceder regularmente à verificação do estado de conservação, funcionamento e utilização dos móveis, máquinas e utensílios do Legislativo, solicitando, de imediato, à Diretoria Administrativa, as medidas que se fizerem necessárias para reparações ou substituições; elaborar, anualmente, uma relação detalhada dos bens patrimoniais do Legislativo, para ser encaminhada ao Tribunal de Contas do Estado, juntamente com a prestação de contas; zelar pela guarda e conservação do patrimônio do Legislativo, alertando, de imediato, a Diretoria Administrativa quando constatados fatos que ponham em risco sua integridade; manter rigorosamente atualizadas as fichas cadastrais do material permanente; propor à Diretoria Administrativa a alienação ou doação de bens patrimoniais da Casa; desempenhar outras funções que lhe forem regularmente atribuídas pela Chefia da Divisão de Finanças, Orçamento e Contabilidade.

                                                                                                                                  Art. 59. Além das disposições já enunciadas, são obrigações comuns aos Diretores: coordenar a escala de férias dos servidores lotados na respectiva unidade; comunicar à Divisão responsável por tal controle a efetividade dos servidores; providenciar a requisição de materiais, equipamentos e utensílios necessários ao regular funcionamento da repartição; elaborar relatório anual das atividades, sempre que requisitado.

                                                                                                                                  Art. 60. Compete às Chefias de Divisão, em caráter geral: dirigir, orientar e fiscalizar as atividades desenvolvidas pelos respectivos órgãos, bem como pelas seções que lhes são subordinadas; proceder a estudos e sugerir medidas que visem ao aprimoramento dos trabalhos atinentes às unidades que dirigem; requisitar da seção de patrimônio e almoxarifado o material necessário ao trabalho do órgão que dirige; zelar pela conservação dos bens patrimoniais da Câmara Municipal sob sua responsabilidade; despachar com a diretoria hierarquicamente superior; elaborar relatórios mensais e anuais das atividades desenvolvidas pelos órgãos que dirigem; encaminhar os elementos necessários à elaboração da proposta orçamentária, com relação ao órgão que dirige, para a Divisão de Finanças, Orçamento e Contabilidade; dar informações em processos legislativos, quando solicitado; julgar justificadas ou não as faltas ao trabalho dos servidores, podendo abonar até três (03) por mês, quando se tratar de atraso na entrada ou saída do expediente; executar outras tarefas que lhe sejam regularmente atribuídas.

                                                                                                                                  Art.61. Compete às Chefias de Seção, em caráter geral, cumprir e fazer cumprir as determinações superiores e as disposições referentes à unidade, desempenhando as atribuições que lhe são conferidas; supervisionar os trabalhos da unidade, dirigindo e coordenando as atividades desenvolvidas, bem como estabelecendo os devidos controles sobre a eficiência dos aspectos operacionais relativos à execução das tarefas e à eficácia dos resultados do trabalho geral da Seção, tendo em vista, sempre, a consecução dos seus objetivos, representados pelo conjunto de suas funções.

                                                                                                                                  Art. 62. As disposições contrárias ficam revogadas.

                                                                                                                                   

                                                                                                                                  Plenário Vereador Ulisses Bruder, 05 de dezembro de 2012.

                                                                                                                                   

                                                                                                                                   

                                                                                                                                  MÁRIO HOSSOKAWA

                                                                                                                                  Presidente

                                                                                                                                  Alteração feita pelo Artigo - Lei Ordinária nº 9.409, de 06 de dezembro de 2012.

                                                                                                                                     

                                                                                                                                    REGULAMENTO DAS FUNÇÕES E ATRIBUIÇÕES DOS ÓRGÃOS, DOS CARGOS DE PROVIMENTO EM COMISSÃO E DAS FUNÇÕES GRATIFICADAS DA CÂMARA MUNICIPAL DE MARINGÁ

                                                                                                                                     

                                                                                                                                    Art. 1.º Este Regulamento estabelece as funções e atribuições dos órgãos, dos cargos de provimento em comissão e das funções gratificadas da Câmara Municipal de Maringá.

                                                                                                                                    Art. 2.º Os cargos de provimento em comissão e as funções gratificadas da Câmara Municipal de Maringá, observadas as disposições desta Lei, são de livre nomeação e exoneração do Presidente da Câmara e se destinam às atividades de assessoramento, direção e chefia do Poder Legislativo.

                                                                                                                                    § 1.º Para atender interesse do Legislativo, o horário de trabalho dos ocupantes de cargos de provimento em comissão poderá ser flexibilizado, para ajustar-se às necessidades dos seus vários organismos, mediante prévia decisão do Presidente da Casa, respeitada a jornada diária correspondente.

                                                                                                                                    § 2.º Além das atribuições específicas de cada um, são obrigações comuns a todos os ocupantes de cargos ou funções: observar e fazer observar no âmbito da repartição e no exercício do múnus público os direitos e deveres inerentes ao cargo ou função; utilizar, operar e administrar diligentemente os serviços, móveis e equipamentos da repartição; desempenhar outras atividades meio necessárias ao cumprimento de suas atribuições, bem assim outras que lhe forem regularmente atribuídas pela autoridade responsável, relacionadas ao exercício do mandato parlamentar e aos objetivos institucionais do Legislativo.

                                                                                                                                    Art. 3.º São órgãos da Câmara Municipal de Maringá:

                                                                                                                                    1. Mesa Executiva;

                                                                                                                                    2. Gabinete da Presidência;

                                                                                                                                    3. Controladoria Interna;

                                                                                                                                    4. Coordenadoria de Comunicação Social;

                                                                                                                                    5. Procuradoria Jurídica;

                                                                                                                                    6. Gabinetes dos Vereadores;

                                                                                                                                    7. Gabinete da Primeira Secretaria;

                                                                                                                                    8. Diretoria Geral;

                                                                                                                                    9. Diretoria Legislativa;

                                                                                                                                    10. Diretoria Administrativa.

                                                                                                                                     

                                                                                                                                    MESA EXECUTIVA

                                                                                                                                     

                                                                                                                                    Art. 4.º A Mesa Executiva tem a composição determinada pela Lei Orgânica do Município e pelo Regimento Interno da Câmara.

                                                                                                                                    Art. 5.º As atribuições da Mesa Executiva da Câmara Municipal são as definidas na Lei Orgânica do Município, no Regimento Interno e na legislação que disciplina a estruturação orgânico-administrativa da Casa.

                                                                                                                                    Art. 6.º O Presidente é o representante da Câmara, judicial ou extrajudicialmente, competindo-lhe dirigir seus trabalhos legislativos e serviços administrativos, bem como fiscalizar sua ordem e disciplina.

                                                                                                                                    Art. 7.º Compete ao Primeiro-Secretário, sob a orientação do Presidente, superintender os serviços administrativos da Casa.

                                                                                                                                     

                                                                                                                                    GABINETE DA PRESIDÊNCIA

                                                                                                                                     

                                                                                                                                    Art. 8.º Ao Gabinete da Presidência, dirigido por ele próprio, com auxílio de seu Chefe de Gabinete e demais componentes do seu staff político-administrativo, compete a assistência e o encaminhamento dos assuntos do interesse da Presidência; organizar e dirigir a realização das audiências; a expedição e a recepção das correspondências do Gabinete e o desempenho das demais funções burocráticas, a critério da Presidência, e as funções de Representação do Poder Legislativo e de Administração da Casa.

                                                                                                                                    Art. 9.º O Chefe de Gabinete tem como atribuições, em síntese: a direção, orientação, controle, promoção e fiscalização das atividades inerentes ao Gabinete da Presidência; a manutenção do controle dos expedientes em tramitação no Gabinete; o recebimento, a distribuição e o encaminhamento de correspondência, ordens de serviços e demais trabalhos para execução; a supervisão da devida ordem no arquivo da Presidência; o encaminhamento ao protocolo, para distribuição, da documentação devidamente despachada; a recepção de autoridades e demais convidados e respectiva condução ao Presidente, sobretudo quando da realização de atos solenes.

                                                                                                                                     

                                                                                                                                    CONTROLADORIA INTERNA

                                                                                                                                     

                                                                                                                                    Art. 10. A Controladoria Interna, vinculada ao Presidente da Câmara, tem como atribuições a execução, com autonomia, das funções de controle interno, nos termos da legislação municipal, estadual e federal aplicável, a elaboração e manutenção de manuais de procedimentos, a elaboração do programa permanente de auditagem e a correição interna.

                                                                                                                                    Art. 11. O Controlador Interno tem as atribuições de fazer com que se efetive o controle interno das atividades da Câmara Municipal, cumprindo e fazendo cumprir a respectiva legislação federal, estadual e municipal, para o que receberá a cooperação e a colaboração devida de todas as repartições, seus titulares e servidores, tendo atendidas suas solicitações e determinações em caráter de precedência sobre as demais; assinar, juntamente com o Presidente, a Mesa Executiva e o Diretor Administrativo, o relatório das contas do Legislativo a ser enviado ao Tribunal de Contas, no que se refere à Lei de Responsabilidade Fiscal; na forma do estatuído pelo artigo 118 da Lei Orgânica do Município e artigo 215 do Regimento Interno da Câmara Municipal, promover a integração dos serviços de controle interno do Poder Legislativo com os serviços de controle interno do Poder Executivo; desenvolver as funções de controle interno na integralidade dos atos da Câmara Municipal, sejam de responsabilidade da Presidência, de todos os demais organismos da Casa, sejam de responsabilidade dos integrantes de seu funcionalismo, efetivos ou comissionados, e até de eventuais voluntários, na forma da lei; firmar documentos precedentemente ao Diretor Geral e ao Presidente, quando for o caso; dirigir a elaboração e a manutenção de manuais de procedimentos, ouvida a Mesa Executiva; fixar a programação permanente de auditagem e correição interna; pronunciar-se sobre os relatórios das atividades de controle interno; prestar informações do desenvolvimento dos trabalhos de controle interno ao Presidente, à Mesa Executiva e ao Diretor Geral, quando solicitado; o exercício de funções correlatas.

                                                                                                                                    Art. 12. O servidor responsável pelo Sistema de Controle Interno do Poder Legislativo guardará sigilo sobre dados e informações de que tiver conhecimento no exercício de suas funções, utilizando-os, exclusivamente, para a elaboração de pareceres e relatórios destinados à autoridade competente, sob pena de responsabilidade.

                                                                                                                                    Parágrafo único. O responsável pelo controle, ao tomar conhecimento de qualquer irregularidade ou ilegalidade, dela dará ciência imediata ao Presidente da Câmara Municipal.

                                                                                                                                     

                                                                                                                                    COORDENADORIA DE COMUNICAÇÃO SOCIAL

                                                                                                                                     

                                                                                                                                    Art. 13. A Coordenadoria de Comunicação Social, vinculada diretamente ao Presidente, tem como atribuições: o planejamento e a execução da política de comunicação; o estabelecimento de estratégias para a valorização do Poder Legislativo; a divulgação ampla e irrestrita das atividades da Câmara Municipal, dos seus organismos e dos Vereadores, com o objetivo de informar, educar e orientar a população; a coordenação do planejamento e da realização de campanhas publicitárias institucionais; a atividade cerimonial protocolar, nas atividades em que se fizer necessária; a formação, alimentação e manutenção do acervo multimídia na internet, garantindo à população o acesso ao mesmo.

                                                                                                                                    Art. 14.O Coordenador de Comunicação Social tem como atribuições: a coordenação da execução das atribuições de sua unidade; a participação na análise política dos fatos de interesse da Câmara Municipal; de conformidade com as instruções do Presidente e do Diretor Geral, chefiar, supervisionar e coordenar a divulgação das atividades da Câmara Municipal, dos seus organismos e dos Vereadores; a composição de programa de execução dessas atribuições e de controle das mesmas; a composição da pauta de trabalho, otimizando as atividades dos servidores integrantes de sua Coordenadoria; junto aos mesmos, o fomento da produção de noticiário para ser veiculado em todos os meios de veiculação; a orientação, seleção e crítica do material produzido; a direção na distribuição de textos, fotos e releases aos meios de comunicação de massa; aprovar a programação dos serviços fotográficos; fazer com que seja capturado em todas as formas de comunicação todo o registro das atividades da Coordenadoria, da Câmara em geral, dos Vereadores, ou aquelas veiculadas nos meios de comunicação televisada, irradiada, escrita e pela internet, para fins de composição do acervo multimídia; opinar e decidir com as autoridades superiores sobre a produção e a edição de publicações, programação de mídia impressa ou não; coordenar a produção de material gráfico de apoio a eventos e campanhas institucionais; o fornecimento, no momento oportuno, ao Diretor Geral, dos elementos necessários à composição da escala de férias; o estabelecimento e a manutenção de diretrizes necessárias ao fomento, manutenção e utilização do acervo multimídia; a autorização de solicitação de materiais, bens e serviços necessários à Coordenadoria; executar atividades correlatas.

                                                                                                                                    Art. 15. ÀSeção de Comunicação Social,órgão diretamente subordinado à Coordenadoria de Comunicação Social, compete: cumprir e fazer cumprir as determinações regularmente emanadas da Coordenadoria de Comunicação Social; desenvolver as atividades relacionadas à TV Câmara, cooperando para a execução da política de comunicação adotada pelo Poder Legislativo e a observância da legislação pertinente; colaborar na definição de estratégias e ações que visem à ampla divulgação das atividades legislativas, como forma de valorização institucional da Câmara; acompanhar as atividades de planejamento e obtenção dos elementos necessários à produção dos programas, bem como as operações relativas à execução dos programas; acompanhar e informar à respectiva coordenadoria a repercussão da programação veiculada pela TV Câmara junto aos órgãos de imprensa e à população em geral; executar outras atividades correlatas.

                                                                                                                                     

                                                                                                                                    PROCURADORIA JURÍDICA

                                                                                                                                     

                                                                                                                                    Art. 16. A Procuradoria Jurídica, órgão vinculado ao Presidente da Casa, tem como atribuições a representação em qualquer foro ou instância da Câmara Municipal, nos feitos de que ela participe; o estudo e as providências alusivas à declaração de inconstitucionalidade; a participação na análise de temas políticos; apreciação de propostas de alteração de entendimentos de natureza jurídica, dos recursos ao Plenário, dos Recursos de Revista e/ou outros questionamentos; a manifestação nas propostas de adoção de precedentes firmados na aplicação do Regimento Interno; a promoção, direta ou indireta, do assessoramento às Comissões Especiais de Estudos, Comissões Parlamentares de Inquérito, Comissões Processantes, à Presidência, aos organismos da Casa e aos Vereadores.

                                                                                                                                    Art. 17. O Procurador Jurídico tem como atribuições: a representação em qualquer foro ou instância da Câmara Municipal, nos feitos que ela integre, inclusive em mandado de segurança proposto contra ocupantes de cargos da Mesa; o estudo e as providências alusivas à declaração de inconstitucionalidade; a participação na análise de temas políticos; estudar e minutar contratos, termos de compromisso e responsabilidade, convênios e outros atos; emitir pareceres singulares ou relatar pareceres coletivos; responder a consulta sobre interpretação de textos legais de interesse da Câmara Municipal; apreciação de propostas de alteração de entendimentos de natureza jurídica formulados pelos advogados, dos recursos ao Plenário, dos Recursos de Revista e/ou outros questionamentos; a manifestação nas propostas de adoção de precedentes firmados quanto à aplicação do Regimento Interno; o assessoramento, direto ou indireto, de Comissões Especiais de Estudos, Comissões Parlamentares de Inquérito, Comissões Processantes, da Presidência, dos organismos da Casa e dos Vereadores; o esclarecimento ao Plenário, à Mesa Executiva, aos Vereadores e aos organismos da Casa das dúvidas remanescentes; a supervisão das atividades da Procuradoria; a manifestação nos relatórios de comissões, audiências públicas, seminários, simpósios e de grupos de trabalho; a composição da escala de férias; dirigir equipes auxiliares no âmbito das atividades próprias do cargo; a execução de atividades correlatas.

                                                                                                                                     

                                                                                                                                    GABINETES DOS VEREADORES

                                                                                                                                     

                                                                                                                                    Art. 18. Aos Gabinetes dos Vereadores, dirigidos por eles próprios, com auxílio de seus Chefes de Gabinete e demais assessores, compete o auxílio, a assistência e o encaminhamento dos assuntos gerais de interesse dos Gabinetes; a organização e a direção das audiências dos Vereadores; a preparação e a expedição das correspondências; o registro e o encaminhamento, para divulgação, dos atos do titular do Gabinete; a elaboração de proposições de iniciativa dos Vereadores, com as respectivas justificativas; e o desempenho de outros serviços burocráticos, a critério dos Vereadores, e das demais atividades correlatas.

                                                                                                                                    Art. 19. São atribuições do Chefe de Gabinete: desempenhar funções internas e externas; prestar assessoramento e aconselhamento ao Vereador junto ao qual exerce as atribuições de seu cargo; realizar estudos e pesquisas para subsidiar assessoramento no exame de proposições e expedientes em geral que passem pela apreciação do Vereador; efetuar e elaborar trabalhos relacionados com o serviço e a assistência às bases, de interesse do Vereador; sugerir assuntos e temas para pronunciamento do Vereador; exercer atividades de divulgação dos trabalhos realizados e relações públicas do Vereador; controlar a assiduidade e frequência ao trabalho dos assessores lotados no respectivo Gabinete, bem como as atividades por eles realizadas; supervisionar, coordenar e controlar as atividades diárias do Gabinete, promovendo o ajuste das atividades ao plano de ações, atividades e programas.

                                                                                                                                    Art. 20. São atribuições do Assessor Parlamentar: desempenhar funções internas e externas, segundo diretrizes e orientação superior; executar trabalhos de redação e resumo de acompanhamento de reuniões e comissões; auxiliar na realização de pesquisas, estudos e elaboração de informações de interesse do Gabinete; verificar e acompanhar a tramitação de assuntos junto a repartições públicas e órgãos da Câmara; responsabilizar-se pelo recebimento e encaminhamento de pareceres de comissões que o parlamentar integre; colaborar na organização de audiências públicas ou reuniões que devam ser promovidas pelo Vereador; elaborar os projetos de lei de iniciativa do Vereador e as respectivas justificativas.

                                                                                                                                    Art. 21. São atribuições do Assessor de Gabinete: desempenhar funções internas e externas, segundo diretrizes e orientação superior; efetuar serviços de recepção, redação, digitação, organização de arquivos e catalogação dos pedidos de informações e respectivas respostas; controlar prazos e diligenciar respostas às proposições, indicações e pedidos do Vereador; colaborar na agenda política do parlamentar; manter arquivo de documentos e papéis em caráter particular endereçados ao Vereador; expedir convites e anotar todas as providências necessárias ao assessoramento do parlamentar; promover o registro de nome e endereço completo de autoridades, lideranças e cidadãos de interesse do Vereador.

                                                                                                                                    Art. 22. Os ocupantes dos cargos a que se referem os artigos 19 a 21 deverão, preferencialmente, possuir o seguinte nível mínimo de escolaridade:

                                                                                                                                    I – Chefe de Gabinete: ensino superior;

                                                                                                                                    II – Assessor Parlamentar: ensino médio;

                                                                                                                                    III – Assessor de Gabinete: ensino médio.

                                                                                                                                    Art. 23. O controle de assiduidade e frequência ao trabalho dos assessores lotados no respectivo Gabinete, bem como das atividades por eles realizadas, será exercido pelo Chefe de Gabinete, sob a supervisão do Vereador.

                                                                                                                                    Parágrafo único. O controle de que trata o caput referente ao Chefe de Gabinete será exercido direta e exclusivamente pelo Vereador.

                                                                                                                                    Art. 24. As atividades externas realizadas pelos assessores lotados no respectivo Gabinete deverão ser controladas por meio de apresentação de justificativa própria, contendo data, horário, local, tempo de permanência e assunto tratado, que deverá ser validada pelo Chefe de Gabinete e entregue ao setor de Administração e Recursos Humanos, com a anuência do Vereador, no prazo de até 3 (três) dias úteis da ocorrência, para fins de justificação de ausência do servidor do local de trabalho.

                                                                                                                                    Art. 25. Todas as atividades do Gabinete serão de responsabilidade exclusiva do Vereador, inclusive aquelas realizadas em expediente externo, observadas as disposições legais.

                                                                                                                                     

                                                                                                                                    GABINETE DA PRIMEIRA SECRETARIA

                                                                                                                                     

                                                                                                                                    Art. 26. O Gabinete da Primeira Secretaria tem as atribuições determinadas pela Lei Orgânica e pelo Regimento Interno da Casa, destacando-se a superintendência dos serviços administrativos da Casa, sob a orientação do Presidente.

                                                                                                                                    Art. 27. O Assessor de Gabinete da Primeira Secretaria tem como atribuições: a direção, orientação, controle, promoção e fiscalização das atividades inerentes ao Gabinete do Primeiro-Secretário; a manutenção do controle dos expedientes em tramitação no Gabinete; o recebimento, a distribuição e o encaminhamento de correspondências, ordens de serviços e demais trabalhos para execução; a supervisão da devida ordem no arquivo geral da Primeira Secretaria; o encaminhamento ao protocolo, para distribuição, da documentação devidamente despachada; a recepção de autoridades e demais convidados e respectiva condução ao Primeiro-Secretário, sobretudo quando da realização de atos solenes; assessorar o Primeiro-Secretário nas ações de superintendência dos serviços administrativos da Casa, cumprindo a programação de trabalho estabelecida; diligenciar o andamento dos projetos, indicações e requerimentos nas Comissões, com vistas a manter o Primeiro-Secretário apto a responder a consultas relativas à composição da Ordem do Dia das sessões; diligenciar informações sobre ações e medidas com vistas a manter o Primeiro-Secretário apto a discutir e analisar o andamento administrativo da Casa; organizar e dirigir as audiências; auxiliar, assistir e encaminhar os assuntos gerais de interesse do Gabinete; analisar a documentação destinada à assinatura do Primeiro-Secretário, orientando-o sobre os precedentes e rotinas estabelecidas; manter controle dos expedientes, papéis e demais documentos em tramitação no Gabinete; realizar os serviços pertinentes à Primeira Secretaria, à agenda e ao atendimento ao público; sugerir pronunciamentos sobre matérias em tramitação no Legislativo ou sobre acontecimentos que afetem a vida da comunidade; encaminhar demandas e retornar aos cidadãos as medidas resolutivas ou respostas a suas solicitações; agendar e organizar reuniões e debates e assessorar o Primeiro-Secretário em suas relações institucionais com os demais órgãos da Câmara Municipal e no relacionamento político-administrativo com os munícipes, órgãos e entidades públicas e privadas, associações de classe, entidades, organismos estaduais e federais; realizar contatos com autoridades públicas; representar o Primeiro-Secretário em reuniões e eventos, sempre que assim determinado pelo mesmo; sugerir encaminhamentos e pautas políticas; o registro e encaminhamento, para divulgação, dos atos do titular do Gabinete; executar tarefas correlatas.

                                                                                                                                     

                                                                                                                                    DIRETORIA GERAL

                                                                                                                                     

                                                                                                                                    Art. 28. A Diretoria Geral, vinculada diretamente ao Presidente da Casa, tem como atribuições: a discussão de temas políticos; proporcionar e garantir os serviços administrativos, legislativos, de apoio e de ação comum à Câmara, Plenário, Mesa Executiva, Presidência, Comissões Permanentes, Comissões Temporárias, Grupos de Trabalho, Frentes Parlamentares, Audiências Públicas, Vereadores e demais organismos; conduzir, de acordo com as determinações superiores, o exercício das atividades institucionais da Casa e o atendimento público, zelando para que tais procedimentos assegurem o eficiente funcionamento do Legislativo.

                                                                                                                                    Art. 29. O Diretor Geral tem como atribuições: programar, supervisionar, dirigir, coordenar, orientar e controlar a execução de todos os serviços legislativos e administrativos da Câmara Municipal; autorizar a expedição e assinar as certidões requeridas; assinar os processos de pagamento das despesas da Câmara e encaminhar à Presidência para a competente autorização e pagamento; dar posse a todos os servidores efetivos e comissionados da Câmara Municipal, mediante termo em livro próprio; conhecer de todo expediente oriundo das Diretorias; assinar ofícios, atestados, certidões, editais e outros documentos da Câmara Municipal; expedir ordens de serviços e demais atos necessários à execução dos trabalhos da Câmara Municipal, conforme instruções e decisões da Presidência; julgar justificadas ou não faltas ao serviço dos servidores, de acordo com a legislação vigente; autorizar a lotação do pessoal da Câmara Municipal; emitir despachos em processos cuja decisão caiba à autoridade superior; emitir despachos decisórios em processos de sua competência; encaminhar à Mesa Executiva, até o dia 30 de janeiro, o relatório anual circunstanciado das atividades desenvolvidas pela Câmara Municipal; propor medidas à Mesa Executiva que visem a facilitar os serviços da Câmara Municipal; apreciar e encaminhar os relatórios mensais e anuais apresentados pelos órgãos da Câmara Municipal e elaborar um relatório geral para a Mesa Executiva e a Presidência; despachar o expediente com o Presidente da Câmara Municipal; promover reuniões com os Diretores e Coordenadores das Divisões e Seções, para tratar de assuntos relacionados com os serviços da Câmara; comunicar-se com outras repartições públicas, sempre que necessário, para a resolução de assuntos de interesse da Câmara; assinar os cheques em geral, juntamente com o Presidente ou outro membro da Mesa Executiva autorizado; conservar e zelar pelos bens patrimoniais da Câmara Municipal, sob sua responsabilidade e guarda; prestar esclarecimentos em Plenário, quando solicitado; assessorar a Mesa Executiva nos atos e decisões de serviços da Câmara Municipal; assessorar a Mesa e os Vereadores em matéria de sua competência; autorizar a prestação de serviços extraordinários por parte dos servidores da Câmara, ouvidos os respectivos superiores; superintender, direta ou indiretamente, a fiscalização da execução dos contratos celebrados pela Câmara Municipal; fixar, por ato administrativo, a escala anual de férias dos servidores, ouvindo os respectivos superiores; encaminhar à Diretoria Administrativa, por intermédio da Divisão de Finanças, Orçamento e Contabilidade, a elaboração da proposta orçamentária da Câmara, devidamente aprovada pela Mesa Executiva; desempenhar outras funções correlatas.

                                                                                                                                    Art. 30. Compete à Divisão de Protocolo Geral e Cerimonial da Câmara Municipal, subordinada diretamente à Diretoria Geral: a manutenção do protocolo geral do expediente; a remessa, recebimento, triagem e distribuição da correspondência externa e interna, conforme determinação superior; os serviços de mensageiro; protocolizar, em livro próprio, as solicitações de serviços dos Vereadores, efetuando sua triagem e encaminhamento aos setores responsáveis; elaborar a súmula do expediente recebido, para fins de leitura em plenário; coletar as assinaturas dos Vereadores no livro de presença à sessão; remeter à publicação, mediante protocolo, todos os atos e demais matérias sujeitas a esta finalidade; distribuir, mediante protocolo, relatórios e outros documentos; executar os serviços de cerimonial em geral, bem assim a recepção de autoridades, convidados e visitantes oficiais; organizar o calendário de eventos da Câmara; elaborar e encaminhar convites para solenidades oficiais do Legislativo; promover as relações sociais entre a Câmara e outros poderes e entidades; manter cadastro atualizado de autoridades, em nível municipal, estadual e federal; elaborar roteiros de atos solenes e de audiências públicas; proceder à divulgação de informações institucionais via internet; desempenhar outras atividades correlatas.

                                                                                                                                    Art. 31. À Divisão de Tecnologia da Informação compete cumprir e fazer cumprir as determinações regulamentares emanadas da Diretoria Geral; coordenar todo o sistema de processamento de dados da Câmara Municipal; articular com os demais órgãos da Administração a melhor utilização dos equipamentos; programar a execução dos serviços necessários à modernização do sistema; acompanhar a implantação de todos os sistemas programados; apresentar estudos para melhoria do sistema, quando for o caso; adotar sistema de segurança adequado para a guarda dos arquivos, para evitar a sua violação ou qualquer ação que possa prejudicá-los; manter atualizados os dados disponíveis; realizar estudos de viabilidade técnico-econômica sobre a utilização de softwares e equipamentos, emitindo parecer quanto à conveniência de sua aquisição; executar e coordenar a confecção de normas e procedimentos para utilização dos softwares instalados; pesquisar todos os recursos dos equipamentos, proporcionando um suporte técnico e treinamento da equipe da Divisão de Tecnologia da Informação, visando à otimização e racionalização de sistemas em desenvolvimento e produção; sanar as dúvidas de quaisquer setores técnicos, quando solicitado; interagir nas áreas de desenvolvimento e produção, visando detectar problemas e dificuldades e propondo solução no sentido de obter melhor aproveitamento de equipamentos e recursos humanos; proporcionar esquemas de backup’s eficientes, bem como esquemas de recuperação e segurança, em caso de falhas operacionais e sinistros; oferecer treinamento e reciclagem aos servidores usuários do sistema; estabelecer intercâmbios, com órgãos de pesquisa ou detentores de informações, que possam ser de interesse da Câmara Municipal; desempenhar outras funções que lhe forem regularmente atribuídas.

                                                                                                                                    Art. 32. Compete à Seção de Suporte Técnico, Dados e Manutenção, subordinada diretamente à Divisão de Tecnologia da Informação: prestar suporte técnico aos usuários dos equipamentos de informática; detectar e solucionar falhas nos equipamentos de informática; substituir peças defeituosas dos equipamentos de informática; instalar, nos microcomputadores, sistema operacional ou qualquer outro sistema computacional que não esteja funcionando adequadamente; encaminhar a empresa de assistência técnica competente os equipamentos que necessitarem de reparos que não possam ser realizados no próprio local; executar os serviços de implantação, atualização, supervisão e manutenção da rede do sistema, bancos de dados e arquivos, dentre outros serviços de suporte técnico e de supervisão; preparar dispositivos para cópia de segurança dos dados armazenados nos microcomputadores e “servidores de dados”; proceder à cópia de segurança dos dados armazenados nos “servidores de dados”; manter cadastro atualizado das manutenções realizadas nos equipamentos de informática; desempenhar outras funções correlatas.

                                                                                                                                     

                                                                                                                                     DIRETORIA LEGISLATIVA

                                                                                                                                     

                                                                                                                                    Art. 33. A Diretoria Legislativa, vinculada ao Diretor Geral, tem as atribuições de iniciar, desenvolver e concluir os processos de propostas de emenda à Lei Orgânica, de projetos de leis, decretos legislativos e resoluções para apreciação do Plenário; proporcionar e dirigir os trabalhos de apoio às Comissões Permanentes, às Comissões Temporárias e Grupos de Trabalho Administrativos; aprestar substitutivos, emendas, indicações e requerimentos em geral para serem apreciados pelo Plenário; compor a Ordem do Dia das sessões, conforme as instruções do Presidente da Câmara; implementar outras atividades voltadas à regularidade e eficácia da atividade legislativa.

                                                                                                                                    Art. 34. O Diretor Legislativo tem as atribuições de participar da análise dos fatos políticos; com o concurso da Divisão de Assistência Legislativa, orientar, coordenar e dirigir a formação, o desenvolvimento e a conclusão dos processos das propostas de leis, decretos legislativos e resoluções; o aprestamento de substitutivos, emendas, requerimentos em geral e indicações, submetendo-os à consideração do Presidente, para integrarem a pauta da Ordem do Dia das sessões; coordenar as funções de apoio às Comissões Permanentes, às Comissões Temporárias e Grupos de Trabalho Administrativos, das Seções de Processos Legislativos, de Redação, de Atas e Anais, de Comissões Permanentes e de Arquivo, Mecanografia e Informações; cumprir e fazer cumprir as determinações superiores; firmar os documentos expedidos pela Diretoria em favor dos demais organismos da Casa; assessorar o Presidente, a Mesa Executiva, as Comissões, os Vereadores e o Diretor Geral; executar tarefas correlatas.

                                                                                                                                    Art. 35. À Divisão de Assistência Legislativa compete desempenhar todos os passos do processo legislativo relativos à tramitação de propostas de emendas à Lei Orgânica do Município, de projetos de leis, de resolução e de decreto legislativo; elaborar a redação final dos projetos; controlar os prazos para sanção ou promulgação; manter o arquivo de leis, de emendas à Lei Orgânica do Município, de resoluções e de decretos legislativos com todos os documentos do processo legislativo do ano corrente; formatar o texto final de leis promulgadas, de emendas à Lei Orgânica do Município, de resoluções e de decretos legislativos, encaminhando-os para promulgação ao Órgão Oficial, com cópia para o Executivo; controlar o prazo para publicação e conferir o texto de atos legislativos no Órgão Oficial do Município; disponibilizar a íntegra de leis, de emendas à Lei Orgânica, de resoluções e de decretos legislativos na internet, com a formatação adequada para visualização; receber vetos aos projetos de leis, encaminhá-los para tramitação e controlar o prazo; manter arquivo auxiliar contendo documentos referentes às comissões, aos conselhos, aos comitês e aos órgãos criados por leis especiais com representação da Câmara (leis, decretos, ofícios e outros) e alimentar o respectivo cadastro no Sistema Informatizado (com controle de mandatos); apoiar a realização das sessões ordinárias, extraordinárias, solenes, secretas e especiais, elaborando as pautas, fornecendo todos os documentos necessários e/ou solicitados em Plenário, acompanhar à discussão das matérias, dar encaminhamento e alimentar o sistema informatizado de acordo com o despacho da Mesa; providenciar o controle de frequência dos vereadores e o respectivo relatório mensal; secretariar as comissões permanentes e temporárias (elaborar ofícios, relatórios, controlar o prazo destas e tomar outras providências que se fizerem necessárias); alimentar e manter atualizado, no sistema informatizado, o cadastro de Decretos do Executivo, da Legislatura, da Mesa Executiva, de Partidos, de Vereadores e de Comissões; elaborar, com dados colhidos em Plenário, ata sucinta das sessões e anais do Poder Legislativo, na forma regimental; elaborar e digitar certidões, pronunciamentos e outras matérias relevantes, pertinentes às sessões, reuniões e outros eventos ligados diretamente à atividade legislativa; organizar, em volumes, os anais da Câmara Municipal, acompanhados de índice analítico e remissivo; desempenhar outras funções que lhe forem regularmente atribuídas.

                                                                                                                                    Art. 36. À Seção de Redação e Processo Legislativo, órgão subordinado diretamente à Coordenadoria da Divisão de Assistência Legislativa, compete: cumprir e fazer cumprir as determinações regulamentares emanadas da respectiva coordenadoria; atender aos trabalhos nas sessões da Câmara Municipal; elaborar e digitar as proposições oficiais dos Vereadores e da Mesa Executiva; assessorar a Mesa Executiva, no decorrer das sessões da Câmara Municipal, sobre matéria técnico-legislativa; controlar as matérias em tramitação na Seção; digitar os autógrafos de Emendas à Lei Orgânica, projetos de lei, resoluções, decretos legislativos; redigir, revisar quanto à ortografia e digitar os expedientes oficiais, especialmente requerimentos, indicações e correspondências, afetos à competência da Diretoria Legislativa; enviar, via e-mail, quando possível, ao Gabinete do Prefeito Municipal, os autógrafos dos projetos de lei submetidos à sanção prefeitoral; auxiliar a Seção de Processos Legislativos na elaboração das proposições em geral; manter registro e controle, bem como zelar pela guarda das solicitações de serviço encaminhadas pelos senhores vereadores, destinadas a orientar a elaboração de proposições; instruir, com o auxílio da Seção de Arquivo, Mecanografia e Informações, as solicitações de serviço apresentadas pelos senhores vereadores, posteriormente destinando-as à Seção de Processos Legislativos, para os procedimentos de praxe; sempre que possível, prestar colaboração aos serviços desenvolvidos pelas demais Seções da Divisão; desempenhar outras atividades correlatas.

                                                                                                                                    Art. 37. À Seção de Comissões Permanentes e Temporárias, órgão diretamente subordinado à Coordenadoria da Divisão de Assistência Legislativa, compete: elaborar parecer, por escrito, em matéria ou proposição, quando solicitado pela Mesa Executiva, com auxílio da Procuradoria Jurídica; elaborar parecer, por escrito, quando solicitado pelas Comissões Permanentes da Câmara, em matérias que exijam apreciação técnico-legislativa; assessorar as Comissões Temporárias e Grupos de Trabalho constituídos na Câmara, em matéria técnico-legislativa, com a orientação da Procuradoria Jurídica, quando necessário; elaborar parecer, quando solicitado pela Mesa Executiva, sobre a proposta do Orçamento-Programa do Município, Plano Plurianual de Investimentos e outras matérias de natureza orçamentária, com a orientação da Coordenadoria da Divisão de Finanças, Orçamento e Contabilidade; elaborar parecer, quando solicitado pela Mesa Executiva, sobre a Prestação de Contas do Município, depois de recebido o Parecer Prévio ou Acórdão do Tribunal de Contas do Estado, também com o auxílio previsto no item anterior; assessorar os Vereadores, a Mesa Executiva, as Comissões Permanentes e Temporárias e os Grupos de Trabalho, em assuntos de sua competência; assessorar os Vereadores na apreciação do Orçamento-Programa do Município, Prestações de Contas e outras matérias pertinentes; assessorar, quando solicitado, a Diretoria Geral e a Diretoria Legislativa, sobre matéria técnico-legislativa; controlar os prazos das matérias encaminhadas às Comissões; numerar e rubricar todos os processos em tramitação no âmbito das Comissões; controlar, por sistema próprio, as matérias em tramitação nas Comissões; desempenhar outras funções correlatas que lhe forem regularmente atribuídas pela Coordenadoria da Divisão de Assistência Legislativa ou superiores hierárquicos.

                                                                                                                                    Art. 38. À Seção de Arquivo e Informações, órgão diretamente subordinado à Coordenadoria da Divisão de Assistência Legislativa, compete: cumprir e fazer cumprir as determinações regulamentares emanadas da Divisão de Assistência Legislativa; manter registro e controle de todos os processos e demais expedientes destinados ao arquivo; preservar atualizado e em boa ordem, em livro, fichas ou outro sistema adotado, o registro das matérias, de forma a assegurar localização rápida e eficiente de qualquer documento recolhido ao arquivo; organizar a coletânea das leis municipais, resoluções e decretos legislativos, requerimentos, indicações e outras matérias, anotando as alterações ou transformações havidas; realizar controle sistemático sobre o cumprimento das leis, decretos legislativos e resoluções, e as razões de sua inobservância, quando ocorrer; conservar arquivo com informações sobre as leis, decretos legislativos e resoluções em desuso, revogadas ou derrogadas; promover, periodicamente, a coletânea de leis, decretos legislativos e resoluções análogos ou afins, para efeito de consolidação de seus textos, conforme critérios e sistemas determinados pela Mesa Executiva; manter sob sua guarda e conservação os livros, revistas, publicações, coleções diversas e outras matérias de interesse da Câmara Municipal, classificando-os convenientemente; atender a consultas e requisições dos órgãos da Câmara Municipal, no que concerne à literatura técnico-legislativa e jurídica, mantendo, para tanto, fichários organizados e atualizados; manter arquivo especial, devidamente cadastrado, para documentos considerados sigilosos ou secretos; adotar sistema de segurança adequado para a guarda dos arquivos da Câmara Municipal, para evitar sua violação ou qualquer ação que possa destruí-los ou inutilizá-los; efetuar, anualmente, a triagem da documentação que se destina ao arquivo morto da Câmara Municipal; promover a microfilmagem de documentos oficiais da Câmara, de conformidade com as determinações da Mesa Executiva; expedir, quando autorizado, cópias ou fotocópias de documentos arquivados ou sob sua responsabilidade; controlar, em livro próprio, o envio de correspondências oficiais da Câmara Municipal; proceder à entrega, mediante registro, de expedientes, relatórios e outros documentos; prestar informações gerais quanto à tramitação de processos e expedientes na Câmara Municipal, quando solicitadas pelas chefias competentes; encaminhar para publicação todos os atos da Mesa Executiva e demais matérias sujeitas a esta formalidade; gravar in totum as sessões da Câmara; elaborar, mensalmente, relatório das atividades legislativas; controlar os prazos dos pedidos de informações ou de documentos encaminhados ao Executivo Municipal; extrair e fazer distribuir avulsos das matérias dadas à Ordem do Dia; organizar, em conjunto com a Divisão de Administração e Recursos Humanos, a relação dos suplentes de Vereadores, a apostilagem dos títulos de nomeação dos servidores, bem como os de posse dos Vereadores; desempenhar outras funções correlatas.

                                                                                                                                    Art. 39. À Divisão de Acompanhamento e Execução das Leis e Projetos Especiais compete o levantamento das leis municipais em vigor, realizando estudos alusivos à sua criação, redação, promulgação e cumprimento; a fiscalização do efetivo cumprimento da norma jurídica; a produção de notas técnicas e pareceres sobre a motivação, criação e regulamentação de todas as leis municipais, sempre que solicitado; a gerência das atividades da Escola do Legislativo, da Câmara Mirim, da Revista do Legislativo Maringaense, da Biblioteca da Câmara Municipal de Maringá e de outros assuntos relacionados aos projetos especiais propostos pela Presidência, Mesa Executiva ou por Vereadores.

                                                                                                                                    Art. 40. À Seção de Projetos Especiais, órgão diretamente subordinado ao Coordenador da Divisão de Acompanhamento e Execução das Leis e Projetos Especiais, compete: cumprir e fazer cumprir as determinações regularmente emanadas da Divisão; assessorar a Mesa Executiva quanto aos projetos desenvolvidos pela Divisão; controlar as matérias desenvolvidas pela Divisão em tramitação na Seção; coordenar as ações da Escola do Legislativo Maringaense, propondo palestras, fóruns, colóquios, seminários e conteúdo publicado em meio impresso ou digital; coordenar o processo de eleição, diplomação e as atividades relacionadas à Câmara Mirim; auxiliar a Divisão na elaboração da Revista do Legislativo Maringaense; prestar assessoria em projetos especiais propostos pela Presidência, Mesa Executiva ou Vereadores, os quais demandem atenção específica; desempenhar outras funções correlatas.

                                                                                                                                     

                                                                                                                                    DIRETORIA ADMINISTRATIVA

                                                                                                                                     

                                                                                                                                    Art. 41. A Diretoria Administrativa, vinculada ao Diretor Geral, tem como atribuições a realização, com a participação e concurso de suas divisões e seções, das atividades de Administração, Recursos Humanos, Licitações e Compras; Almoxarifado; Portaria, Vigilância e Segurança; Controle do Uso e da Manutenção de Veículos; Manutenção Geral; Copa e Limpeza: Telefonia e Comunicações; Finanças, Orçamento e Contabilidade; Tesouraria e Caixa; Tecnologia da Informação; Processamento de Dados; Suporte Técnico e Manutenção.

                                                                                                                                    Art. 42. O Diretor Administrativo tem as atribuições de superintender, orientar, dirigir, controlar e coordenar as atividades das divisões e seções integrantes da Diretoria Administrativa; o desenvolvimento de esforços para que as atividades sob sua direção realizem suas competências e funções mediante projetos previamente aprovados, destacando a relação custo/benefício de seus atos administrativos, cumprindo os princípios estabelecidos pelo artigo 37 da Constituição Federal; determinar estudos e, com base neles, propor ao Diretor Geral medidas de aprimoramento dos serviços e atuações de competência da Diretoria de Administração e seus órgãos subordinados; expedir autorização para a instauração dos processos licitatórios e de aquisição; determinar o levantamento mensal de relatórios demonstrativos e estatísticos do comportamento das finanças, orçamentários e apropriação das despesas reais aos vários setores da Câmara Municipal; exigir relatório de conservação geral e de veículos com demonstração estatística mensal, quadrimestral e anual e outros dados que se fizerem necessários; relatar ao Diretor Geral o desempenho global das atividades e serviços sob a responsabilidade da Diretoria Administrativa e seus órgãos subordinados; executar atividades correlatas.

                                                                                                                                    Art. 43. À Divisão de Administração e Recursos Humanos compete cumprir e fazer cumprir as determinações regulamentares emanadas da Diretoria Administrativa; supervisionar a execução dos serviços de reparo e manutenção do prédio, das instalações e do mobiliário da Câmara; o deslocamento dos bens móveis e utensílios entre as dependências da Câmara; manter cadastro atualizado dos servidores da Câmara Municipal, bem como dos Vereadores; manter atualizados os documentos dos servidores nas respectivas pastas;elaborar os atos relativos à admissão, readmissão, aproveitamento, posse, exercício, remoção, transferência, substituição e demissão do pessoal, etc.; verificar, quando da admissão de pessoal, a regularidade dos documentos exibidos; atribuir número de matrícula e expedir carteira de identidade funcional aos servidores, bem como aos Vereadores; orientar os servidores da Câmara Municipal, quando se fizer necessário, com referência aos atos ou normas de pessoal baixados pela Mesa Executiva; elaborar e supervisionar o registro de frequência dos servidores da Câmara Municipal, de conformidade com o cartão-ponto; elaborar e supervisionar a elaboração das folhas de pagamento, mensalmente, dos servidores da Câmara Municipal, bem como a respectiva ficha financeira; elaborar e supervisionar a elaboração das folhas de subsídios dos Vereadores, bem como a respectiva ficha financeira; organizar, de conformidade com as instruções da Diretoria Geral, a escala de férias dos servidores da Câmara Municipal, as quais, dentro do possível, deverão coincidir com os períodos de recesso legislativo; instruir e informar os processos administrativos, quando solicitada; efetuar e controlar o desconto das consignações nas folhas de pagamento, quando devidamente autorizado; extrair certidões referentes a assentamentos dos servidores da Câmara; manter controle e verificação do uso do relógio de ponto; elaborar instruções e programas de concurso para o provimento de cargos da administração e manter arquivo organizado dos concursos efetuados; supervisionar a remessa de informações ao Tribunal de Contas do Estado, através de sistema próprio daquele Órgão; efetuar os assentamentos relativos ao exercício do mandato dos vereadores, mantendo atualizados registros indicativos do partido pelo qual se elegerem, o número de votos obtidos nas eleições, a data da eleição e da posse, e outros dados necessários, assim como das funções que exerceram na Casa; elaborar, anualmente, relação do pessoal da Casa, exigida pelo Tribunal de Contas do Estado; organizar a relação dos suplentes de vereadores; apostilar os títulos de nomeação dos servidores, bem como os de posse dos vereadores; efetuar fotocópias de documentos diversos, mediante solicitação dos setores interessados, mantendo registro dos trabalhos executados em sistema próprio; expedir, receber e encaminhar fac-símiles; receber, cadastrar e fazer o acompanhamento mensal dos bens de consumo destinados às atividades institucionais, quanto à sua utilização e destinação; receber os bens permanentes adquiridos e/ou transferidos; exigir a devolução de materiais, quando fornecidos em caráter de substituição; promover aquisição de material, mediante solicitação, de conformidade com as normas vigentes; manter coordenação com os demais órgãos da Administração da Casa, para efeito de levantamento das necessidades de material de consumo ou de expediente; organizar, regularmente, relação do material necessário à reposição de estoque; zelar pela manutenção, conservação e recuperação do edifício do Poder Legislativo, de suas instalações, mobiliário e equipamentos, excetuados os bens e serviços em garantia, os que exijam mão-de-obra técnica ou especializada para sua recuperação e/ou aqueles que forem objeto de contratação específica por meio de licitação; responsabilizar-se pelo controle, guarda e uso adequado dos equipamentos, ferramentas, utensílios e produtos utilizados nos serviços da Câmara; manter contato com empresas prestadoras de serviços, com vistas à manutenção e conserto de máquinas, móveis e equipamentos, sempre que solicitado; controlar e fiscalizar a execução dos contratos celebrados pela Câmara, na área de sua competência, sob o aspecto do cumprimento dos serviços contratados, sempre que requisitado; manter sistema de controle da utilização do Plenário e das salas de reuniões da Câmara; hastear e arriar as bandeiras; realizar o deslocamento dos bens móveis e utensílios entre as dependências da Casa; o atendimento à central telefônica; o atendimento ao sistema de ramais, efetivação de ligações e transferências de chamadas; o atendimento, registro e controle de ligações e chamadas interurbanas; o cadastramento e controle da agenda telefônica; zelar pela manutenção, conservação e recuperação dos veículos do Poder Legislativo; manter sistema de controle mensal do uso e da manutenção dos veículos, através de planilhas próprias; promover a lavratura de termos de ocorrência e, quando necessário, solicitar a abertura de procedimentos destinados a apurar responsabilidades quanto ao uso irregular e indevido dos veículos e danos eventualmente provocados nos mesmos, por parte de seus condutores ou usuários; designar, mediante termo específico, o motorista responsável por cada veículo; promover a identificação dos veículos do Poder Legislativo, nos termos da legislação pertinente; desempenhar outras funções que lhe forem atribuídas pela Diretoria Administrativa.

                                                                                                                                    Art. 44. À Seção de Portaria, Vigilância e Segurança, órgão diretamente subordinado à Coordenadoria da Divisão de Administração e Recursos Humanos, compete o atendimento dos trabalhos de manutenção e controle da portaria; atendimento ao público, recepção, credenciamento, controle, frequência e encaminhamento de pessoas; recebimento, ordenação, classificação e encaminhamento de correspondências, jornais, revistas e publicações recebidos e a serem encaminhados; atendimento ao plenário e galeria de visitantes, aos gabinetes, repartições administrativas e garagens; controle e vigilância das dependências internas e externas do Legislativo; zelar pela ordem e segurança da Casa, sobretudo no decorrer das sessões; desempenhar outras funções que lhe forem regularmente atribuídas pela Coordenadoria da Divisão; desenvolver outras atribuições correlatas.

                                                                                                                                    Art. 45. À Seção de Copa e Limpeza, órgão diretamente subordinado à Coordenadoria da Divisão de Administração e Recursos Humanos, compete: as atividades de atendimento ao Plenário, Gabinetes e órgãos da Administração; atividades de controle do consumo e a responsabilidade da guarda dos materiais de limpeza e conservação colocados à disposição da unidade; limpeza e conservação dos móveis, utensílios e materiais vinculados às atividades institucionais da Câmara Municipal; desempenhar outras funções regulamentares que lhe forem atribuídas pela Coordenadoria da Divisão.

                                                                                                                                    Art. 46. À Divisão de Finanças, Orçamento e Contabilidade compete cumprir e fazer cumprir as determinações regulamentares emanadas da Diretoria Administrativa; efetuar o controle contábil, mediante escrituração dos atos e fatos referentes a seu patrimônio, variação das dotações orçamentárias, despesas e todos os demais atos sujeitos à contabilização; proceder aos lançamentos contábeis da documentação, em conformidade com o plano de contabilidade previamente aprovado; elaborar, com os elementos fornecidos pelas Diretorias, a proposta orçamentária da Câmara Municipal de Maringá a ser encaminhada ao Executivo Municipal, no prazo previsto em lei; elaborar, mensalmente, balancetes e demonstrativos; elaborar, mensalmente, o balancete financeiro a ser encaminhado ao Tribunal de Contas do Estado; elaborar a prestação de contas a ser encaminhada ao Executivo Municipal para posterior envio ao TCE, anualmente, com todos os documentos exigidos, dentro dos prazos legais; manter controle sobre o saldo das dotações orçamentárias, consignações ou subconsignações; atestar a identidade entre a fatura e a nota fiscal de fornecedores, referentes a aquisições feitas pela Divisão de Administração e Recursos Humanos; elaborar o empenho prévio das despesas e ordens de pagamento; efetuar conta corrente atualizada dos devedores temporários da Câmara Municipal, por adiantamentos concedidos, através de Portaria, para pequenas despesas, de modo a assegurar com exatidão os adiantamentos de cada servidor ou Vereador; organizar as prestações de contas, bem como a documentação necessária à comprovação das despesas da Câmara Municipal; fornecer elementos para a abertura de créditos adicionais; emitir parecer, quando solicitado pela Mesa Executiva, sobre a proposta do Orçamento-Programa do Município e do Plano Plurianual de Investimentos e outros de natureza orçamentária; emitir parecer, quando solicitado, sobre a prestação de contas do Município, após o Parecer Prévio ou Acórdão do Tribunal de Contas do Estado; organizar e supervisionar os serviços de tesouraria e caixa, quais sejam: registrar o recebimento, quando autorizado, do duodécimo da Câmara Municipal; efetuar o pagamento de despesas, quando regularmente processadas e autorizadas; manter registro em livro caixa do movimento referente às entradas e saídas de numerário; remeter, à Seção de Finanças, Orçamento e Contabilidade, uma via dos registros efetuados no livro caixa, juntamente com a documentação da despesa, quando paga; efetuar entrega, mediante recibo, de numerário, quando devidamente autorizada; efetuar depósitos e retiradas bancárias dos valores em poder da Câmara Municipal; manter registro de procurações para fins de pagamento; e manter controle bancário, com a conferência mensal dos extratos bancários; organizar e supervisionar os serviços de patrimônio, quais sejam: manter cadastro, registro e controle atualizados dos bens móveis e imóveis do Legislativo; promover a identificação de cada peça de bem móvel através de marcação constante de ordem numérica, que deverá corresponder ao registro geral em todas as suas características; proceder regularmente à verificação dos móveis, utensílios e maquinários, quanto à sua permanência nos órgãos para os quais estiverem carregados, corrigindo as irregularidades encontradas; proceder regularmente à verificação do estado de conservação, funcionamento e utilização dos móveis, máquinas e utensílios do Legislativo, solicitando, de imediato, à Diretoria Administrativa, as medidas que se fizerem necessárias para reparações ou substituições; elaborar, anualmente, uma relação detalhada dos bens patrimoniais do Legislativo, para ser encaminhada ao Tribunal de Contas do Estado, juntamente com a prestação de contas; zelar pela guarda e conservação do patrimônio do Legislativo, alertando, de imediato, a Diretoria Administrativa quando constatados fatos que ponham em risco sua integridade; manter rigorosamente atualizadas as fichas cadastrais do material permanente; e propor à Diretoria Administrativa a alienação ou doação de bens patrimoniais da Casa; desempenhar outras funções que lhe forem atribuídas pela Diretoria Administrativa.

                                                                                                                                    Art. 47. À Seção de Finanças, Orçamento e Contabilidade, órgão diretamente subordinado à Divisão de Finanças, Orçamento e Contabilidade, compete: cumprir e fazer cumprir as determinações regulamentares emanadas da Coordenadoria da Divisão; efetuar o controle contábil, mediante escrituração dos atos e fatos referentes a seu patrimônio, variação das dotações orçamentárias, despesas e todos os demais atos sujeitos à contabilização; proceder aos lançamentos contábeis da documentação, em conformidade com o plano de contabilidade previamente aprovado; elaborar, com os elementos fornecidos pelas Divisões, a proposta orçamentária da Câmara Municipal de Maringá a ser encaminhada ao Executivo Municipal, no prazo previsto em lei; elaborar, mensalmente, balancetes e demonstrativos; elaborar, mensalmente, o balancete financeiro a ser encaminhado ao Tribunal de Contas do Estado; elaborar a prestação de contas a ser encaminhada ao Executivo Municipal para posterior envio ao TCE, anualmente, com todos os documentos exigidos, dentro dos prazos legais; manter controle sobre o saldo das dotações orçamentárias, consignações ou subconsignações; atestar a identidade entre a fatura e a nota fiscal de fornecedores, referentes a aquisições feitas pela Seção de Licitações e Compras; elaborar o empenho prévio das despesas e ordens de pagamento; efetuar conta corrente atualizada dos devedores temporários da Câmara Municipal, por adiantamentos concedidos, através de Portaria, para pequenas despesas, de modo a assegurar com exatidão os adiantamentos de cada servidor ou Vereador; organizar as prestações de contas, bem como a documentação necessária à comprovação das despesas da Câmara Municipal; fornecer elementos para a abertura de créditos adicionais; emitir parecer, quando solicitado pela Mesa Executiva, sobre a proposta do Orçamento-Programa do Município e do Plano Plurianual de Investimentos e outros de natureza orçamentária; emitir parecer, quando solicitado, sobre a prestação de contas do Município, após o Parecer Prévio ou Acórdão do Tribunal de Contas do Estado; desempenhar outras funções que lhe forem regularmente atribuídas pela Coordenadoria da Divisão de Finanças, Orçamento e Contabilidade.

                                                                                                                                    Art. 48. À Divisão de Licitações e Compras compete cumprir e fazer cumprir as determinações regulamentares emanadas da Diretoria Administrativa; elaborar os instrumentos convocatórios das licitações; instruir os processos licitatórios; prestar apoio administrativo à Comissão Permanente de Licitações e ao Pregoeiro e Equipe de Apoio; realizar as compras de materiais e a contratação de serviços que dispensam licitações; aprimorar o planejamento, a execução e o controle das atividades de sua competência; acompanhar e registrar os preços praticados em relação a materiais e serviços; elaborar as justificativas legais nos casos de dispensa e inexigibilidade de licitação; elaborar as minutas dos instrumentos contratuais e seus aditamentos; organizar os diplomas legais e normas aplicáveis a licitações e compras; cadastrar os fornecedores de bens e materiais e de prestadores de serviços; desempenhar outras funções que lhe forem atribuídas pela Diretoria Administrativa.

                                                                                                                                    Art. 49. Além das disposições já enunciadas, são obrigações comuns aos Diretores: coordenar a escala de férias dos servidores lotados na respectiva unidade; comunicar à Divisão responsável por tal controle a efetividade dos servidores; providenciar a requisição de materiais, equipamentos e utensílios necessários ao regular funcionamento da repartição; elaborar relatório anual das atividades, sempre que requisitado.

                                                                                                                                    Art. 50. Compete às Coordenadorias de Divisão, em caráter geral: dirigir, orientar e fiscalizar as atividades desenvolvidas pelos respectivos órgãos, bem como pelas seções que lhes são subordinadas; proceder a estudos e sugerir medidas que visem ao aprimoramento dos trabalhos atinentes às unidades que dirigem; requisitar da seção de patrimônio e almoxarifado o material necessário ao trabalho do órgão que dirige; zelar pela conservação dos bens patrimoniais da Câmara Municipal sob sua responsabilidade; despachar com a diretoria hierarquicamente superior; elaborar relatórios mensais e anuais das atividades desenvolvidas pelos órgãos que dirigem; encaminhar os elementos necessários à elaboração da proposta orçamentária, com relação ao órgão que dirige, para a Divisão de Finanças, Orçamento e Contabilidade; dar informações em processos legislativos, quando solicitado; julgar justificadas ou não as faltas ao trabalho dos servidores, podendo abonar até três (03) por mês, quando se tratar de atraso na entrada ou saída do expediente; executar outras tarefas que lhe sejam regularmente atribuídas.

                                                                                                                                    Art.51. Compete às Coordenadorias de Seção, em caráter geral, cumprir e fazer cumprir as determinações superiores e as disposições referentes à unidade, desempenhando as atribuições que lhe são conferidas; supervisionar os trabalhos da unidade, dirigindo e coordenando as atividades desenvolvidas, bem como estabelecendo os devidos controles sobre a eficiência dos aspectos operacionais relativos à execução das tarefas e à eficácia dos resultados do trabalho geral da Seção, tendo em vista, sempre, a consecução dos seus objetivos, representados pelo conjunto de suas funções.

                                                                                                                                    Art. 52. As disposições contrárias ficam revogadas.

                                                                                                                                     

                                                                                                                                    Plenário Vereador Ulisses Bruder, 10 de julho de 2013.

                                                                                                                                     

                                                                                                                                     

                                                                                                                                    ULISSES DE JESUS MAIA KOTSIFAS

                                                                                                                                    Presidente

                                                                                                                                     

                                                                                                                                    Alteração feita pelo Artigo - Lei Ordinária nº 9.542, de 16 de julho de 2013.

                                                                                                                                       

                                                                                                                                      REGULAMENTO DAS FUNÇÕES E ATRIBUIÇÕES DOS ÓRGÃOS, DOS CARGOS DE PROVIMENTO EM COMISSÃO E DAS FUNÇÕES GRATIFICADAS DA CÂMARA MUNICIPAL DE MARINGÁ

                                                                                                                                       

                                                                                                                                      Art. 1.º Este Regulamento estabelece as funções e atribuições dos órgãos, dos cargos de provimento em comissão e das funções gratificadas da Câmara Municipal de Maringá.

                                                                                                                                      Art. 2.º Os cargos de provimento em comissão e as funções gratificadas da Câmara Municipal de Maringá, observadas as disposições desta Lei, são de livre nomeação e exoneração do Presidente da Câmara e se destinam às atividades de assessoramento, direção e chefia do Poder Legislativo.

                                                                                                                                      § 1.º Para atender interesse do Legislativo, o horário de trabalho dos ocupantes de cargos de provimento em comissão poderá ser flexibilizado, para ajustar-se às necessidades dos seus vários organismos, mediante prévia decisão do Presidente da Casa, respeitada a jornada diária correspondente.

                                                                                                                                      § 2.º Além das atribuições específicas de cada um, são obrigações comuns a todos os ocupantes de cargos ou funções: observar e fazer observar no âmbito da repartição e no exercício do múnus público os direitos e deveres inerentes ao cargo ou função; utilizar, operar e administrar diligentemente os serviços, móveis e equipamentos da repartição; desempenhar outras atividades meio necessárias ao cumprimento de suas atribuições, bem assim outras que lhe forem regularmente atribuídas pela autoridade responsável, relacionadas ao exercício do mandato parlamentar e aos objetivos institucionais do Legislativo.

                                                                                                                                      Art. 3.º São órgãos da Câmara Municipal de Maringá:

                                                                                                                                      1. Mesa Executiva;

                                                                                                                                      2. Gabinete da Presidência;

                                                                                                                                      3. Controladoria Interna;

                                                                                                                                      4. Coordenadoria de Comunicação Social;

                                                                                                                                      5. Procuradoria Jurídica;

                                                                                                                                      6. Gabinetes dos Vereadores;

                                                                                                                                      7. Gabinete da Primeira Secretaria;

                                                                                                                                      8. Diretoria Geral;

                                                                                                                                      9. Diretoria Legislativa;

                                                                                                                                      10. Diretoria Administrativa.

                                                                                                                                       

                                                                                                                                      MESA EXECUTIVA

                                                                                                                                       

                                                                                                                                      Art. 4.º A Mesa Executiva tem a composição determinada pela Lei Orgânica do Município e pelo Regimento Interno da Câmara.

                                                                                                                                      Art. 5.º As atribuições da Mesa Executiva da Câmara Municipal são as definidas na Lei Orgânica do Município, no Regimento Interno e na legislação que disciplina a estruturação orgânico-administrativa da Casa.

                                                                                                                                      Art. 6.º O Presidente é o representante da Câmara, judicial ou extrajudicialmente, competindo-lhe dirigir seus trabalhos legislativos e serviços administrativos, bem como fiscalizar sua ordem e disciplina.

                                                                                                                                      Art. 7.º Compete ao Primeiro-Secretário, sob a orientação do Presidente, superintender os serviços administrativos da Casa.

                                                                                                                                       

                                                                                                                                      GABINETE DA PRESIDÊNCIA

                                                                                                                                       

                                                                                                                                      Art. 8.º Ao Gabinete da Presidência, dirigido por ele próprio, com auxílio de seu Chefe de Gabinete e demais componentes do seu staff político-administrativo, compete a assistência e o encaminhamento dos assuntos do interesse da Presidência; organizar e dirigir a realização das audiências; a expedição e a recepção das correspondências do Gabinete e o desempenho das demais funções burocráticas, a critério da Presidência, e as funções de Representação do Poder Legislativo e de Administração da Casa.

                                                                                                                                      Art. 9.º O Chefe de Gabinete tem como atribuições, em síntese: a direção, orientação, controle, promoção e fiscalização das atividades inerentes ao Gabinete da Presidência; a manutenção do controle dos expedientes em tramitação no Gabinete; o recebimento, a distribuição e o encaminhamento de correspondência, ordens de serviços e demais trabalhos para execução; a supervisão da devida ordem no arquivo da Presidência; o encaminhamento ao protocolo, para distribuição, da documentação devidamente despachada; a recepção de autoridades e demais convidados e respectiva condução ao Presidente, sobretudo quando da realização de atos solenes.

                                                                                                                                       

                                                                                                                                      CONTROLADORIA INTERNA

                                                                                                                                       

                                                                                                                                      Art. 10. A Controladoria Interna, vinculada ao Presidente da Câmara, tem como atribuições a execução, com autonomia, das funções de controle interno, nos termos da legislação municipal, estadual e federal aplicável, a elaboração e manutenção de manuais de procedimentos, a elaboração do programa permanente de auditagem e a correição interna.

                                                                                                                                      Art. 11. O Controlador Interno tem as atribuições de fazer com que se efetive o controle interno das atividades da Câmara Municipal, cumprindo e fazendo cumprir a respectiva legislação federal, estadual e municipal, para o que receberá a cooperação e a colaboração devida de todas as repartições, seus titulares e servidores, tendo atendidas suas solicitações e determinações em caráter de precedência sobre as demais; assinar, juntamente com o Presidente, a Mesa Executiva e o Diretor Administrativo, o relatório das contas do Legislativo a ser enviado ao Tribunal de Contas, no que se refere à Lei de Responsabilidade Fiscal; na forma do estatuído pelo artigo 118 da Lei Orgânica do Município e artigo 215 do Regimento Interno da Câmara Municipal, promover a integração dos serviços de controle interno do Poder Legislativo com os serviços de controle interno do Poder Executivo; desenvolver as funções de controle interno na integralidade dos atos da Câmara Municipal, sejam de responsabilidade da Presidência, de todos os demais organismos da Casa, sejam de responsabilidade dos integrantes de seu funcionalismo, efetivos ou comissionados, e até de eventuais voluntários, na forma da lei; firmar documentos precedentemente ao Diretor Geral e ao Presidente, quando for o caso; dirigir a elaboração e a manutenção de manuais de procedimentos, ouvida a Mesa Executiva; fixar a programação permanente de auditagem e correição interna; pronunciar-se sobre os relatórios das atividades de controle interno; prestar informações do desenvolvimento dos trabalhos de controle interno ao Presidente, à Mesa Executiva e ao Diretor Geral, quando solicitado; o exercício de funções correlatas.

                                                                                                                                      Art. 12. O servidor responsável pelo Sistema de Controle Interno do Poder Legislativo guardará sigilo sobre dados e informações de que tiver conhecimento no exercício de suas funções, utilizando-os, exclusivamente, para a elaboração de pareceres e relatórios destinados à autoridade competente, sob pena de responsabilidade.

                                                                                                                                      Parágrafo único. O responsável pelo controle, ao tomar conhecimento de qualquer irregularidade ou ilegalidade, dela dará ciência imediata ao Presidente da Câmara Municipal.

                                                                                                                                       

                                                                                                                                      COORDENADORIA DE COMUNICAÇÃO SOCIAL

                                                                                                                                       

                                                                                                                                      Art. 13. A Coordenadoria de Comunicação Social, vinculada diretamente ao Presidente, tem como atribuições: o planejamento e a execução da política de comunicação; o estabelecimento de estratégias para a valorização do Poder Legislativo; a divulgação ampla e irrestrita das atividades da Câmara Municipal, dos seus organismos e dos Vereadores, com o objetivo de informar, educar e orientar a população; a coordenação do planejamento e da realização de campanhas publicitárias institucionais; a atividade cerimonial protocolar, nas atividades em que se fizer necessária; a formação, alimentação e manutenção do acervo multimídia na internet, garantindo à população o acesso ao mesmo.

                                                                                                                                      Art. 14.O Coordenador de Comunicação Social tem como atribuições: a coordenação da execução das atribuições de sua unidade; a participação na análise política dos fatos de interesse da Câmara Municipal; de conformidade com as instruções do Presidente e do Diretor Geral, chefiar, supervisionar e coordenar a divulgação das atividades da Câmara Municipal, dos seus organismos e dos Vereadores; a composição de programa de execução dessas atribuições e de controle das mesmas; a composição da pauta de trabalho, otimizando as atividades dos servidores integrantes de sua Coordenadoria; junto aos mesmos, o fomento da produção de noticiário para ser veiculado em todos os meios de veiculação; a orientação, seleção e crítica do material produzido; a direção na distribuição de textos, fotos e releases aos meios de comunicação de massa; aprovar a programação dos serviços fotográficos; fazer com que seja capturado em todas as formas de comunicação todo o registro das atividades da Coordenadoria, da Câmara em geral, dos Vereadores, ou aquelas veiculadas nos meios de comunicação televisada, irradiada, escrita e pela internet, para fins de composição do acervo multimídia; opinar e decidir com as autoridades superiores sobre a produção e a edição de publicações, programação de mídia impressa ou não; coordenar a produção de material gráfico de apoio a eventos e campanhas institucionais; o fornecimento, no momento oportuno, ao Diretor Geral, dos elementos necessários à composição da escala de férias; o estabelecimento e a manutenção de diretrizes necessárias ao fomento, manutenção e utilização do acervo multimídia; a autorização de solicitação de materiais, bens e serviços necessários à Coordenadoria; executar atividades correlatas.

                                                                                                                                      Art. 15. ÀSeção de Comunicação Social,órgão diretamente subordinado à Coordenadoria de Comunicação Social, compete: cumprir e fazer cumprir as determinações regularmente emanadas da Coordenadoria de Comunicação Social; desenvolver as atividades relacionadas à TV Câmara, cooperando para a execução da política de comunicação adotada pelo Poder Legislativo e a observância da legislação pertinente; colaborar na definição de estratégias e ações que visem à ampla divulgação das atividades legislativas, como forma de valorização institucional da Câmara; acompanhar as atividades de planejamento e obtenção dos elementos necessários à produção dos programas, bem como as operações relativas à execução dos programas; acompanhar e informar à respectiva coordenadoria a repercussão da programação veiculada pela TV Câmara junto aos órgãos de imprensa e à população em geral; executar outras atividades correlatas.

                                                                                                                                      Art. 16. ÀSeção de Cerimonial,órgão diretamente subordinado à Coordenadoria de Comunicação Social, compete: cumprir e fazer cumprir as determinações regularmente emanadas da Coordenadoria de Comunicação Social; executar os serviços de cerimonial em geral, bem assim a recepção de autoridades, convidados e visitantes oficiais; organizar o cerimonial das sessões plenárias e coletar as assinaturas dos Vereadores no livro de presença às sessões; organizar o calendário de eventos da Câmara; elaborar e encaminhar convites para solenidades oficiais do Legislativo; promover as relações sociais entre a Câmara e outros poderes e entidades; manter cadastro atualizado de autoridades, em nível municipal, estadual e federal; elaborar roteiros de atos solenes e de audiências públicas; proceder à divulgação de informações institucionais via internet; executar outras atividades correlatas.

                                                                                                                                       

                                                                                                                                      PROCURADORIA JURÍDICA

                                                                                                                                       

                                                                                                                                      Art. 17. A Procuradoria Jurídica, órgão vinculado ao Presidente da Casa, tem como atribuições a representação em qualquer foro ou instância da Câmara Municipal, nos feitos de que ela participe; o estudo e as providências alusivas à declaração de inconstitucionalidade; a participação na análise de temas políticos; apreciação de propostas de alteração de entendimentos de natureza jurídica, dos recursos ao Plenário, dos Recursos de Revista e/ou outros questionamentos; a manifestação nas propostas de adoção de precedentes firmados na aplicação do Regimento Interno; a promoção, direta ou indireta, do assessoramento às Comissões Especiais de Estudos, Comissões Parlamentares de Inquérito, Comissões Processantes, à Presidência, aos organismos da Casa e aos Vereadores.

                                                                                                                                      Art. 18. O Procurador Jurídico tem como atribuições: a representação em qualquer foro ou instância da Câmara Municipal, nos feitos que ela integre, inclusive em mandado de segurança proposto contra ocupantes de cargos da Mesa; o estudo e as providências alusivas à declaração de inconstitucionalidade; a participação na análise de temas políticos; estudar e minutar contratos, termos de compromisso e responsabilidade, convênios e outros atos; emitir pareceres singulares ou relatar pareceres coletivos; responder a consulta sobre interpretação de textos legais de interesse da Câmara Municipal; apreciação de propostas de alteração de entendimentos de natureza jurídica formulados pelos advogados, dos recursos ao Plenário, dos Recursos de Revista e/ou outros questionamentos; a manifestação nas propostas de adoção de precedentes firmados quanto à aplicação do Regimento Interno; o assessoramento, direto ou indireto, de Comissões Especiais de Estudos, Comissões Parlamentares de Inquérito, Comissões Processantes, da Presidência, dos organismos da Casa e dos Vereadores; o esclarecimento ao Plenário, à Mesa Executiva, aos Vereadores e aos organismos da Casa das dúvidas remanescentes; a supervisão das atividades da Procuradoria; a manifestação nos relatórios de comissões, audiências públicas, seminários, simpósios e de grupos de trabalho; a composição da escala de férias; dirigir equipes auxiliares no âmbito das atividades próprias do cargo; a execução de atividades correlatas.

                                                                                                                                       

                                                                                                                                      GABINETES DOS VEREADORES

                                                                                                                                       

                                                                                                                                      Art. 19. Aos Gabinetes dos Vereadores, dirigidos por eles próprios, com auxílio de seus Chefes de Gabinete e demais assessores, compete o auxílio, a assistência e o encaminhamento dos assuntos gerais de interesse dos Gabinetes; a organização e a direção das audiências dos Vereadores; a preparação e a expedição das correspondências; o registro e o encaminhamento, para divulgação, dos atos do titular do Gabinete; a elaboração de proposições de iniciativa dos Vereadores, com as respectivas justificativas; e o desempenho de outros serviços burocráticos, a critério dos Vereadores, e das demais atividades correlatas.

                                                                                                                                      Art. 20. São atribuições do Chefe de Gabinete: desempenhar funções internas e externas; prestar assessoramento e aconselhamento ao Vereador junto ao qual exerce as atribuições de seu cargo; realizar estudos e pesquisas para subsidiar assessoramento no exame de proposições e expedientes em geral que passem pela apreciação do Vereador; efetuar e elaborar trabalhos relacionados com o serviço e a assistência às bases, de interesse do Vereador; sugerir assuntos e temas para pronunciamento do Vereador; exercer atividades de divulgação dos trabalhos realizados e relações públicas do Vereador; controlar a assiduidade e frequência ao trabalho dos assessores lotados no respectivo Gabinete, bem como as atividades por eles realizadas; supervisionar, coordenar e controlar as atividades diárias do Gabinete, promovendo o ajuste das atividades ao plano de ações, atividades e programas.

                                                                                                                                      Art. 21. São atribuições do Assessor Parlamentar: desempenhar funções internas e externas, segundo diretrizes e orientação superior; executar trabalhos de redação e resumo de acompanhamento de reuniões e comissões; auxiliar na realização de pesquisas, estudos e elaboração de informações de interesse do Gabinete; verificar e acompanhar a tramitação de assuntos junto a repartições públicas e órgãos da Câmara; responsabilizar-se pelo recebimento e encaminhamento de pareceres de comissões que o parlamentar integre; colaborar na organização de audiências públicas ou reuniões que devam ser promovidas pelo Vereador; elaborar os projetos de lei de iniciativa do Vereador e as respectivas justificativas.

                                                                                                                                      Art. 22. São atribuições do Assessor de Gabinete: desempenhar funções internas e externas, segundo diretrizes e orientação superior; efetuar serviços de recepção, redação, digitação, organização de arquivos e catalogação dos pedidos de informações e respectivas respostas; controlar prazos e diligenciar respostas às proposições, indicações e pedidos do Vereador; colaborar na agenda política do parlamentar; manter arquivo de documentos e papéis em caráter particular endereçados ao Vereador; expedir convites e anotar todas as providências necessárias ao assessoramento do parlamentar; promover o registro de nome e endereço completo de autoridades, lideranças e cidadãos de interesse do Vereador.

                                                                                                                                      Art. 23. Os ocupantes dos cargos a que se referem os artigos 19 a 21 deverão, preferencialmente, possuir o seguinte nível mínimo de escolaridade:

                                                                                                                                      I – Chefe de Gabinete: ensino superior;

                                                                                                                                      II – Assessor Parlamentar: ensino médio;

                                                                                                                                      III – Assessor de Gabinete: ensino médio.

                                                                                                                                      Art. 24. O controle de assiduidade e frequência ao trabalho dos assessores lotados no respectivo Gabinete, bem como das atividades por eles realizadas, será exercido pelo Chefe de Gabinete, sob a supervisão do Vereador.

                                                                                                                                      Parágrafo único. O controle de que trata o caput referente ao Chefe de Gabinete será exercido direta e exclusivamente pelo Vereador.

                                                                                                                                      Art. 25. As atividades externas realizadas pelos assessores lotados no respectivo Gabinete deverão ser controladas por meio de apresentação de justificativa própria, contendo data, horário, local, tempo de permanência e assunto tratado, que deverá ser validada pelo Chefe de Gabinete e entregue ao setor de Administração e Recursos Humanos, com a anuência do Vereador, no prazo de até 3 (três) dias úteis da ocorrência, para fins de justificação de ausência do servidor do local de trabalho.

                                                                                                                                      Art. 26. Todas as atividades do Gabinete serão de responsabilidade exclusiva do Vereador, inclusive aquelas realizadas em expediente externo, observadas as disposições legais.

                                                                                                                                       

                                                                                                                                      GABINETE DA PRIMEIRA SECRETARIA

                                                                                                                                       

                                                                                                                                      Art. 27. O Gabinete da Primeira Secretaria tem as atribuições determinadas pela Lei Orgânica e pelo Regimento Interno da Casa, destacando-se a superintendência dos serviços administrativos da Casa, sob a orientação do Presidente.

                                                                                                                                      Art. 28. O Assessor de Gabinete da Primeira Secretaria tem como atribuições: a direção, orientação, controle, promoção e fiscalização das atividades inerentes ao Gabinete do Primeiro-Secretário; a manutenção do controle dos expedientes em tramitação no Gabinete; o recebimento, a distribuição e o encaminhamento de correspondências, ordens de serviços e demais trabalhos para execução; a supervisão da devida ordem no arquivo geral da Primeira Secretaria; o encaminhamento ao protocolo, para distribuição, da documentação devidamente despachada; a recepção de autoridades e demais convidados e respectiva condução ao Primeiro-Secretário, sobretudo quando da realização de atos solenes; assessorar o Primeiro-Secretário nas ações de superintendência dos serviços administrativos da Casa, cumprindo a programação de trabalho estabelecida; diligenciar o andamento dos projetos, indicações e requerimentos nas Comissões, com vistas a manter o Primeiro-Secretário apto a responder a consultas relativas à composição da Ordem do Dia das sessões; diligenciar informações sobre ações e medidas com vistas a manter o Primeiro-Secretário apto a discutir e analisar o andamento administrativo da Casa; organizar e dirigir as audiências; auxiliar, assistir e encaminhar os assuntos gerais de interesse do Gabinete; analisar a documentação destinada à assinatura do Primeiro-Secretário, orientando-o sobre os precedentes e rotinas estabelecidas; manter controle dos expedientes, papéis e demais documentos em tramitação no Gabinete; realizar os serviços pertinentes à Primeira Secretaria, à agenda e ao atendimento ao público; sugerir pronunciamentos sobre matérias em tramitação no Legislativo ou sobre acontecimentos que afetem a vida da comunidade; encaminhar demandas e retornar aos cidadãos as medidas resolutivas ou respostas a suas solicitações; agendar e organizar reuniões e debates e assessorar o Primeiro-Secretário em suas relações institucionais com os demais órgãos da Câmara Municipal e no relacionamento político-administrativo com os munícipes, órgãos e entidades públicas e privadas, associações de classe, entidades, organismos estaduais e federais; realizar contatos com autoridades públicas; representar o Primeiro-Secretário em reuniões e eventos, sempre que assim determinado pelo mesmo; sugerir encaminhamentos e pautas políticas; o registro e encaminhamento, para divulgação, dos atos do titular do Gabinete; executar tarefas correlatas.

                                                                                                                                       

                                                                                                                                      DIRETORIA GERAL

                                                                                                                                       

                                                                                                                                      Art. 29. A Diretoria Geral, vinculada diretamente ao Presidente da Casa, tem como atribuições: a discussão de temas políticos; proporcionar e garantir os serviços administrativos, legislativos, de apoio e de ação comum à Câmara, Plenário, Mesa Executiva, Presidência, Comissões Permanentes, Comissões Temporárias, Grupos de Trabalho, Frentes Parlamentares, Audiências Públicas, Vereadores e demais organismos; conduzir, de acordo com as determinações superiores, o exercício das atividades institucionais da Casa e o atendimento público, zelando para que tais procedimentos assegurem o eficiente funcionamento do Legislativo.

                                                                                                                                      Art. 30. O Diretor Geral tem como atribuições: programar, supervisionar, dirigir, coordenar, orientar e controlar a execução de todos os serviços legislativos e administrativos da Câmara Municipal; autorizar a expedição e assinar as certidões requeridas; assinar os processos de pagamento das despesas da Câmara e encaminhar à Presidência para a competente autorização e pagamento; dar posse a todos os servidores efetivos e comissionados da Câmara Municipal, mediante termo em livro próprio; conhecer de todo expediente oriundo das Diretorias; assinar ofícios, atestados, certidões, editais e outros documentos da Câmara Municipal; expedir ordens de serviços e demais atos necessários à execução dos trabalhos da Câmara Municipal, conforme instruções e decisões da Presidência; julgar justificadas ou não faltas ao serviço dos servidores, de acordo com a legislação vigente; autorizar a lotação do pessoal da Câmara Municipal; emitir despachos em processos cuja decisão caiba à autoridade superior; emitir despachos decisórios em processos de sua competência; encaminhar à Mesa Executiva, até o dia 30 de janeiro, o relatório anual circunstanciado das atividades desenvolvidas pela Câmara Municipal; propor medidas à Mesa Executiva que visem a facilitar os serviços da Câmara Municipal; apreciar e encaminhar os relatórios mensais e anuais apresentados pelos órgãos da Câmara Municipal e elaborar um relatório geral para a Mesa Executiva e a Presidência; despachar o expediente com o Presidente da Câmara Municipal; promover reuniões com os Diretores e Coordenadores das Divisões e Seções, para tratar de assuntos relacionados com os serviços da Câmara; comunicar-se com outras repartições públicas, sempre que necessário, para a resolução de assuntos de interesse da Câmara; assinar os cheques em geral, juntamente com o Presidente ou outro membro da Mesa Executiva autorizado; conservar e zelar pelos bens patrimoniais da Câmara Municipal, sob sua responsabilidade e guarda; prestar esclarecimentos em Plenário, quando solicitado; assessorar a Mesa Executiva nos atos e decisões de serviços da Câmara Municipal; assessorar a Mesa e os Vereadores em matéria de sua competência; autorizar a prestação de serviços extraordinários por parte dos servidores da Câmara, ouvidos os respectivos superiores; superintender, direta ou indiretamente, a fiscalização da execução dos contratos celebrados pela Câmara Municipal; fixar, por ato administrativo, a escala anual de férias dos servidores, ouvindo os respectivos superiores; encaminhar à Diretoria Administrativa, por intermédio da Divisão de Finanças, Orçamento e Contabilidade, a elaboração da proposta orçamentária da Câmara, devidamente aprovada pela Mesa Executiva; desempenhar outras funções correlatas.

                                                                                                                                      Art. 31. À Divisão de Tecnologia da Informação compete cumprir e fazer cumprir as determinações regulamentares emanadas da Diretoria Geral; coordenar todo o sistema de processamento de dados da Câmara Municipal; articular com os demais órgãos da Administração a melhor utilização dos equipamentos; programar a execução dos serviços necessários à modernização do sistema; acompanhar a implantação de todos os sistemas programados; apresentar estudos para melhoria do sistema, quando for o caso; adotar sistema de segurança adequado para a guarda dos arquivos, para evitar a sua violação ou qualquer ação que possa prejudicá-los; manter atualizados os dados disponíveis; realizar estudos de viabilidade técnico-econômica sobre a utilização de softwares e equipamentos, emitindo parecer quanto à conveniência de sua aquisição; executar e coordenar a confecção de normas e procedimentos para utilização dos softwares instalados; pesquisar todos os recursos dos equipamentos, proporcionando um suporte técnico e treinamento da equipe da Divisão de Tecnologia da Informação, visando à otimização e racionalização de sistemas em desenvolvimento e produção; sanar as dúvidas de quaisquer setores técnicos, quando solicitado; interagir nas áreas de desenvolvimento e produção, visando detectar problemas e dificuldades e propondo solução no sentido de obter melhor aproveitamento de equipamentos e recursos humanos; proporcionar esquemas de backup’s eficientes, bem como esquemas de recuperação e segurança, em caso de falhas operacionais e sinistros; oferecer treinamento e reciclagem aos servidores usuários do sistema; estabelecer intercâmbios, com órgãos de pesquisa ou detentores de informações, que possam ser de interesse da Câmara Municipal; desempenhar outras funções que lhe forem regularmente atribuídas.

                                                                                                                                      Art. 32. Compete à Seção de Suporte Técnico, Dados e Manutenção, subordinada diretamente à Divisão de Tecnologia da Informação: prestar suporte técnico aos usuários dos equipamentos de informática; detectar e solucionar falhas nos equipamentos de informática; substituir peças defeituosas dos equipamentos de informática; instalar, nos microcomputadores, sistema operacional ou qualquer outro sistema computacional que não esteja funcionando adequadamente; encaminhar a empresa de assistência técnica competente os equipamentos que necessitarem de reparos que não possam ser realizados no próprio local; executar os serviços de implantação, atualização, supervisão e manutenção da rede do sistema, bancos de dados e arquivos, dentre outros serviços de suporte técnico e de supervisão; preparar dispositivos para cópia de segurança dos dados armazenados nos microcomputadores e “servidores de dados”; proceder à cópia de segurança dos dados armazenados nos “servidores de dados”; manter cadastro atualizado das manutenções realizadas nos equipamentos de informática; desempenhar outras funções correlatas.

                                                                                                                                       

                                                                                                                                       DIRETORIA LEGISLATIVA

                                                                                                                                       

                                                                                                                                      Art. 33. A Diretoria Legislativa, vinculada ao Diretor Geral, tem as atribuições de iniciar, desenvolver e concluir os processos de propostas de emenda à Lei Orgânica, de projetos de leis, decretos legislativos e resoluções para apreciação do Plenário; proporcionar e dirigir os trabalhos de apoio às Comissões Permanentes, às Comissões Temporárias e Grupos de Trabalho Administrativos; aprestar substitutivos, emendas, indicações e requerimentos em geral para serem apreciados pelo Plenário; compor a Ordem do Dia das sessões, conforme as instruções do Presidente da Câmara; implementar outras atividades voltadas à regularidade e eficácia da atividade legislativa.

                                                                                                                                      Art. 34. O Diretor Legislativo tem as atribuições de participar da análise dos fatos políticos; com o concurso da Divisão de Assistência Legislativa, orientar, coordenar e dirigir a formação, o desenvolvimento e a conclusão dos processos das propostas de leis, decretos legislativos e resoluções; o aprestamento de substitutivos, emendas, requerimentos em geral e indicações, submetendo-os à consideração do Presidente, para integrarem a pauta da Ordem do Dia das sessões; coordenar as funções de apoio às Comissões Permanentes, às Comissões Temporárias e Grupos de Trabalho Administrativos, das Seções de Redação e Processo Legislativo, de Comissões Permanentes e Temporárias, de Arquivo e Informações e de Protocolo Geral; cumprir e fazer cumprir as determinações superiores; firmar os documentos expedidos pela Diretoria em favor dos demais organismos da Casa; assessorar o Presidente, a Mesa Executiva, as Comissões, os Vereadores e o Diretor Geral; executar tarefas correlatas.

                                                                                                                                      Art. 35. À Divisão de Assistência Legislativa compete desempenhar todos os passos do processo legislativo relativos à tramitação de propostas de emendas à Lei Orgânica do Município, de projetos de leis, de resolução e de decreto legislativo; elaborar a redação final dos projetos; controlar os prazos para sanção ou promulgação; manter o arquivo de leis, de emendas à Lei Orgânica do Município, de resoluções e de decretos legislativos com todos os documentos do processo legislativo do ano corrente; formatar o texto final de leis promulgadas, de emendas à Lei Orgânica do Município, de resoluções e de decretos legislativos, encaminhando-os para promulgação ao Órgão Oficial, com cópia para o Executivo; controlar o prazo para publicação e conferir o texto de atos legislativos no Órgão Oficial do Município; disponibilizar a íntegra de leis, de emendas à Lei Orgânica, de resoluções e de decretos legislativos na internet, com a formatação adequada para visualização; receber vetos aos projetos de leis, encaminhá-los para tramitação e controlar o prazo; manter arquivo auxiliar contendo documentos referentes às comissões, aos conselhos, aos comitês e aos órgãos criados por leis especiais com representação da Câmara (leis, decretos, ofícios e outros) e alimentar o respectivo cadastro no Sistema Informatizado (com controle de mandatos); apoiar a realização das sessões ordinárias, extraordinárias, solenes, secretas e especiais, elaborando as pautas, fornecendo todos os documentos necessários e/ou solicitados em Plenário, acompanhar à discussão das matérias, dar encaminhamento e alimentar o sistema informatizado de acordo com o despacho da Mesa; providenciar o controle de frequência dos vereadores e o respectivo relatório mensal; secretariar as comissões permanentes e temporárias (elaborar ofícios, relatórios, controlar o prazo destas e tomar outras providências que se fizerem necessárias); alimentar e manter atualizado, no sistema informatizado, o cadastro de Decretos do Executivo, da Legislatura, da Mesa Executiva, de Partidos, de Vereadores e de Comissões; elaborar, com dados colhidos em Plenário, ata sucinta das sessões e anais do Poder Legislativo, na forma regimental; elaborar e digitar certidões, pronunciamentos e outras matérias relevantes, pertinentes às sessões, reuniões e outros eventos ligados diretamente à atividade legislativa; organizar, em volumes, os anais da Câmara Municipal, acompanhados de índice analítico e remissivo; desempenhar outras funções que lhe forem regularmente atribuídas.

                                                                                                                                      Art. 36. Compete à Seção de Protocolo Geral da Câmara Municipal, órgão diretamente subordinado à Coordenadoria da Divisão de Assistência Legislativa: cumprir e fazer cumprir as determinações regulamentares emanadas da respectiva coordenadoria; a manutenção do protocolo geral do expediente; a remessa, recebimento, triagem e distribuição da correspondência externa e interna, conforme determinação superior; os serviços de mensageiro; protocolizar, em livro próprio, as solicitações de serviços dos Vereadores, efetuando sua triagem e encaminhamento aos setores responsáveis; elaborar a súmula do expediente recebido, para fins de leitura em plenário; remeter à publicação, mediante protocolo, todos os atos e demais matérias sujeitas a esta finalidade; distribuir, mediante protocolo, relatórios e outros documentos; acompanhar as atividades realizadas por meio do processo eletrônico de tramitação de documentos; desempenhar outras atividades correlatas.

                                                                                                                                      Art. 37. À Seção de Redação e Processo Legislativo, órgão subordinado diretamente à Coordenadoria da Divisão de Assistência Legislativa, compete: cumprir e fazer cumprir as determinações regulamentares emanadas da respectiva coordenadoria; atender aos trabalhos nas sessões da Câmara Municipal; elaborar e digitar as proposições oficiais dos Vereadores e da Mesa Executiva; assessorar a Mesa Executiva, no decorrer das sessões da Câmara Municipal, sobre matéria técnico-legislativa; controlar as matérias em tramitação na Seção; digitar os autógrafos de Emendas à Lei Orgânica, projetos de lei, resoluções, decretos legislativos; redigir, revisar quanto à ortografia e digitar os expedientes oficiais, especialmente requerimentos, indicações e correspondências, afetos à competência da Diretoria Legislativa; enviar, via e-mail, quando possível, ao Gabinete do Prefeito Municipal, os autógrafos dos projetos de lei submetidos à sanção prefeitoral; auxiliar a Seção de Processos Legislativos na elaboração das proposições em geral; manter registro e controle, bem como zelar pela guarda das solicitações de serviço encaminhadas pelos senhores vereadores, destinadas a orientar a elaboração de proposições; instruir, com o auxílio da Seção de Arquivo, Mecanografia e Informações, as solicitações de serviço apresentadas pelos senhores vereadores, posteriormente destinando-as à Seção de Processos Legislativos, para os procedimentos de praxe; sempre que possível, prestar colaboração aos serviços desenvolvidos pelas demais Seções da Divisão; desempenhar outras atividades correlatas.

                                                                                                                                      Art. 38. À Seção de Comissões Permanentes e Temporárias, órgão diretamente subordinado à Coordenadoria da Divisão de Assistência Legislativa, compete: cumprir e fazer cumprir as determinações regulamentares emanadas da respectiva coordenadoria; elaborar parecer, por escrito, em matéria ou proposição, quando solicitado pela Mesa Executiva, com auxílio da Procuradoria Jurídica; elaborar parecer, por escrito, quando solicitado pelas Comissões Permanentes da Câmara, em matérias que exijam apreciação técnico-legislativa; assessorar as Comissões Temporárias e Grupos de Trabalho constituídos na Câmara, em matéria técnico-legislativa, com a orientação da Procuradoria Jurídica, quando necessário; elaborar parecer, quando solicitado pela Mesa Executiva, sobre a proposta do Orçamento-Programa do Município, Plano Plurianual de Investimentos e outras matérias de natureza orçamentária, com a orientação da Coordenadoria da Divisão de Finanças, Orçamento e Contabilidade; elaborar parecer, quando solicitado pela Mesa Executiva, sobre a Prestação de Contas do Município, depois de recebido o Parecer Prévio ou Acórdão do Tribunal de Contas do Estado, também com o auxílio previsto no item anterior; assessorar os Vereadores, a Mesa Executiva, as Comissões Permanentes e Temporárias e os Grupos de Trabalho, em assuntos de sua competência; assessorar os Vereadores na apreciação do Orçamento-Programa do Município, Prestações de Contas e outras matérias pertinentes; assessorar, quando solicitado, a Diretoria Geral e a Diretoria Legislativa, sobre matéria técnico-legislativa; controlar os prazos das matérias encaminhadas às Comissões; numerar e rubricar todos os processos em tramitação no âmbito das Comissões; controlar, por sistema próprio, as matérias em tramitação nas Comissões; desempenhar outras funções correlatas que lhe forem regularmente atribuídas pela Coordenadoria da Divisão de Assistência Legislativa ou superiores hierárquicos.

                                                                                                                                      Art. 39. À Seção de Arquivo e Informações, órgão diretamente subordinado à Coordenadoria da Divisão de Assistência Legislativa, compete: cumprir e fazer cumprir as determinações regulamentares emanadas da Divisão de Assistência Legislativa; manter registro e controle de todos os processos e demais expedientes destinados ao arquivo; preservar atualizado e em boa ordem, em livro, fichas ou outro sistema adotado, o registro das matérias, de forma a assegurar localização rápida e eficiente de qualquer documento recolhido ao arquivo; organizar a coletânea das leis municipais, resoluções e decretos legislativos, requerimentos, indicações e outras matérias, anotando as alterações ou transformações havidas; realizar controle sistemático sobre o cumprimento das leis, decretos legislativos e resoluções, e as razões de sua inobservância, quando ocorrer; conservar arquivo com informações sobre as leis, decretos legislativos e resoluções em desuso, revogadas ou derrogadas; promover, periodicamente, a coletânea de leis, decretos legislativos e resoluções análogos ou afins, para efeito de consolidação de seus textos, conforme critérios e sistemas determinados pela Mesa Executiva; manter sob sua guarda e conservação os livros, revistas, publicações, coleções diversas e outras matérias de interesse da Câmara Municipal, classificando-os convenientemente; atender a consultas e requisições dos órgãos da Câmara Municipal, no que concerne à literatura técnico-legislativa e jurídica, mantendo, para tanto, fichários organizados e atualizados; manter arquivo especial, devidamente cadastrado, para documentos considerados sigilosos ou secretos; adotar sistema de segurança adequado para a guarda dos arquivos da Câmara Municipal, para evitar sua violação ou qualquer ação que possa destruí-los ou inutilizá-los; efetuar, anualmente, a triagem da documentação que se destina ao arquivo morto da Câmara Municipal; promover a microfilmagem de documentos oficiais da Câmara, de conformidade com as determinações da Mesa Executiva; expedir, quando autorizado, cópias ou fotocópias de documentos arquivados ou sob sua responsabilidade; controlar, em livro próprio, o envio de correspondências oficiais da Câmara Municipal; proceder à entrega, mediante registro, de expedientes, relatórios e outros documentos; prestar informações gerais quanto à tramitação de processos e expedientes na Câmara Municipal, quando solicitadas pelas chefias competentes; encaminhar para publicação todos os atos da Mesa Executiva e demais matérias sujeitas a esta formalidade; gravar in totum as sessões da Câmara; elaborar, mensalmente, relatório das atividades legislativas; controlar os prazos dos pedidos de informações ou de documentos encaminhados ao Executivo Municipal; extrair e fazer distribuir avulsos das matérias dadas à Ordem do Dia; organizar, em conjunto com a Divisão de Administração e Recursos Humanos, a relação dos suplentes de Vereadores, a apostilagem dos títulos de nomeação dos servidores, bem como os de posse dos Vereadores; desempenhar outras funções correlatas.

                                                                                                                                      Art. 40. À Divisão de Acompanhamento e Execução das Leis e Projetos Especiais compete o levantamento das leis municipais em vigor, realizando estudos alusivos à sua criação, redação, promulgação e cumprimento; a fiscalização do efetivo cumprimento da norma jurídica; a produção de notas técnicas e pareceres sobre a motivação, criação e regulamentação de todas as leis municipais, sempre que solicitado; a gerência das atividades da Escola do Legislativo, da Câmara Mirim, da Revista do Legislativo Maringaense, da Biblioteca da Câmara Municipal de Maringá e de outros assuntos relacionados aos projetos especiais propostos pela Presidência, Mesa Executiva ou por Vereadores.

                                                                                                                                      Art. 41. À Seção de Projetos Especiais, órgão diretamente subordinado ao Coordenador da Divisão de Acompanhamento e Execução das Leis e Projetos Especiais, compete: cumprir e fazer cumprir as determinações regularmente emanadas da Divisão; assessorar a Mesa Executiva quanto aos projetos desenvolvidos pela Divisão; controlar as matérias desenvolvidas pela Divisão em tramitação na Seção; coordenar as ações da Escola do Legislativo Maringaense, propondo palestras, fóruns, colóquios, seminários e conteúdo publicado em meio impresso ou digital; coordenar o processo de eleição, diplomação e as atividades relacionadas à Câmara Mirim; auxiliar a Divisão na elaboração da Revista do Legislativo Maringaense; prestar assessoria em projetos especiais propostos pela Presidência, Mesa Executiva ou Vereadores, os quais demandem atenção específica; desempenhar outras funções correlatas.

                                                                                                                                       

                                                                                                                                      DIRETORIA ADMINISTRATIVA

                                                                                                                                       

                                                                                                                                      Art. 42. A Diretoria Administrativa, vinculada ao Diretor Geral, tem como atribuições a realização, com a participação e concurso de suas divisões e seções, das atividades de Administração, Recursos Humanos, Licitações e Compras; Almoxarifado; Portaria, Vigilância e Segurança; Controle do Uso e da Manutenção de Veículos; Manutenção Geral; Copa e Limpeza: Telefonia e Comunicações; Finanças, Orçamento e Contabilidade; Tesouraria e Caixa; Tecnologia da Informação; Processamento de Dados; Suporte Técnico e Manutenção.

                                                                                                                                      Art. 43. O Diretor Administrativo tem as atribuições de superintender, orientar, dirigir, controlar e coordenar as atividades das divisões e seções integrantes da Diretoria Administrativa; o desenvolvimento de esforços para que as atividades sob sua direção realizem suas competências e funções mediante projetos previamente aprovados, destacando a relação custo/benefício de seus atos administrativos, cumprindo os princípios estabelecidos pelo artigo 37 da Constituição Federal; determinar estudos e, com base neles, propor ao Diretor Geral medidas de aprimoramento dos serviços e atuações de competência da Diretoria de Administração e seus órgãos subordinados; expedir autorização para a instauração dos processos licitatórios e de aquisição; determinar o levantamento mensal de relatórios demonstrativos e estatísticos do comportamento das finanças, orçamentários e apropriação das despesas reais aos vários setores da Câmara Municipal; exigir relatório de conservação geral e de veículos com demonstração estatística mensal, quadrimestral e anual e outros dados que se fizerem necessários; relatar ao Diretor Geral o desempenho global das atividades e serviços sob a responsabilidade da Diretoria Administrativa e seus órgãos subordinados; executar atividades correlatas.

                                                                                                                                      Art. 44. À Divisão de Administração e Recursos Humanos compete cumprir e fazer cumprir as determinações regulamentares emanadas da Diretoria Administrativa; supervisionar a execução dos serviços de reparo e manutenção do prédio, das instalações e do mobiliário da Câmara; o deslocamento dos bens móveis e utensílios entre as dependências da Câmara; manter cadastro atualizado dos servidores da Câmara Municipal, bem como dos Vereadores; manter atualizados os documentos dos servidores nas respectivas pastas;elaborar os atos relativos à admissão, readmissão, aproveitamento, posse, exercício, remoção, transferência, substituição e demissão do pessoal, etc.; verificar, quando da admissão de pessoal, a regularidade dos documentos exibidos; atribuir número de matrícula e expedir carteira de identidade funcional aos servidores, bem como aos Vereadores; orientar os servidores da Câmara Municipal, quando se fizer necessário, com referência aos atos ou normas de pessoal baixados pela Mesa Executiva; elaborar e supervisionar o registro de frequência dos servidores da Câmara Municipal, de conformidade com o cartão-ponto; elaborar e supervisionar a elaboração das folhas de pagamento, mensalmente, dos servidores da Câmara Municipal, bem como a respectiva ficha financeira; elaborar e supervisionar a elaboração das folhas de subsídios dos Vereadores, bem como a respectiva ficha financeira; organizar, de conformidade com as instruções da Diretoria Geral, a escala de férias dos servidores da Câmara Municipal, as quais, dentro do possível, deverão coincidir com os períodos de recesso legislativo; instruir e informar os processos administrativos, quando solicitada; efetuar e controlar o desconto das consignações nas folhas de pagamento, quando devidamente autorizado; extrair certidões referentes a assentamentos dos servidores da Câmara; manter controle e verificação do uso do relógio de ponto; elaborar instruções e programas de concurso para o provimento de cargos da administração e manter arquivo organizado dos concursos efetuados; supervisionar a remessa de informações ao Tribunal de Contas do Estado, através de sistema próprio daquele Órgão; efetuar os assentamentos relativos ao exercício do mandato dos vereadores, mantendo atualizados registros indicativos do partido pelo qual se elegerem, o número de votos obtidos nas eleições, a data da eleição e da posse, e outros dados necessários, assim como das funções que exerceram na Casa; elaborar, anualmente, relação do pessoal da Casa, exigida pelo Tribunal de Contas do Estado; organizar a relação dos suplentes de vereadores; apostilar os títulos de nomeação dos servidores, bem como os de posse dos vereadores; efetuar fotocópias de documentos diversos, mediante solicitação dos setores interessados, mantendo registro dos trabalhos executados em sistema próprio; expedir, receber e encaminhar fac-símiles; receber, cadastrar e fazer o acompanhamento mensal dos bens de consumo destinados às atividades institucionais, quanto à sua utilização e destinação; receber os bens permanentes adquiridos e/ou transferidos; exigir a devolução de materiais, quando fornecidos em caráter de substituição; promover aquisição de material, mediante solicitação, de conformidade com as normas vigentes; manter coordenação com os demais órgãos da Administração da Casa, para efeito de levantamento das necessidades de material de consumo ou de expediente; organizar, regularmente, relação do material necessário à reposição de estoque; zelar pela manutenção, conservação e recuperação do edifício do Poder Legislativo, de suas instalações, mobiliário e equipamentos, excetuados os bens e serviços em garantia, os que exijam mão-de-obra técnica ou especializada para sua recuperação e/ou aqueles que forem objeto de contratação específica por meio de licitação; responsabilizar-se pelo controle, guarda e uso adequado dos equipamentos, ferramentas, utensílios e produtos utilizados nos serviços da Câmara; manter contato com empresas prestadoras de serviços, com vistas à manutenção e conserto de máquinas, móveis e equipamentos, sempre que solicitado; controlar e fiscalizar a execução dos contratos celebrados pela Câmara, na área de sua competência, sob o aspecto do cumprimento dos serviços contratados, sempre que requisitado; manter sistema de controle da utilização do Plenário e das salas de reuniões da Câmara; hastear e arriar as bandeiras; realizar o deslocamento dos bens móveis e utensílios entre as dependências da Casa; o atendimento à central telefônica; o atendimento ao sistema de ramais, efetivação de ligações e transferências de chamadas; o atendimento, registro e controle de ligações e chamadas interurbanas; o cadastramento e controle da agenda telefônica; zelar pela manutenção, conservação e recuperação dos veículos do Poder Legislativo; manter sistema de controle mensal do uso e da manutenção dos veículos, através de planilhas próprias; promover a lavratura de termos de ocorrência e, quando necessário, solicitar a abertura de procedimentos destinados a apurar responsabilidades quanto ao uso irregular e indevido dos veículos e danos eventualmente provocados nos mesmos, por parte de seus condutores ou usuários; designar, mediante termo específico, o motorista responsável por cada veículo; promover a identificação dos veículos do Poder Legislativo, nos termos da legislação pertinente; desempenhar outras funções que lhe forem atribuídas pela Diretoria Administrativa.

                                                                                                                                      Art. 45. À Seção de Portaria, Vigilância e Segurança, órgão diretamente subordinado à Coordenadoria da Divisão de Administração e Recursos Humanos, compete o atendimento dos trabalhos de manutenção e controle da portaria; atendimento ao público, recepção, credenciamento, controle, frequência e encaminhamento de pessoas; recebimento, ordenação, classificação e encaminhamento de correspondências, jornais, revistas e publicações recebidos e a serem encaminhados; atendimento ao plenário e galeria de visitantes, aos gabinetes, repartições administrativas e garagens; controle e vigilância das dependências internas e externas do Legislativo; zelar pela ordem e segurança da Casa, sobretudo no decorrer das sessões; desempenhar outras funções que lhe forem regularmente atribuídas pela Coordenadoria da Divisão; desenvolver outras atribuições correlatas.

                                                                                                                                      Art. 46. À Seção de Copa e Limpeza, órgão diretamente subordinado à Coordenadoria da Divisão de Administração e Recursos Humanos, compete: as atividades de atendimento ao Plenário, Gabinetes e órgãos da Administração; atividades de controle do consumo e a responsabilidade da guarda dos materiais de limpeza e conservação colocados à disposição da unidade; limpeza e conservação dos móveis, utensílios e materiais vinculados às atividades institucionais da Câmara Municipal; desempenhar outras funções regulamentares que lhe forem atribuídas pela Coordenadoria da Divisão.

                                                                                                                                      Art. 47. À Divisão de Finanças, Orçamento e Contabilidade compete cumprir e fazer cumprir as determinações regulamentares emanadas da Diretoria Administrativa; efetuar o controle contábil, mediante escrituração dos atos e fatos referentes a seu patrimônio, variação das dotações orçamentárias, despesas e todos os demais atos sujeitos à contabilização; proceder aos lançamentos contábeis da documentação, em conformidade com o plano de contabilidade previamente aprovado; elaborar, com os elementos fornecidos pelas Diretorias, a proposta orçamentária da Câmara Municipal de Maringá a ser encaminhada ao Executivo Municipal, no prazo previsto em lei; elaborar, mensalmente, balancetes e demonstrativos; elaborar, mensalmente, o balancete financeiro a ser encaminhado ao Tribunal de Contas do Estado; elaborar a prestação de contas a ser encaminhada ao Executivo Municipal para posterior envio ao TCE, anualmente, com todos os documentos exigidos, dentro dos prazos legais; manter controle sobre o saldo das dotações orçamentárias, consignações ou subconsignações; atestar a identidade entre a fatura e a nota fiscal de fornecedores, referentes a aquisições feitas pela Divisão de Administração e Recursos Humanos; elaborar o empenho prévio das despesas e ordens de pagamento; efetuar conta corrente atualizada dos devedores temporários da Câmara Municipal, por adiantamentos concedidos, através de Portaria, para pequenas despesas, de modo a assegurar com exatidão os adiantamentos de cada servidor ou Vereador; organizar as prestações de contas, bem como a documentação necessária à comprovação das despesas da Câmara Municipal; fornecer elementos para a abertura de créditos adicionais; emitir parecer, quando solicitado pela Mesa Executiva, sobre a proposta do Orçamento-Programa do Município e do Plano Plurianual de Investimentos e outros de natureza orçamentária; emitir parecer, quando solicitado, sobre a prestação de contas do Município, após o Parecer Prévio ou Acórdão do Tribunal de Contas do Estado; organizar e supervisionar os serviços de tesouraria e caixa, quais sejam: registrar o recebimento, quando autorizado, do duodécimo da Câmara Municipal; efetuar o pagamento de despesas, quando regularmente processadas e autorizadas; manter registro em livro caixa do movimento referente às entradas e saídas de numerário; remeter, à Seção de Finanças, Orçamento e Contabilidade, uma via dos registros efetuados no livro caixa, juntamente com a documentação da despesa, quando paga; efetuar entrega, mediante recibo, de numerário, quando devidamente autorizada; efetuar depósitos e retiradas bancárias dos valores em poder da Câmara Municipal; manter registro de procurações para fins de pagamento; e manter controle bancário, com a conferência mensal dos extratos bancários; organizar e supervisionar os serviços de patrimônio, quais sejam: manter cadastro, registro e controle atualizados dos bens móveis e imóveis do Legislativo; promover a identificação de cada peça de bem móvel através de marcação constante de ordem numérica, que deverá corresponder ao registro geral em todas as suas características; proceder regularmente à verificação dos móveis, utensílios e maquinários, quanto à sua permanência nos órgãos para os quais estiverem carregados, corrigindo as irregularidades encontradas; proceder regularmente à verificação do estado de conservação, funcionamento e utilização dos móveis, máquinas e utensílios do Legislativo, solicitando, de imediato, à Diretoria Administrativa, as medidas que se fizerem necessárias para reparações ou substituições; elaborar, anualmente, uma relação detalhada dos bens patrimoniais do Legislativo, para ser encaminhada ao Tribunal de Contas do Estado, juntamente com a prestação de contas; zelar pela guarda e conservação do patrimônio do Legislativo, alertando, de imediato, a Diretoria Administrativa quando constatados fatos que ponham em risco sua integridade; manter rigorosamente atualizadas as fichas cadastrais do material permanente; e propor à Diretoria Administrativa a alienação ou doação de bens patrimoniais da Casa; desempenhar outras funções que lhe forem atribuídas pela Diretoria Administrativa.

                                                                                                                                      Art. 48. À Seção de Finanças, Orçamento e Contabilidade, órgão diretamente subordinado à Divisão de Finanças, Orçamento e Contabilidade, compete: cumprir e fazer cumprir as determinações regulamentares emanadas da Coordenadoria da Divisão; efetuar o controle contábil, mediante escrituração dos atos e fatos referentes a seu patrimônio, variação das dotações orçamentárias, despesas e todos os demais atos sujeitos à contabilização; proceder aos lançamentos contábeis da documentação, em conformidade com o plano de contabilidade previamente aprovado; elaborar, com os elementos fornecidos pelas Divisões, a proposta orçamentária da Câmara Municipal de Maringá a ser encaminhada ao Executivo Municipal, no prazo previsto em lei; elaborar, mensalmente, balancetes e demonstrativos; elaborar, mensalmente, o balancete financeiro a ser encaminhado ao Tribunal de Contas do Estado; elaborar a prestação de contas a ser encaminhada ao Executivo Municipal para posterior envio ao TCE, anualmente, com todos os documentos exigidos, dentro dos prazos legais; manter controle sobre o saldo das dotações orçamentárias, consignações ou subconsignações; atestar a identidade entre a fatura e a nota fiscal de fornecedores, referentes a aquisições feitas pela Seção de Licitações e Compras; elaborar o empenho prévio das despesas e ordens de pagamento; efetuar conta corrente atualizada dos devedores temporários da Câmara Municipal, por adiantamentos concedidos, através de Portaria, para pequenas despesas, de modo a assegurar com exatidão os adiantamentos de cada servidor ou Vereador; organizar as prestações de contas, bem como a documentação necessária à comprovação das despesas da Câmara Municipal; fornecer elementos para a abertura de créditos adicionais; emitir parecer, quando solicitado pela Mesa Executiva, sobre a proposta do Orçamento-Programa do Município e do Plano Plurianual de Investimentos e outros de natureza orçamentária; emitir parecer, quando solicitado, sobre a prestação de contas do Município, após o Parecer Prévio ou Acórdão do Tribunal de Contas do Estado; desempenhar outras funções que lhe forem regularmente atribuídas pela Coordenadoria da Divisão de Finanças, Orçamento e Contabilidade.

                                                                                                                                      Art. 49. À Divisão de Licitações e Compras compete cumprir e fazer cumprir as determinações regulamentares emanadas da Diretoria Administrativa; elaborar os instrumentos convocatórios das licitações; instruir os processos licitatórios; prestar apoio administrativo à Comissão Permanente de Licitações e ao Pregoeiro e Equipe de Apoio; realizar as compras de materiais e a contratação de serviços que dispensam licitações; aprimorar o planejamento, a execução e o controle das atividades de sua competência; acompanhar e registrar os preços praticados em relação a materiais e serviços; elaborar as justificativas legais nos casos de dispensa e inexigibilidade de licitação; elaborar as minutas dos instrumentos contratuais e seus aditamentos; organizar os diplomas legais e normas aplicáveis a licitações e compras; cadastrar os fornecedores de bens e materiais e de prestadores de serviços; desempenhar outras funções que lhe forem atribuídas pela Diretoria Administrativa.

                                                                                                                                      Art. 50. Além das disposições já enunciadas, são obrigações comuns aos Diretores: coordenar a escala de férias dos servidores lotados na respectiva unidade; comunicar à Divisão responsável por tal controle a efetividade dos servidores; providenciar a requisição de materiais, equipamentos e utensílios necessários ao regular funcionamento da repartição; elaborar relatório anual das atividades, sempre que requisitado.

                                                                                                                                      Art. 51. Compete às Coordenadorias de Divisão, em caráter geral: dirigir, orientar e fiscalizar as atividades desenvolvidas pelos respectivos órgãos, bem como pelas seções que lhes são subordinadas; proceder a estudos e sugerir medidas que visem ao aprimoramento dos trabalhos atinentes às unidades que dirigem; requisitar da seção de patrimônio e almoxarifado o material necessário ao trabalho do órgão que dirige; zelar pela conservação dos bens patrimoniais da Câmara Municipal sob sua responsabilidade; despachar com a diretoria hierarquicamente superior; elaborar relatórios mensais e anuais das atividades desenvolvidas pelos órgãos que dirigem; encaminhar os elementos necessários à elaboração da proposta orçamentária, com relação ao órgão que dirige, para a Divisão de Finanças, Orçamento e Contabilidade; dar informações em processos legislativos, quando solicitado; julgar justificadas ou não as faltas ao trabalho dos servidores, podendo abonar até três (03) por mês, quando se tratar de atraso na entrada ou saída do expediente; executar outras tarefas que lhe sejam regularmente atribuídas.

                                                                                                                                      Art.52. Compete às Coordenadorias de Seção, em caráter geral, cumprir e fazer cumprir as determinações superiores e as disposições referentes à unidade, desempenhando as atribuições que lhe são conferidas; supervisionar os trabalhos da unidade, dirigindo e coordenando as atividades desenvolvidas, bem como estabelecendo os devidos controles sobre a eficiência dos aspectos operacionais relativos à execução das tarefas e à eficácia dos resultados do trabalho geral da Seção, tendo em vista, sempre, a consecução dos seus objetivos, representados pelo conjunto de suas funções.

                                                                                                                                      Art. 53. As disposições contrárias ficam revogadas.

                                                                                                                                       

                                                                                                                                      Plenário Vereador Ulisses Bruder, 27 de junho de 2014.

                                                                                                                                       

                                                                                                                                       

                                                                                                                                      ULISSES DE JESUS MAIA KOTSIFAS

                                                                                                                                      Presidente

                                                                                                                                      Alteração feita pelo Artigo - Lei Ordinária nº 9.792, de 09 de julho de 2014.

                                                                                                                                         

                                                                                                                                        REGULAMENTO DAS FUNÇÕES E ATRIBUIÇÕES DOS ÓRGÃOS, DOS CARGOS DE PROVIMENTO EM COMISSÃO E DAS FUNÇÕES GRATIFICADAS DA CÂMARA MUNICIPAL DE MARINGÁ

                                                                                                                                         

                                                                                                                                        Art. 1.º Este Regulamento estabelece as funções e atribuições dos órgãos, dos cargos de provimento em comissão e das funções gratificadas da Câmara Municipal de Maringá.

                                                                                                                                        Art. 2.º Os cargos de provimento em comissão e as funções gratificadas da Câmara Municipal de Maringá, observadas as disposições desta Lei, são de livre nomeação e exoneração do Presidente da Câmara e se destinam às atividades de assessoramento, direção e chefia do Poder Legislativo.

                                                                                                                                        § 1.º Para atender interesse do Legislativo, o horário de trabalho dos ocupantes de cargos de provimento em comissão poderá ser flexibilizado, para ajustar-se às necessidades dos seus vários organismos, mediante prévia decisão do Presidente da Casa, respeitada a jornada diária correspondente.

                                                                                                                                        § 2.º Além das atribuições específicas de cada um, são obrigações comuns a todos os ocupantes de cargos ou funções: observar e fazer observar no âmbito da repartição e no exercício do múnus público os direitos e deveres inerentes ao cargo ou função; utilizar, operar e administrar diligentemente os serviços, móveis e equipamentos da repartição; desempenhar outras atividades meio necessárias ao cumprimento de suas atribuições, bem assim outras que lhe forem regularmente atribuídas pela autoridade responsável, relacionadas ao exercício do mandato parlamentar e aos objetivos institucionais do Legislativo.

                                                                                                                                        Art. 3.º São órgãos da Câmara Municipal de Maringá:

                                                                                                                                        1. Mesa Executiva;

                                                                                                                                        2. Gabinete da Presidência;

                                                                                                                                        3. Controladoria Interna;

                                                                                                                                        4. Coordenadoria de Comunicação Social;

                                                                                                                                        5. Procuradoria Jurídica;

                                                                                                                                        6. Gabinetes dos Vereadores;

                                                                                                                                        7. Gabinete da Primeira Secretaria;

                                                                                                                                        8. Diretoria Geral;

                                                                                                                                        9. Diretoria Legislativa;

                                                                                                                                        10. Diretoria Administrativa.

                                                                                                                                         

                                                                                                                                        MESA EXECUTIVA

                                                                                                                                         

                                                                                                                                        Art. 4.º A Mesa Executiva tem a composição determinada pela Lei Orgânica do Município e pelo Regimento Interno da Câmara.

                                                                                                                                        Art. 5.º As atribuições da Mesa Executiva da Câmara Municipal são as definidas na Lei Orgânica do Município, no Regimento Interno e na legislação que disciplina a estruturação orgânico-administrativa da Casa.

                                                                                                                                        Art. 6.º O Presidente é o representante da Câmara, judicial ou extrajudicialmente, competindo-lhe dirigir seus trabalhos legislativos e serviços administrativos, bem como fiscalizar sua ordem e disciplina.

                                                                                                                                        Art. 7.º Compete ao Primeiro-Secretário, sob a orientação do Presidente, superintender os serviços administrativos da Casa.

                                                                                                                                         

                                                                                                                                        GABINETE DA PRESIDÊNCIA

                                                                                                                                         

                                                                                                                                        Art. 8.º Ao Gabinete da Presidência, dirigido por ele próprio, com auxílio de seu Chefe de Gabinete e demais componentes do seu staff político-administrativo, compete a assistência e o encaminhamento dos assuntos do interesse da Presidência; organizar e dirigir a realização das audiências; a expedição e a recepção das correspondências do Gabinete e o desempenho das demais funções burocráticas, a critério da Presidência, e as funções de Representação do Poder Legislativo e de Administração da Casa.

                                                                                                                                        Art. 9.º O Chefe de Gabinete tem como atribuições, em síntese: a direção, orientação, controle, promoção e fiscalização das atividades inerentes ao Gabinete da Presidência; a manutenção do controle dos expedientes em tramitação no Gabinete; o recebimento, a distribuição e o encaminhamento de correspondência, ordens de serviços e demais trabalhos para execução; a supervisão da devida ordem no arquivo da Presidência; o encaminhamento ao protocolo, para distribuição, da documentação devidamente despachada; a recepção de autoridades e demais convidados e respectiva condução ao Presidente, sobretudo quando da realização de atos solenes.

                                                                                                                                         

                                                                                                                                        CONTROLADORIA INTERNA

                                                                                                                                         

                                                                                                                                        Art. 10. A Controladoria Interna, vinculada ao Presidente da Câmara, tem como atribuições a execução, com autonomia, das funções de controle interno, nos termos da legislação municipal, estadual e federal aplicável, a elaboração e manutenção de manuais de procedimentos, a elaboração do programa permanente de auditagem e a correição interna.

                                                                                                                                        Art. 11. O Controlador Interno tem as atribuições de fazer com que se efetive o controle interno das atividades da Câmara Municipal, cumprindo e fazendo cumprir a respectiva legislação federal, estadual e municipal, para o que receberá a cooperação e a colaboração devida de todas as repartições, seus titulares e servidores, tendo atendidas suas solicitações e determinações em caráter de precedência sobre as demais; assinar, juntamente com o Presidente, a Mesa Executiva e o Diretor Administrativo, o relatório das contas do Legislativo a ser enviado ao Tribunal de Contas, no que se refere à Lei de Responsabilidade Fiscal; na forma do estatuído pelo artigo 118 da Lei Orgânica do Município e artigo 215 do Regimento Interno da Câmara Municipal, promover a integração dos serviços de controle interno do Poder Legislativo com os serviços de controle interno do Poder Executivo; desenvolver as funções de controle interno na integralidade dos atos da Câmara Municipal, sejam de responsabilidade da Presidência, de todos os demais organismos da Casa, sejam de responsabilidade dos integrantes de seu funcionalismo, efetivos ou comissionados, e até de eventuais voluntários, na forma da lei; firmar documentos precedentemente ao Diretor Geral e ao Presidente, quando for o caso; dirigir a elaboração e a manutenção de manuais de procedimentos, ouvida a Mesa Executiva; fixar a programação permanente de auditagem e correição interna; pronunciar-se sobre os relatórios das atividades de controle interno; prestar informações do desenvolvimento dos trabalhos de controle interno ao Presidente, à Mesa Executiva e ao Diretor Geral, quando solicitado; o exercício de funções correlatas.

                                                                                                                                        Art. 12. O servidor responsável pelo Sistema de Controle Interno do Poder Legislativo guardará sigilo sobre dados e informações de que tiver conhecimento no exercício de suas funções, utilizando-os, exclusivamente, para a elaboração de pareceres e relatórios destinados à autoridade competente, sob pena de responsabilidade.

                                                                                                                                        Parágrafo único. O responsável pelo controle, ao tomar conhecimento de qualquer irregularidade ou ilegalidade, dela dará ciência imediata ao Presidente da Câmara Municipal.

                                                                                                                                         

                                                                                                                                        COORDENADORIA DE COMUNICAÇÃO SOCIAL

                                                                                                                                         

                                                                                                                                        Art. 13. A Coordenadoria de Comunicação Social, vinculada diretamente ao Presidente, tem como atribuições: o planejamento e a execução da política de comunicação; o estabelecimento de estratégias para a valorização do Poder Legislativo; a divulgação ampla e irrestrita das atividades da Câmara Municipal, dos seus organismos e dos Vereadores, com o objetivo de informar, educar e orientar a população; a coordenação do planejamento e da realização de campanhas publicitárias institucionais; a atividade cerimonial protocolar, nas atividades em que se fizer necessária; a formação, alimentação e manutenção do acervo multimídia na internet, garantindo à população o acesso ao mesmo.

                                                                                                                                        Art. 14.O Coordenador de Comunicação Social tem como atribuições: a coordenação da execução das atribuições de sua unidade; a participação na análise política dos fatos de interesse da Câmara Municipal; de conformidade com as instruções do Presidente e do Diretor Geral, chefiar, supervisionar e coordenar a divulgação das atividades da Câmara Municipal, dos seus organismos e dos Vereadores; a composição de programa de execução dessas atribuições e de controle das mesmas; a composição da pauta de trabalho, otimizando as atividades dos servidores integrantes de sua Coordenadoria; junto aos mesmos, o fomento da produção de noticiário para ser veiculado em todos os meios de veiculação; a orientação, seleção e crítica do material produzido; a direção na distribuição de textos, fotos e releases aos meios de comunicação de massa; aprovar a programação dos serviços fotográficos; fazer com que seja capturado em todas as formas de comunicação todo o registro das atividades da Coordenadoria, da Câmara em geral, dos Vereadores, ou aquelas veiculadas nos meios de comunicação televisada, irradiada, escrita e pela internet, para fins de composição do acervo multimídia; opinar e decidir com as autoridades superiores sobre a produção e a edição de publicações, programação de mídia impressa ou não; coordenar a produção de material gráfico de apoio a eventos e campanhas institucionais; o fornecimento, no momento oportuno, ao Diretor Geral, dos elementos necessários à composição da escala de férias; o estabelecimento e a manutenção de diretrizes necessárias ao fomento, manutenção e utilização do acervo multimídia; a autorização de solicitação de materiais, bens e serviços necessários à Coordenadoria; executar atividades correlatas.

                                                                                                                                        Art. 15. ÀSeção de Comunicação Social,órgão diretamente subordinado à Coordenadoria de Comunicação Social, compete: cumprir e fazer cumprir as determinações regularmente emanadas da Coordenadoria de Comunicação Social; desenvolver as atividades relacionadas à TV Câmara, cooperando para a execução da política de comunicação adotada pelo Poder Legislativo e a observância da legislação pertinente; colaborar na definição de estratégias e ações que visem à ampla divulgação das atividades legislativas, como forma de valorização institucional da Câmara; acompanhar as atividades de planejamento e obtenção dos elementos necessários à produção dos programas, bem como as operações relativas à execução dos programas; acompanhar e informar à respectiva coordenadoria a repercussão da programação veiculada pela TV Câmara junto aos órgãos de imprensa e à população em geral; executar outras atividades correlatas.

                                                                                                                                        Art. 16. ÀSeção de Cerimonial,órgão diretamente subordinado à Coordenadoria de Comunicação Social, compete: cumprir e fazer cumprir as determinações regularmente emanadas da Coordenadoria de Comunicação Social; executar os serviços de cerimonial em geral, bem assim a recepção de autoridades, convidados e visitantes oficiais; organizar o cerimonial das sessões plenárias e coletar as assinaturas dos Vereadores no livro de presença às sessões; organizar o calendário de eventos da Câmara; elaborar e encaminhar convites para solenidades oficiais do Legislativo; promover as relações sociais entre a Câmara e outros poderes e entidades; manter cadastro atualizado de autoridades, em nível municipal, estadual e federal; elaborar roteiros de atos solenes e de audiências públicas; proceder à divulgação de informações institucionais via internet; executar outras atividades correlatas.

                                                                                                                                         

                                                                                                                                        PROCURADORIA JURÍDICA

                                                                                                                                         

                                                                                                                                        Art. 17. A Procuradoria Jurídica, órgão vinculado ao Presidente da Casa, tem como atribuições a representação em qualquer foro ou instância da Câmara Municipal, nos feitos de que ela participe; o estudo e as providências alusivas à declaração de inconstitucionalidade; a participação na análise de temas políticos; apreciação de propostas de alteração de entendimentos de natureza jurídica, dos recursos ao Plenário, dos Recursos de Revista e/ou outros questionamentos; a manifestação nas propostas de adoção de precedentes firmados na aplicação do Regimento Interno; a promoção, direta ou indireta, do assessoramento às Comissões Especiais de Estudos, Comissões Parlamentares de Inquérito, Comissões Processantes, à Presidência, aos organismos da Casa e aos Vereadores.

                                                                                                                                        Art. 18. O Procurador Jurídico tem como atribuições: a representação em qualquer foro ou instância da Câmara Municipal, nos feitos que ela integre, inclusive em mandado de segurança proposto contra ocupantes de cargos da Mesa; o estudo e as providências alusivas à declaração de inconstitucionalidade; a participação na análise de temas políticos; estudar e minutar contratos, termos de compromisso e responsabilidade, convênios e outros atos; emitir pareceres singulares ou relatar pareceres coletivos; responder a consulta sobre interpretação de textos legais de interesse da Câmara Municipal; apreciação de propostas de alteração de entendimentos de natureza jurídica formulados pelos advogados, dos recursos ao Plenário, dos Recursos de Revista e/ou outros questionamentos; a manifestação nas propostas de adoção de precedentes firmados quanto à aplicação do Regimento Interno; o assessoramento, direto ou indireto, de Comissões Especiais de Estudos, Comissões Parlamentares de Inquérito, Comissões Processantes, da Presidência, dos organismos da Casa e dos Vereadores; o esclarecimento ao Plenário, à Mesa Executiva, aos Vereadores e aos organismos da Casa das dúvidas remanescentes; a supervisão das atividades da Procuradoria; a manifestação nos relatórios de comissões, audiências públicas, seminários, simpósios e de grupos de trabalho; a composição da escala de férias; dirigir equipes auxiliares no âmbito das atividades próprias do cargo; a execução de atividades correlatas.

                                                                                                                                        Parágrafo único. O Procurador Jurídico, durante o período da investidura, é exclusivamente legitimado para o exercício da advocacia vinculado às atribuições do cargo.

                                                                                                                                         

                                                                                                                                        GABINETES DOS VEREADORES

                                                                                                                                         

                                                                                                                                        Art. 19. Aos Gabinetes dos Vereadores, dirigidos por eles próprios, com auxílio de seus Chefes de Gabinete e demais assessores, compete o auxílio, a assistência e o encaminhamento dos assuntos gerais de interesse dos Gabinetes; a organização e a direção das audiências dos Vereadores; a preparação e a expedição das correspondências; o registro e o encaminhamento, para divulgação, dos atos do titular do Gabinete; a elaboração de proposições de iniciativa dos Vereadores, com as respectivas justificativas; e o desempenho de outros serviços burocráticos, a critério dos Vereadores, e das demais atividades correlatas.

                                                                                                                                        Art. 20. São atribuições do Chefe de Gabinete: desempenhar funções internas e externas; prestar assessoramento e aconselhamento ao Vereador junto ao qual exerce as atribuições de seu cargo; realizar estudos e pesquisas para subsidiar assessoramento no exame de proposições e expedientes em geral que passem pela apreciação do Vereador; efetuar e elaborar trabalhos relacionados com o serviço e a assistência às bases, de interesse do Vereador; sugerir assuntos e temas para pronunciamento do Vereador; exercer atividades de divulgação dos trabalhos realizados e relações públicas do Vereador; controlar a assiduidade e frequência ao trabalho dos assessores lotados no respectivo Gabinete, bem como as atividades por eles realizadas; supervisionar, coordenar e controlar as atividades diárias do Gabinete, promovendo o ajuste das atividades ao plano de ações, atividades e programas.

                                                                                                                                        Art. 21. São atribuições do Assessor Parlamentar: desempenhar funções internas e externas, segundo diretrizes e orientação superior; executar trabalhos de redação e resumo de acompanhamento de reuniões e comissões; auxiliar na realização de pesquisas, estudos e elaboração de informações de interesse do Gabinete; verificar e acompanhar a tramitação de assuntos junto a repartições públicas e órgãos da Câmara; responsabilizar-se pelo recebimento e encaminhamento de pareceres de comissões que o parlamentar integre; colaborar na organização de audiências públicas ou reuniões que devam ser promovidas pelo Vereador; elaborar os projetos de lei de iniciativa do Vereador e as respectivas justificativas.

                                                                                                                                        Art. 22. São atribuições do Assessor de Gabinete: desempenhar funções internas e externas, segundo diretrizes e orientação superior; efetuar serviços de recepção, redação, digitação, organização de arquivos e catalogação dos pedidos de informações e respectivas respostas; controlar prazos e diligenciar respostas às proposições, indicações e pedidos do Vereador; colaborar na agenda política do parlamentar; manter arquivo de documentos e papéis em caráter particular endereçados ao Vereador; expedir convites e anotar todas as providências necessárias ao assessoramento do parlamentar; promover o registro de nome e endereço completo de autoridades, lideranças e cidadãos de interesse do Vereador.

                                                                                                                                        Art. 23. Os ocupantes dos cargos a que se referem os artigos 19 a 21 deverão, preferencialmente, possuir o seguinte nível mínimo de escolaridade:

                                                                                                                                        I – Chefe de Gabinete: ensino superior;

                                                                                                                                        II – Assessor Parlamentar: ensino médio;

                                                                                                                                        III – Assessor de Gabinete: ensino médio.

                                                                                                                                        Art. 24. O controle de assiduidade e frequência ao trabalho dos assessores lotados no respectivo Gabinete, bem como das atividades por eles realizadas, será exercido pelo Chefe de Gabinete, sob a supervisão do Vereador.

                                                                                                                                        Parágrafo único. O controle de que trata o caput referente ao Chefe de Gabinete será exercido direta e exclusivamente pelo Vereador.

                                                                                                                                        Art. 25. As atividades externas realizadas pelos assessores lotados no respectivo Gabinete deverão ser controladas por meio de apresentação de justificativa própria, contendo data, horário, local, tempo de permanência e assunto tratado, que deverá ser validada pelo Chefe de Gabinete e entregue ao setor de Administração e Recursos Humanos, com a anuência do Vereador, no prazo de até 3 (três) dias úteis da ocorrência, para fins de justificação de ausência do servidor do local de trabalho.

                                                                                                                                        Art. 26. Todas as atividades do Gabinete serão de responsabilidade exclusiva do Vereador, inclusive aquelas realizadas em expediente externo, observadas as disposições legais.

                                                                                                                                         

                                                                                                                                        GABINETE DA PRIMEIRA SECRETARIA

                                                                                                                                         

                                                                                                                                        Art. 27. O Gabinete da Primeira Secretaria tem as atribuições determinadas pela Lei Orgânica e pelo Regimento Interno da Casa, destacando-se a superintendência dos serviços administrativos da Casa, sob a orientação do Presidente.

                                                                                                                                        Art. 28. O Assessor de Gabinete da Primeira Secretaria tem como atribuições: a direção, orientação, controle, promoção e fiscalização das atividades inerentes ao Gabinete do Primeiro-Secretário; a manutenção do controle dos expedientes em tramitação no Gabinete; o recebimento, a distribuição e o encaminhamento de correspondências, ordens de serviços e demais trabalhos para execução; a supervisão da devida ordem no arquivo geral da Primeira Secretaria; o encaminhamento ao protocolo, para distribuição, da documentação devidamente despachada; a recepção de autoridades e demais convidados e respectiva condução ao Primeiro-Secretário, sobretudo quando da realização de atos solenes; assessorar o Primeiro-Secretário nas ações de superintendência dos serviços administrativos da Casa, cumprindo a programação de trabalho estabelecida; diligenciar o andamento dos projetos, indicações e requerimentos nas Comissões, com vistas a manter o Primeiro-Secretário apto a responder a consultas relativas à composição da Ordem do Dia das sessões; diligenciar informações sobre ações e medidas com vistas a manter o Primeiro-Secretário apto a discutir e analisar o andamento administrativo da Casa; organizar e dirigir as audiências; auxiliar, assistir e encaminhar os assuntos gerais de interesse do Gabinete; analisar a documentação destinada à assinatura do Primeiro-Secretário, orientando-o sobre os precedentes e rotinas estabelecidas; manter controle dos expedientes, papéis e demais documentos em tramitação no Gabinete; realizar os serviços pertinentes à Primeira Secretaria, à agenda e ao atendimento ao público; sugerir pronunciamentos sobre matérias em tramitação no Legislativo ou sobre acontecimentos que afetem a vida da comunidade; encaminhar demandas e retornar aos cidadãos as medidas resolutivas ou respostas a suas solicitações; agendar e organizar reuniões e debates e assessorar o Primeiro-Secretário em suas relações institucionais com os demais órgãos da Câmara Municipal e no relacionamento político-administrativo com os munícipes, órgãos e entidades públicas e privadas, associações de classe, entidades, organismos estaduais e federais; realizar contatos com autoridades públicas; representar o Primeiro-Secretário em reuniões e eventos, sempre que assim determinado pelo mesmo; sugerir encaminhamentos e pautas políticas; o registro e encaminhamento, para divulgação, dos atos do titular do Gabinete; executar tarefas correlatas.

                                                                                                                                         

                                                                                                                                        DIRETORIA GERAL

                                                                                                                                         

                                                                                                                                        Art. 29. A Diretoria Geral, vinculada diretamente ao Presidente da Casa, tem como atribuições: a discussão de temas políticos; proporcionar e garantir os serviços administrativos, legislativos, de apoio e de ação comum à Câmara, Plenário, Mesa Executiva, Presidência, Comissões Permanentes, Comissões Temporárias, Grupos de Trabalho, Frentes Parlamentares, Audiências Públicas, Vereadores e demais organismos; conduzir, de acordo com as determinações superiores, o exercício das atividades institucionais da Casa e o atendimento público, zelando para que tais procedimentos assegurem o eficiente funcionamento do Legislativo.

                                                                                                                                        Art. 30. O Diretor Geral tem como atribuições: programar, supervisionar, dirigir, coordenar, orientar e controlar a execução de todos os serviços legislativos e administrativos da Câmara Municipal; autorizar a expedição e assinar as certidões requeridas; assinar os processos de pagamento das despesas da Câmara e encaminhar à Presidência para a competente autorização e pagamento; dar posse a todos os servidores efetivos e comissionados da Câmara Municipal, mediante termo em livro próprio; conhecer de todo expediente oriundo das Diretorias; assinar ofícios, atestados, certidões, editais e outros documentos da Câmara Municipal; expedir ordens de serviços e demais atos necessários à execução dos trabalhos da Câmara Municipal, conforme instruções e decisões da Presidência; julgar justificadas ou não faltas ao serviço dos servidores, de acordo com a legislação vigente; autorizar a lotação do pessoal da Câmara Municipal; emitir despachos em processos cuja decisão caiba à autoridade superior; emitir despachos decisórios em processos de sua competência; encaminhar à Mesa Executiva, até o dia 30 de janeiro, o relatório anual circunstanciado das atividades desenvolvidas pela Câmara Municipal; propor medidas à Mesa Executiva que visem a facilitar os serviços da Câmara Municipal; apreciar e encaminhar os relatórios mensais e anuais apresentados pelos órgãos da Câmara Municipal e elaborar um relatório geral para a Mesa Executiva e a Presidência; despachar o expediente com o Presidente da Câmara Municipal; promover reuniões com os Diretores e Coordenadores das Divisões e Seções, para tratar de assuntos relacionados com os serviços da Câmara; comunicar-se com outras repartições públicas, sempre que necessário, para a resolução de assuntos de interesse da Câmara; assinar os cheques em geral, juntamente com o Presidente ou outro membro da Mesa Executiva autorizado; conservar e zelar pelos bens patrimoniais da Câmara Municipal, sob sua responsabilidade e guarda; prestar esclarecimentos em Plenário, quando solicitado; assessorar a Mesa Executiva nos atos e decisões de serviços da Câmara Municipal; assessorar a Mesa e os Vereadores em matéria de sua competência; autorizar a prestação de serviços extraordinários por parte dos servidores da Câmara, ouvidos os respectivos superiores; superintender, direta ou indiretamente, a fiscalização da execução dos contratos celebrados pela Câmara Municipal; fixar, por ato administrativo, a escala anual de férias dos servidores, ouvindo os respectivos superiores; encaminhar à Diretoria Administrativa, por intermédio da Divisão de Finanças, Orçamento e Contabilidade, a elaboração da proposta orçamentária da Câmara, devidamente aprovada pela Mesa Executiva; desempenhar outras funções correlatas.

                                                                                                                                        Art. 31. À Divisão de Tecnologia da Informação compete cumprir e fazer cumprir as determinações regulamentares emanadas da Diretoria Geral; coordenar todo o sistema de processamento de dados da Câmara Municipal; articular com os demais órgãos da Administração a melhor utilização dos equipamentos; programar a execução dos serviços necessários à modernização do sistema; acompanhar a implantação de todos os sistemas programados; apresentar estudos para melhoria do sistema, quando for o caso; adotar sistema de segurança adequado para a guarda dos arquivos, para evitar a sua violação ou qualquer ação que possa prejudicá-los; manter atualizados os dados disponíveis; realizar estudos de viabilidade técnico-econômica sobre a utilização de softwares e equipamentos, emitindo parecer quanto à conveniência de sua aquisição; executar e coordenar a confecção de normas e procedimentos para utilização dos softwares instalados; pesquisar todos os recursos dos equipamentos, proporcionando um suporte técnico e treinamento da equipe da Divisão de Tecnologia da Informação, visando à otimização e racionalização de sistemas em desenvolvimento e produção; sanar as dúvidas de quaisquer setores técnicos, quando solicitado; interagir nas áreas de desenvolvimento e produção, visando detectar problemas e dificuldades e propondo solução no sentido de obter melhor aproveitamento de equipamentos e recursos humanos; proporcionar esquemas de backup’s eficientes, bem como esquemas de recuperação e segurança, em caso de falhas operacionais e sinistros; oferecer treinamento e reciclagem aos servidores usuários do sistema; estabelecer intercâmbios, com órgãos de pesquisa ou detentores de informações, que possam ser de interesse da Câmara Municipal; desempenhar outras funções que lhe forem regularmente atribuídas.

                                                                                                                                        Art. 32. Compete à Seção de Suporte Técnico, Dados e Manutenção, subordinada diretamente à Divisão de Tecnologia da Informação: prestar suporte técnico aos usuários dos equipamentos de informática; detectar e solucionar falhas nos equipamentos de informática; substituir peças defeituosas dos equipamentos de informática; instalar, nos microcomputadores, sistema operacional ou qualquer outro sistema computacional que não esteja funcionando adequadamente; encaminhar a empresa de assistência técnica competente os equipamentos que necessitarem de reparos que não possam ser realizados no próprio local; executar os serviços de implantação, atualização, supervisão e manutenção da rede do sistema, bancos de dados e arquivos, dentre outros serviços de suporte técnico e de supervisão; preparar dispositivos para cópia de segurança dos dados armazenados nos microcomputadores e “servidores de dados”; proceder à cópia de segurança dos dados armazenados nos “servidores de dados”; manter cadastro atualizado das manutenções realizadas nos equipamentos de informática; desempenhar outras funções correlatas.

                                                                                                                                         

                                                                                                                                         DIRETORIA LEGISLATIVA

                                                                                                                                         

                                                                                                                                        Art. 33. A Diretoria Legislativa, vinculada ao Diretor Geral, tem as atribuições de iniciar, desenvolver e concluir os processos de propostas de emenda à Lei Orgânica, de projetos de leis, decretos legislativos e resoluções para apreciação do Plenário; proporcionar e dirigir os trabalhos de apoio às Comissões Permanentes, às Comissões Temporárias e Grupos de Trabalho Administrativos; aprestar substitutivos, emendas, indicações e requerimentos em geral para serem apreciados pelo Plenário; compor a Ordem do Dia das sessões, conforme as instruções do Presidente da Câmara; implementar outras atividades voltadas à regularidade e eficácia da atividade legislativa.

                                                                                                                                        Art. 34. O Diretor Legislativo tem as atribuições de participar da análise dos fatos políticos; com o concurso da Divisão de Assistência Legislativa, orientar, coordenar e dirigir a formação, o desenvolvimento e a conclusão dos processos das propostas de leis, decretos legislativos e resoluções; o aprestamento de substitutivos, emendas, requerimentos em geral e indicações, submetendo-os à consideração do Presidente, para integrarem a pauta da Ordem do Dia das sessões; coordenar as funções de apoio às Comissões Permanentes, às Comissões Temporárias e Grupos de Trabalho Administrativos, das Seções de Redação e Processo Legislativo, de Comissões Permanentes e Temporárias, de Arquivo e Informações e de Protocolo Geral; cumprir e fazer cumprir as determinações superiores; firmar os documentos expedidos pela Diretoria em favor dos demais organismos da Casa; assessorar o Presidente, a Mesa Executiva, as Comissões, os Vereadores e o Diretor Geral; executar tarefas correlatas.

                                                                                                                                        Art. 35. À Divisão de Assistência Legislativa compete desempenhar todos os passos do processo legislativo relativos à tramitação de propostas de emendas à Lei Orgânica do Município, de projetos de leis, de resolução e de decreto legislativo; elaborar a redação final dos projetos; controlar os prazos para sanção ou promulgação; manter o arquivo de leis, de emendas à Lei Orgânica do Município, de resoluções e de decretos legislativos com todos os documentos do processo legislativo do ano corrente; formatar o texto final de leis promulgadas, de emendas à Lei Orgânica do Município, de resoluções e de decretos legislativos, encaminhando-os para promulgação ao Órgão Oficial, com cópia para o Executivo; controlar o prazo para publicação e conferir o texto de atos legislativos no Órgão Oficial do Município; disponibilizar a íntegra de leis, de emendas à Lei Orgânica, de resoluções e de decretos legislativos na internet, com a formatação adequada para visualização; receber vetos aos projetos de leis, encaminhá-los para tramitação e controlar o prazo; manter arquivo auxiliar contendo documentos referentes às comissões, aos conselhos, aos comitês e aos órgãos criados por leis especiais com representação da Câmara (leis, decretos, ofícios e outros) e alimentar o respectivo cadastro no Sistema Informatizado (com controle de mandatos); apoiar a realização das sessões ordinárias, extraordinárias, solenes, secretas e especiais, elaborando as pautas, fornecendo todos os documentos necessários e/ou solicitados em Plenário, acompanhar à discussão das matérias, dar encaminhamento e alimentar o sistema informatizado de acordo com o despacho da Mesa; providenciar o controle de frequência dos vereadores e o respectivo relatório mensal; secretariar as comissões permanentes e temporárias (elaborar ofícios, relatórios, controlar o prazo destas e tomar outras providências que se fizerem necessárias); alimentar e manter atualizado, no sistema informatizado, o cadastro de Decretos do Executivo, da Legislatura, da Mesa Executiva, de Partidos, de Vereadores e de Comissões; elaborar, com dados colhidos em Plenário, ata sucinta das sessões e anais do Poder Legislativo, na forma regimental; elaborar e digitar certidões, pronunciamentos e outras matérias relevantes, pertinentes às sessões, reuniões e outros eventos ligados diretamente à atividade legislativa; organizar, em volumes, os anais da Câmara Municipal, acompanhados de índice analítico e remissivo; desempenhar outras funções que lhe forem regularmente atribuídas.

                                                                                                                                        Art. 36. Compete à Seção de Protocolo Geral da Câmara Municipal, órgão diretamente subordinado à Coordenadoria da Divisão de Assistência Legislativa: cumprir e fazer cumprir as determinações regulamentares emanadas da respectiva coordenadoria; a manutenção do protocolo geral do expediente; a remessa, recebimento, triagem e distribuição da correspondência externa e interna, conforme determinação superior; os serviços de mensageiro; protocolizar, em livro próprio, as solicitações de serviços dos Vereadores, efetuando sua triagem e encaminhamento aos setores responsáveis; elaborar a súmula do expediente recebido, para fins de leitura em plenário; remeter à publicação, mediante protocolo, todos os atos e demais matérias sujeitas a esta finalidade; distribuir, mediante protocolo, relatórios e outros documentos; acompanhar as atividades realizadas por meio do processo eletrônico de tramitação de documentos; desempenhar outras atividades correlatas.

                                                                                                                                        Art. 37. À Seção de Redação e Processo Legislativo, órgão subordinado diretamente à Coordenadoria da Divisão de Assistência Legislativa, compete: cumprir e fazer cumprir as determinações regulamentares emanadas da respectiva coordenadoria; atender aos trabalhos nas sessões da Câmara Municipal; elaborar e digitar as proposições oficiais dos Vereadores e da Mesa Executiva; assessorar a Mesa Executiva, no decorrer das sessões da Câmara Municipal, sobre matéria técnico-legislativa; controlar as matérias em tramitação na Seção; digitar os autógrafos de Emendas à Lei Orgânica, projetos de lei, resoluções, decretos legislativos; redigir, revisar quanto à ortografia e digitar os expedientes oficiais, especialmente requerimentos, indicações e correspondências, afetos à competência da Diretoria Legislativa; enviar, via e-mail, quando possível, ao Gabinete do Prefeito Municipal, os autógrafos dos projetos de lei submetidos à sanção prefeitoral; auxiliar a Seção de Processos Legislativos na elaboração das proposições em geral; manter registro e controle, bem como zelar pela guarda das solicitações de serviço encaminhadas pelos senhores vereadores, destinadas a orientar a elaboração de proposições; instruir, com o auxílio da Seção de Arquivo, Mecanografia e Informações, as solicitações de serviço apresentadas pelos senhores vereadores, posteriormente destinando-as à Seção de Processos Legislativos, para os procedimentos de praxe; sempre que possível, prestar colaboração aos serviços desenvolvidos pelas demais Seções da Divisão; desempenhar outras atividades correlatas.

                                                                                                                                        Art. 38. À Seção de Comissões Permanentes e Temporárias, órgão diretamente subordinado à Coordenadoria da Divisão de Assistência Legislativa, compete: cumprir e fazer cumprir as determinações regulamentares emanadas da respectiva coordenadoria; elaborar parecer, por escrito, em matéria ou proposição, quando solicitado pela Mesa Executiva, com auxílio da Procuradoria Jurídica; elaborar parecer, por escrito, quando solicitado pelas Comissões Permanentes da Câmara, em matérias que exijam apreciação técnico-legislativa; assessorar as Comissões Temporárias e Grupos de Trabalho constituídos na Câmara, em matéria técnico-legislativa, com a orientação da Procuradoria Jurídica, quando necessário; elaborar parecer, quando solicitado pela Mesa Executiva, sobre a proposta do Orçamento-Programa do Município, Plano Plurianual de Investimentos e outras matérias de natureza orçamentária, com a orientação da Coordenadoria da Divisão de Finanças, Orçamento e Contabilidade; elaborar parecer, quando solicitado pela Mesa Executiva, sobre a Prestação de Contas do Município, depois de recebido o Parecer Prévio ou Acórdão do Tribunal de Contas do Estado, também com o auxílio previsto no item anterior; assessorar os Vereadores, a Mesa Executiva, as Comissões Permanentes e Temporárias e os Grupos de Trabalho, em assuntos de sua competência; assessorar os Vereadores na apreciação do Orçamento-Programa do Município, Prestações de Contas e outras matérias pertinentes; assessorar, quando solicitado, a Diretoria Geral e a Diretoria Legislativa, sobre matéria técnico-legislativa; controlar os prazos das matérias encaminhadas às Comissões; numerar e rubricar todos os processos em tramitação no âmbito das Comissões; controlar, por sistema próprio, as matérias em tramitação nas Comissões; desempenhar outras funções correlatas que lhe forem regularmente atribuídas pela Coordenadoria da Divisão de Assistência Legislativa ou superiores hierárquicos.

                                                                                                                                        Art. 39. À Seção de Arquivo e Informações, órgão diretamente subordinado à Coordenadoria da Divisão de Assistência Legislativa, compete: cumprir e fazer cumprir as determinações regulamentares emanadas da Divisão de Assistência Legislativa; manter registro e controle de todos os processos e demais expedientes destinados ao arquivo; preservar atualizado e em boa ordem, em livro, fichas ou outro sistema adotado, o registro das matérias, de forma a assegurar localização rápida e eficiente de qualquer documento recolhido ao arquivo; organizar a coletânea das leis municipais, resoluções e decretos legislativos, requerimentos, indicações e outras matérias, anotando as alterações ou transformações havidas; realizar controle sistemático sobre o cumprimento das leis, decretos legislativos e resoluções, e as razões de sua inobservância, quando ocorrer; conservar arquivo com informações sobre as leis, decretos legislativos e resoluções em desuso, revogadas ou derrogadas; promover, periodicamente, a coletânea de leis, decretos legislativos e resoluções análogos ou afins, para efeito de consolidação de seus textos, conforme critérios e sistemas determinados pela Mesa Executiva; manter sob sua guarda e conservação os livros, revistas, publicações, coleções diversas e outras matérias de interesse da Câmara Municipal, classificando-os convenientemente; atender a consultas e requisições dos órgãos da Câmara Municipal, no que concerne à literatura técnico-legislativa e jurídica, mantendo, para tanto, fichários organizados e atualizados; manter arquivo especial, devidamente cadastrado, para documentos considerados sigilosos ou secretos; adotar sistema de segurança adequado para a guarda dos arquivos da Câmara Municipal, para evitar sua violação ou qualquer ação que possa destruí-los ou inutilizá-los; efetuar, anualmente, a triagem da documentação que se destina ao arquivo morto da Câmara Municipal; promover a microfilmagem de documentos oficiais da Câmara, de conformidade com as determinações da Mesa Executiva; expedir, quando autorizado, cópias ou fotocópias de documentos arquivados ou sob sua responsabilidade; controlar, em livro próprio, o envio de correspondências oficiais da Câmara Municipal; proceder à entrega, mediante registro, de expedientes, relatórios e outros documentos; prestar informações gerais quanto à tramitação de processos e expedientes na Câmara Municipal, quando solicitadas pelas chefias competentes; encaminhar para publicação todos os atos da Mesa Executiva e demais matérias sujeitas a esta formalidade; gravar in totum as sessões da Câmara; elaborar, mensalmente, relatório das atividades legislativas; controlar os prazos dos pedidos de informações ou de documentos encaminhados ao Executivo Municipal; extrair e fazer distribuir avulsos das matérias dadas à Ordem do Dia; organizar, em conjunto com a Divisão de Administração e Recursos Humanos, a relação dos suplentes de Vereadores, a apostilagem dos títulos de nomeação dos servidores, bem como os de posse dos Vereadores; desempenhar outras funções correlatas.

                                                                                                                                        Art. 40. À Divisão de Acompanhamento e Execução das Leis e Projetos Especiais compete o levantamento das leis municipais em vigor, realizando estudos alusivos à sua criação, redação, promulgação e cumprimento; a fiscalização do efetivo cumprimento da norma jurídica; a produção de notas técnicas e pareceres sobre a motivação, criação e regulamentação de todas as leis municipais, sempre que solicitado; a gerência das atividades da Escola do Legislativo, da Câmara Mirim, da Revista do Legislativo Maringaense, da Biblioteca da Câmara Municipal de Maringá e de outros assuntos relacionados aos projetos especiais propostos pela Presidência, Mesa Executiva ou por Vereadores.

                                                                                                                                        Art. 41. À Seção de Projetos Especiais, órgão diretamente subordinado ao Coordenador da Divisão de Acompanhamento e Execução das Leis e Projetos Especiais, compete: cumprir e fazer cumprir as determinações regularmente emanadas da Divisão; assessorar a Mesa Executiva quanto aos projetos desenvolvidos pela Divisão; controlar as matérias desenvolvidas pela Divisão em tramitação na Seção; coordenar as ações da Escola do Legislativo Maringaense, propondo palestras, fóruns, colóquios, seminários e conteúdo publicado em meio impresso ou digital; coordenar o processo de eleição, diplomação e as atividades relacionadas à Câmara Mirim; auxiliar a Divisão na elaboração da Revista do Legislativo Maringaense; prestar assessoria em projetos especiais propostos pela Presidência, Mesa Executiva ou Vereadores, os quais demandem atenção específica; desempenhar outras funções correlatas.

                                                                                                                                         

                                                                                                                                        DIRETORIA ADMINISTRATIVA

                                                                                                                                         

                                                                                                                                        Art. 42. A Diretoria Administrativa, vinculada ao Diretor Geral, tem como atribuições a realização, com a participação e concurso de suas divisões e seções, das atividades de Administração, Recursos Humanos, Licitações e Compras; Almoxarifado; Portaria, Vigilância e Segurança; Controle do Uso e da Manutenção de Veículos; Manutenção Geral; Copa e Limpeza: Telefonia e Comunicações; Finanças, Orçamento e Contabilidade; Tesouraria e Caixa; Tecnologia da Informação; Processamento de Dados; Suporte Técnico e Manutenção.

                                                                                                                                        Art. 43. O Diretor Administrativo tem as atribuições de superintender, orientar, dirigir, controlar e coordenar as atividades das divisões e seções integrantes da Diretoria Administrativa; o desenvolvimento de esforços para que as atividades sob sua direção realizem suas competências e funções mediante projetos previamente aprovados, destacando a relação custo/benefício de seus atos administrativos, cumprindo os princípios estabelecidos pelo artigo 37 da Constituição Federal; determinar estudos e, com base neles, propor ao Diretor Geral medidas de aprimoramento dos serviços e atuações de competência da Diretoria de Administração e seus órgãos subordinados; expedir autorização para a instauração dos processos licitatórios e de aquisição; determinar o levantamento mensal de relatórios demonstrativos e estatísticos do comportamento das finanças, orçamentários e apropriação das despesas reais aos vários setores da Câmara Municipal; exigir relatório de conservação geral e de veículos com demonstração estatística mensal, quadrimestral e anual e outros dados que se fizerem necessários; relatar ao Diretor Geral o desempenho global das atividades e serviços sob a responsabilidade da Diretoria Administrativa e seus órgãos subordinados; executar atividades correlatas.

                                                                                                                                        Art. 44. À Divisão de Administração e Recursos Humanos compete cumprir e fazer cumprir as determinações regulamentares emanadas da Diretoria Administrativa; supervisionar a execução dos serviços de reparo e manutenção do prédio, das instalações e do mobiliário da Câmara; o deslocamento dos bens móveis e utensílios entre as dependências da Câmara; manter cadastro atualizado dos servidores da Câmara Municipal, bem como dos Vereadores; manter atualizados os documentos dos servidores nas respectivas pastas;elaborar os atos relativos à admissão, readmissão, aproveitamento, posse, exercício, remoção, transferência, substituição e demissão do pessoal, etc.; verificar, quando da admissão de pessoal, a regularidade dos documentos exibidos; atribuir número de matrícula e expedir carteira de identidade funcional aos servidores, bem como aos Vereadores; orientar os servidores da Câmara Municipal, quando se fizer necessário, com referência aos atos ou normas de pessoal baixados pela Mesa Executiva; elaborar e supervisionar o registro de frequência dos servidores da Câmara Municipal, de conformidade com o cartão-ponto; elaborar e supervisionar a elaboração das folhas de pagamento, mensalmente, dos servidores da Câmara Municipal, bem como a respectiva ficha financeira; elaborar e supervisionar a elaboração das folhas de subsídios dos Vereadores, bem como a respectiva ficha financeira; organizar, de conformidade com as instruções da Diretoria Geral, a escala de férias dos servidores da Câmara Municipal, as quais, dentro do possível, deverão coincidir com os períodos de recesso legislativo; instruir e informar os processos administrativos, quando solicitada; efetuar e controlar o desconto das consignações nas folhas de pagamento, quando devidamente autorizado; extrair certidões referentes a assentamentos dos servidores da Câmara; manter controle e verificação do uso do relógio de ponto; elaborar instruções e programas de concurso para o provimento de cargos da administração e manter arquivo organizado dos concursos efetuados; supervisionar a remessa de informações ao Tribunal de Contas do Estado, através de sistema próprio daquele Órgão; efetuar os assentamentos relativos ao exercício do mandato dos vereadores, mantendo atualizados registros indicativos do partido pelo qual se elegerem, o número de votos obtidos nas eleições, a data da eleição e da posse, e outros dados necessários, assim como das funções que exerceram na Casa; elaborar, anualmente, relação do pessoal da Casa, exigida pelo Tribunal de Contas do Estado; organizar a relação dos suplentes de vereadores; apostilar os títulos de nomeação dos servidores, bem como os de posse dos vereadores; efetuar fotocópias de documentos diversos, mediante solicitação dos setores interessados, mantendo registro dos trabalhos executados em sistema próprio; expedir, receber e encaminhar fac-símiles; receber, cadastrar e fazer o acompanhamento mensal dos bens de consumo destinados às atividades institucionais, quanto à sua utilização e destinação; receber os bens permanentes adquiridos e/ou transferidos; exigir a devolução de materiais, quando fornecidos em caráter de substituição; promover aquisição de material, mediante solicitação, de conformidade com as normas vigentes; manter coordenação com os demais órgãos da Administração da Casa, para efeito de levantamento das necessidades de material de consumo ou de expediente; organizar, regularmente, relação do material necessário à reposição de estoque; zelar pela manutenção, conservação e recuperação do edifício do Poder Legislativo, de suas instalações, mobiliário e equipamentos, excetuados os bens e serviços em garantia, os que exijam mão-de-obra técnica ou especializada para sua recuperação e/ou aqueles que forem objeto de contratação específica por meio de licitação; responsabilizar-se pelo controle, guarda e uso adequado dos equipamentos, ferramentas, utensílios e produtos utilizados nos serviços da Câmara; manter contato com empresas prestadoras de serviços, com vistas à manutenção e conserto de máquinas, móveis e equipamentos, sempre que solicitado; controlar e fiscalizar a execução dos contratos celebrados pela Câmara, na área de sua competência, sob o aspecto do cumprimento dos serviços contratados, sempre que requisitado; manter sistema de controle da utilização do Plenário e das salas de reuniões da Câmara; hastear e arriar as bandeiras; realizar o deslocamento dos bens móveis e utensílios entre as dependências da Casa; o atendimento à central telefônica; o atendimento ao sistema de ramais, efetivação de ligações e transferências de chamadas; o atendimento, registro e controle de ligações e chamadas interurbanas; o cadastramento e controle da agenda telefônica; zelar pela manutenção, conservação e recuperação dos veículos do Poder Legislativo; manter sistema de controle mensal do uso e da manutenção dos veículos, através de planilhas próprias; promover a lavratura de termos de ocorrência e, quando necessário, solicitar a abertura de procedimentos destinados a apurar responsabilidades quanto ao uso irregular e indevido dos veículos e danos eventualmente provocados nos mesmos, por parte de seus condutores ou usuários; designar, mediante termo específico, o motorista responsável por cada veículo; promover a identificação dos veículos do Poder Legislativo, nos termos da legislação pertinente; desempenhar outras funções que lhe forem atribuídas pela Diretoria Administrativa.

                                                                                                                                        Art. 45. À Seção de Portaria, Vigilância e Segurança, órgão diretamente subordinado à Coordenadoria da Divisão de Administração e Recursos Humanos, compete o atendimento dos trabalhos de manutenção e controle da portaria; atendimento ao público, recepção, credenciamento, controle, frequência e encaminhamento de pessoas; recebimento, ordenação, classificação e encaminhamento de correspondências, jornais, revistas e publicações recebidos e a serem encaminhados; atendimento ao plenário e galeria de visitantes, aos gabinetes, repartições administrativas e garagens; controle e vigilância das dependências internas e externas do Legislativo; zelar pela ordem e segurança da Casa, sobretudo no decorrer das sessões; desempenhar outras funções que lhe forem regularmente atribuídas pela Coordenadoria da Divisão; desenvolver outras atribuições correlatas.

                                                                                                                                        Art. 46. À Seção de Copa e Limpeza, órgão diretamente subordinado à Coordenadoria da Divisão de Administração e Recursos Humanos, compete: as atividades de atendimento ao Plenário, Gabinetes e órgãos da Administração; atividades de controle do consumo e a responsabilidade da guarda dos materiais de limpeza e conservação colocados à disposição da unidade; limpeza e conservação dos móveis, utensílios e materiais vinculados às atividades institucionais da Câmara Municipal; desempenhar outras funções regulamentares que lhe forem atribuídas pela Coordenadoria da Divisão.

                                                                                                                                        Art. 47. À Divisão de Finanças, Orçamento e Contabilidade compete cumprir e fazer cumprir as determinações regulamentares emanadas da Diretoria Administrativa; efetuar o controle contábil, mediante escrituração dos atos e fatos referentes a seu patrimônio, variação das dotações orçamentárias, despesas e todos os demais atos sujeitos à contabilização; proceder aos lançamentos contábeis da documentação, em conformidade com o plano de contabilidade previamente aprovado; elaborar, com os elementos fornecidos pelas Diretorias, a proposta orçamentária da Câmara Municipal de Maringá a ser encaminhada ao Executivo Municipal, no prazo previsto em lei; elaborar, mensalmente, balancetes e demonstrativos; elaborar, mensalmente, o balancete financeiro a ser encaminhado ao Tribunal de Contas do Estado; elaborar a prestação de contas a ser encaminhada ao Executivo Municipal para posterior envio ao TCE, anualmente, com todos os documentos exigidos, dentro dos prazos legais; manter controle sobre o saldo das dotações orçamentárias, consignações ou subconsignações; atestar a identidade entre a fatura e a nota fiscal de fornecedores, referentes a aquisições feitas pela Divisão de Administração e Recursos Humanos; elaborar o empenho prévio das despesas e ordens de pagamento; efetuar conta corrente atualizada dos devedores temporários da Câmara Municipal, por adiantamentos concedidos, através de Portaria, para pequenas despesas, de modo a assegurar com exatidão os adiantamentos de cada servidor ou Vereador; organizar as prestações de contas, bem como a documentação necessária à comprovação das despesas da Câmara Municipal; fornecer elementos para a abertura de créditos adicionais; emitir parecer, quando solicitado pela Mesa Executiva, sobre a proposta do Orçamento-Programa do Município e do Plano Plurianual de Investimentos e outros de natureza orçamentária; emitir parecer, quando solicitado, sobre a prestação de contas do Município, após o Parecer Prévio ou Acórdão do Tribunal de Contas do Estado; organizar e supervisionar os serviços de tesouraria e caixa, quais sejam: registrar o recebimento, quando autorizado, do duodécimo da Câmara Municipal; efetuar o pagamento de despesas, quando regularmente processadas e autorizadas; manter registro em livro caixa do movimento referente às entradas e saídas de numerário; remeter, à Seção de Finanças, Orçamento e Contabilidade, uma via dos registros efetuados no livro caixa, juntamente com a documentação da despesa, quando paga; efetuar entrega, mediante recibo, de numerário, quando devidamente autorizada; efetuar depósitos e retiradas bancárias dos valores em poder da Câmara Municipal; manter registro de procurações para fins de pagamento; e manter controle bancário, com a conferência mensal dos extratos bancários; organizar e supervisionar os serviços de patrimônio, quais sejam: manter cadastro, registro e controle atualizados dos bens móveis e imóveis do Legislativo; promover a identificação de cada peça de bem móvel através de marcação constante de ordem numérica, que deverá corresponder ao registro geral em todas as suas características; proceder regularmente à verificação dos móveis, utensílios e maquinários, quanto à sua permanência nos órgãos para os quais estiverem carregados, corrigindo as irregularidades encontradas; proceder regularmente à verificação do estado de conservação, funcionamento e utilização dos móveis, máquinas e utensílios do Legislativo, solicitando, de imediato, à Diretoria Administrativa, as medidas que se fizerem necessárias para reparações ou substituições; elaborar, anualmente, uma relação detalhada dos bens patrimoniais do Legislativo, para ser encaminhada ao Tribunal de Contas do Estado, juntamente com a prestação de contas; zelar pela guarda e conservação do patrimônio do Legislativo, alertando, de imediato, a Diretoria Administrativa quando constatados fatos que ponham em risco sua integridade; manter rigorosamente atualizadas as fichas cadastrais do material permanente; e propor à Diretoria Administrativa a alienação ou doação de bens patrimoniais da Casa; desempenhar outras funções que lhe forem atribuídas pela Diretoria Administrativa.

                                                                                                                                        Art. 48. À Seção de Finanças, Orçamento e Contabilidade, órgão diretamente subordinado à Divisão de Finanças, Orçamento e Contabilidade, compete: cumprir e fazer cumprir as determinações regulamentares emanadas da Coordenadoria da Divisão; efetuar o controle contábil, mediante escrituração dos atos e fatos referentes a seu patrimônio, variação das dotações orçamentárias, despesas e todos os demais atos sujeitos à contabilização; proceder aos lançamentos contábeis da documentação, em conformidade com o plano de contabilidade previamente aprovado; elaborar, com os elementos fornecidos pelas Divisões, a proposta orçamentária da Câmara Municipal de Maringá a ser encaminhada ao Executivo Municipal, no prazo previsto em lei; elaborar, mensalmente, balancetes e demonstrativos; elaborar, mensalmente, o balancete financeiro a ser encaminhado ao Tribunal de Contas do Estado; elaborar a prestação de contas a ser encaminhada ao Executivo Municipal para posterior envio ao TCE, anualmente, com todos os documentos exigidos, dentro dos prazos legais; manter controle sobre o saldo das dotações orçamentárias, consignações ou subconsignações; atestar a identidade entre a fatura e a nota fiscal de fornecedores, referentes a aquisições feitas pela Seção de Licitações e Compras; elaborar o empenho prévio das despesas e ordens de pagamento; efetuar conta corrente atualizada dos devedores temporários da Câmara Municipal, por adiantamentos concedidos, através de Portaria, para pequenas despesas, de modo a assegurar com exatidão os adiantamentos de cada servidor ou Vereador; organizar as prestações de contas, bem como a documentação necessária à comprovação das despesas da Câmara Municipal; fornecer elementos para a abertura de créditos adicionais; emitir parecer, quando solicitado pela Mesa Executiva, sobre a proposta do Orçamento-Programa do Município e do Plano Plurianual de Investimentos e outros de natureza orçamentária; emitir parecer, quando solicitado, sobre a prestação de contas do Município, após o Parecer Prévio ou Acórdão do Tribunal de Contas do Estado; desempenhar outras funções que lhe forem regularmente atribuídas pela Coordenadoria da Divisão de Finanças, Orçamento e Contabilidade.

                                                                                                                                        Art. 49. À Divisão de Licitações e Compras compete cumprir e fazer cumprir as determinações regulamentares emanadas da Diretoria Administrativa; elaborar os instrumentos convocatórios das licitações; instruir os processos licitatórios; prestar apoio administrativo à Comissão Permanente de Licitações e ao Pregoeiro e Equipe de Apoio; realizar as compras de materiais e a contratação de serviços que dispensam licitações; aprimorar o planejamento, a execução e o controle das atividades de sua competência; acompanhar e registrar os preços praticados em relação a materiais e serviços; elaborar as justificativas legais nos casos de dispensa e inexigibilidade de licitação; elaborar as minutas dos instrumentos contratuais e seus aditamentos; organizar os diplomas legais e normas aplicáveis a licitações e compras; cadastrar os fornecedores de bens e materiais e de prestadores de serviços; desempenhar outras funções que lhe forem atribuídas pela Diretoria Administrativa.

                                                                                                                                        Art. 50. Além das disposições já enunciadas, são obrigações comuns aos Diretores: coordenar a escala de férias dos servidores lotados na respectiva unidade; comunicar à Divisão responsável por tal controle a efetividade dos servidores; providenciar a requisição de materiais, equipamentos e utensílios necessários ao regular funcionamento da repartição; elaborar relatório anual das atividades, sempre que requisitado.

                                                                                                                                        Art. 51. Compete às Coordenadorias de Divisão, em caráter geral: dirigir, orientar e fiscalizar as atividades desenvolvidas pelos respectivos órgãos, bem como pelas seções que lhes são subordinadas; proceder a estudos e sugerir medidas que visem ao aprimoramento dos trabalhos atinentes às unidades que dirigem; requisitar da seção de patrimônio e almoxarifado o material necessário ao trabalho do órgão que dirige; zelar pela conservação dos bens patrimoniais da Câmara Municipal sob sua responsabilidade; despachar com a diretoria hierarquicamente superior; elaborar relatórios mensais e anuais das atividades desenvolvidas pelos órgãos que dirigem; encaminhar os elementos necessários à elaboração da proposta orçamentária, com relação ao órgão que dirige, para a Divisão de Finanças, Orçamento e Contabilidade; dar informações em processos legislativos, quando solicitado; julgar justificadas ou não as faltas ao trabalho dos servidores, podendo abonar até três (03) por mês, quando se tratar de atraso na entrada ou saída do expediente; executar outras tarefas que lhe sejam regularmente atribuídas.

                                                                                                                                        Art.52. Compete às Coordenadorias de Seção, em caráter geral, cumprir e fazer cumprir as determinações superiores e as disposições referentes à unidade, desempenhando as atribuições que lhe são conferidas; supervisionar os trabalhos da unidade, dirigindo e coordenando as atividades desenvolvidas, bem como estabelecendo os devidos controles sobre a eficiência dos aspectos operacionais relativos à execução das tarefas e à eficácia dos resultados do trabalho geral da Seção, tendo em vista, sempre, a consecução dos seus objetivos, representados pelo conjunto de suas funções.

                                                                                                                                        Art. 53. As disposições contrárias ficam revogadas.

                                                                                                                                         

                                                                                                                                        Plenário Vereador Ulisses Bruder, 27 de junho de 2014.

                                                                                                                                         

                                                                                                                                         

                                                                                                                                        ULISSES DE JESUS MAIA KOTSIFAS

                                                                                                                                        Presidente

                                                                                                                                        Alteração feita pelo Art. 1º. - Lei Ordinária nº 10.449, de 27 de julho de 2017.

                                                                                                                                           

                                                                                                                                          REGULAMENTO DAS FUNÇÕES E ATRIBUIÇÕES DOS ÓRGÃOS, DOS CARGOS DE PROVIMENTO EM COMISSÃO E DAS FUNÇÕES GRATIFICADAS DA CÂMARA MUNICIPAL DE MARINGÁ

                                                                                                                                           

                                                                                                                                          Art. 1.º Este Regulamento estabelece as funções e atribuições dos órgãos, dos cargos de provimento em comissão e das funções gratificadas da Câmara Municipal de Maringá.

                                                                                                                                          Art. 2.º Os cargos de provimento em comissão e as funções gratificadas da Câmara Municipal de Maringá, observadas as disposições desta Lei, são de livre nomeação e exoneração do Presidente da Câmara e se destinam às atividades de assessoramento, direção e chefia do Poder Legislativo.

                                                                                                                                          § 1.º Para atender interesse do Legislativo, o horário de trabalho dos ocupantes de cargos de provimento em comissão poderá ser flexibilizado, para ajustar-se às necessidades dos seus vários organismos, mediante prévia decisão do Presidente da Casa, respeitada a jornada diária correspondente.

                                                                                                                                          § 2.º Além das atribuições específicas de cada um, são obrigações comuns a todos os ocupantes de cargos ou funções: observar e fazer observar no âmbito da repartição e no exercício do múnus público os direitos e deveres inerentes ao cargo ou função; utilizar, operar e administrar diligentemente os serviços, móveis e equipamentos da repartição; desempenhar outras atividades meio necessárias ao cumprimento de suas atribuições, bem assim outras que lhe forem regularmente atribuídas pela autoridade responsável, relacionadas ao exercício do mandato parlamentar e aos objetivos institucionais do Legislativo.

                                                                                                                                          Art. 3.º São órgãos da Câmara Municipal de Maringá:

                                                                                                                                          1. Mesa Executiva;

                                                                                                                                          2. Gabinete da Presidência;

                                                                                                                                          3. Controladoria Interna;

                                                                                                                                          4. Coordenadoria de Comunicação Social;

                                                                                                                                          5. Procuradoria Jurídica;

                                                                                                                                          6. Gabinetes dos Vereadores;

                                                                                                                                          7. Gabinete da Primeira Secretaria;

                                                                                                                                          8. Diretoria Geral;

                                                                                                                                          9. Diretoria Legislativa;

                                                                                                                                          10. Diretoria Administrativa.

                                                                                                                                           

                                                                                                                                          MESA EXECUTIVA

                                                                                                                                           

                                                                                                                                          Art. 4.º A Mesa Executiva tem a composição determinada pela Lei Orgânica do Município e pelo Regimento Interno da Câmara.

                                                                                                                                          Art. 5.º As atribuições da Mesa Executiva da Câmara Municipal são as definidas na Lei Orgânica do Município, no Regimento Interno e na legislação que disciplina a estruturação orgânico-administrativa da Casa.

                                                                                                                                          Art. 6.º O Presidente é o representante da Câmara, judicial ou extrajudicialmente, competindo-lhe dirigir seus trabalhos legislativos e serviços administrativos, bem como fiscalizar sua ordem e disciplina.

                                                                                                                                          Art. 7.º Compete ao Primeiro-Secretário, sob a orientação do Presidente, superintender os serviços administrativos da Casa.

                                                                                                                                           

                                                                                                                                          GABINETE DA PRESIDÊNCIA

                                                                                                                                           

                                                                                                                                          Art. 8.º Ao Gabinete da Presidência, dirigido por ele próprio, com auxílio de seu Chefe de Gabinete e demais componentes do seu staff político-administrativo, compete a assistência e o encaminhamento dos assuntos do interesse da Presidência; organizar e dirigir a realização das audiências; a expedição e a recepção das correspondências do Gabinete e o desempenho das demais funções burocráticas, a critério da Presidência, e as funções de Representação do Poder Legislativo e de Administração da Casa.

                                                                                                                                          Art. 9.º O Chefe de Gabinete tem como atribuições, em síntese: a direção, orientação, controle, promoção e fiscalização das atividades inerentes ao Gabinete da Presidência; a manutenção do controle dos expedientes em tramitação no Gabinete; o recebimento, a distribuição e o encaminhamento de correspondência, ordens de serviços e demais trabalhos para execução; a supervisão da devida ordem no arquivo da Presidência; o encaminhamento ao protocolo, para distribuição, da documentação devidamente despachada; a recepção de autoridades e demais convidados e respectiva condução ao Presidente, sobretudo quando da realização de atos solenes.

                                                                                                                                           

                                                                                                                                          CONTROLADORIA INTERNA

                                                                                                                                           

                                                                                                                                          Art. 10. A Controladoria Interna, vinculada ao Presidente da Câmara, tem como atribuições a execução, com autonomia, das funções de controle interno, nos termos da legislação municipal, estadual e federal aplicável, a elaboração e manutenção de manuais de procedimentos, a elaboração do programa permanente de auditagem e a correição interna.

                                                                                                                                          Art. 11. O Controlador Interno tem as atribuições de fazer com que se efetive o controle interno das atividades da Câmara Municipal, cumprindo e fazendo cumprir a respectiva legislação federal, estadual e municipal, para o que receberá a cooperação e a colaboração devida de todas as repartições, seus titulares e servidores, tendo atendidas suas solicitações e determinações em caráter de precedência sobre as demais; assinar, juntamente com o Presidente, a Mesa Executiva e o Diretor Administrativo, o relatório das contas do Legislativo a ser enviado ao Tribunal de Contas, no que se refere à Lei de Responsabilidade Fiscal; na forma do estatuído pelo artigo 118 da Lei Orgânica do Município e artigo 215 do Regimento Interno da Câmara Municipal, promover a integração dos serviços de controle interno do Poder Legislativo com os serviços de controle interno do Poder Executivo; desenvolver as funções de controle interno na integralidade dos atos da Câmara Municipal, sejam de responsabilidade da Presidência, de todos os demais organismos da Casa, sejam de responsabilidade dos integrantes de seu funcionalismo, efetivos ou comissionados, e até de eventuais voluntários, na forma da lei; firmar documentos precedentemente ao Diretor Geral e ao Presidente, quando for o caso; dirigir a elaboração e a manutenção de manuais de procedimentos, ouvida a Mesa Executiva; fixar a programação permanente de auditagem e correição interna; pronunciar-se sobre os relatórios das atividades de controle interno; prestar informações do desenvolvimento dos trabalhos de controle interno ao Presidente, à Mesa Executiva e ao Diretor Geral, quando solicitado; o exercício de funções correlatas.

                                                                                                                                          Art. 12. O servidor responsável pelo Sistema de Controle Interno do Poder Legislativo guardará sigilo sobre dados e informações de que tiver conhecimento no exercício de suas funções, utilizando-os, exclusivamente, para a elaboração de pareceres e relatórios destinados à autoridade competente, sob pena de responsabilidade.

                                                                                                                                          Parágrafo único. O responsável pelo controle, ao tomar conhecimento de qualquer irregularidade ou ilegalidade, dela dará ciência imediata ao Presidente da Câmara Municipal.

                                                                                                                                           

                                                                                                                                          COORDENADORIA DE COMUNICAÇÃO SOCIAL

                                                                                                                                           

                                                                                                                                          Art. 13. A Coordenadoria de Comunicação Social, vinculada diretamente ao Presidente, tem como atribuições: o planejamento e a execução da política de comunicação; o estabelecimento de estratégias para a valorização do Poder Legislativo; a divulgação ampla e irrestrita das atividades da Câmara Municipal, dos seus organismos e dos Vereadores, com o objetivo de informar, educar e orientar a população; a coordenação do planejamento e da realização de campanhas publicitárias institucionais; a atividade cerimonial protocolar, nas atividades em que se fizer necessária; a formação, alimentação e manutenção do acervo multimídia na internet, garantindo à população o acesso ao mesmo.

                                                                                                                                          Art. 14.O Coordenador de Comunicação Social tem como atribuições: a coordenação da execução das atribuições de sua unidade; a participação na análise política dos fatos de interesse da Câmara Municipal; de conformidade com as instruções do Presidente e do Diretor Geral, chefiar, supervisionar e coordenar a divulgação das atividades da Câmara Municipal, dos seus organismos e dos Vereadores; a composição de programa de execução dessas atribuições e de controle das mesmas; a composição da pauta de trabalho, otimizando as atividades dos servidores integrantes de sua Coordenadoria; junto aos mesmos, o fomento da produção de noticiário para ser veiculado em todos os meios de veiculação; a orientação, seleção e crítica do material produzido; a direção na distribuição de textos, fotos e releases aos meios de comunicação de massa; aprovar a programação dos serviços fotográficos; fazer com que seja capturado em todas as formas de comunicação todo o registro das atividades da Coordenadoria, da Câmara em geral, dos Vereadores, ou aquelas veiculadas nos meios de comunicação televisada, irradiada, escrita e pela internet, para fins de composição do acervo multimídia; opinar e decidir com as autoridades superiores sobre a produção e a edição de publicações, programação de mídia impressa ou não; coordenar a produção de material gráfico de apoio a eventos e campanhas institucionais; o fornecimento, no momento oportuno, ao Diretor Geral, dos elementos necessários à composição da escala de férias; o estabelecimento e a manutenção de diretrizes necessárias ao fomento, manutenção e utilização do acervo multimídia; a autorização de solicitação de materiais, bens e serviços necessários à Coordenadoria; executar atividades correlatas.

                                                                                                                                          Art. 15. ÀSeção de Comunicação Social,órgão diretamente subordinado à Coordenadoria de Comunicação Social, compete: cumprir e fazer cumprir as determinações regularmente emanadas da Coordenadoria de Comunicação Social; desenvolver as atividades relacionadas à TV Câmara, cooperando para a execução da política de comunicação adotada pelo Poder Legislativo e a observância da legislação pertinente; colaborar na definição de estratégias e ações que visem à ampla divulgação das atividades legislativas, como forma de valorização institucional da Câmara; acompanhar as atividades de planejamento e obtenção dos elementos necessários à produção dos programas, bem como as operações relativas à execução dos programas; acompanhar e informar à respectiva coordenadoria a repercussão da programação veiculada pela TV Câmara junto aos órgãos de imprensa e à população em geral; executar outras atividades correlatas.

                                                                                                                                          Art. 16. ÀSeção de Cerimonial,órgão diretamente subordinado à Coordenadoria de Comunicação Social, compete: cumprir e fazer cumprir as determinações regularmente emanadas da Coordenadoria de Comunicação Social; executar os serviços de cerimonial em geral, bem assim a recepção de autoridades, convidados e visitantes oficiais; organizar o cerimonial das sessões plenárias e coletar as assinaturas dos Vereadores no livro de presença às sessões; organizar o calendário de eventos da Câmara; elaborar e encaminhar convites para solenidades oficiais do Legislativo; promover as relações sociais entre a Câmara e outros poderes e entidades; manter cadastro atualizado de autoridades, em nível municipal, estadual e federal; elaborar roteiros de atos solenes e de audiências públicas; proceder à divulgação de informações institucionais via internet; executar outras atividades correlatas.

                                                                                                                                           

                                                                                                                                          PROCURADORIA JURÍDICA

                                                                                                                                           

                                                                                                                                          Art. 17. A Procuradoria Jurídica, órgão vinculado ao Presidente da Casa, tem como atribuições a representação em qualquer foro ou instância da Câmara Municipal, nos feitos de que ela participe; o estudo e as providências alusivas à declaração de inconstitucionalidade; a participação na análise de temas políticos; apreciação de propostas de alteração de entendimentos de natureza jurídica, dos recursos ao Plenário, dos Recursos de Revista e/ou outros questionamentos; a manifestação nas propostas de adoção de precedentes firmados na aplicação do Regimento Interno; a promoção, direta ou indireta, do assessoramento às Comissões Especiais de Estudos, Comissões Parlamentares de Inquérito, Comissões Processantes, à Presidência, aos organismos da Casa e aos Vereadores.

                                                                                                                                          Art. 18. O Procurador Jurídico tem como atribuições: a representação em qualquer foro ou instância da Câmara Municipal, nos feitos que ela integre, inclusive em mandado de segurança proposto contra ocupantes de cargos da Mesa; o estudo e as providências alusivas à declaração de inconstitucionalidade; a participação na análise de temas políticos; estudar e minutar contratos, termos de compromisso e responsabilidade, convênios e outros atos; emitir pareceres singulares ou relatar pareceres coletivos; responder a consulta sobre interpretação de textos legais de interesse da Câmara Municipal; apreciação de propostas de alteração de entendimentos de natureza jurídica formulados pelos advogados, dos recursos ao Plenário, dos Recursos de Revista e/ou outros questionamentos; a manifestação nas propostas de adoção de precedentes firmados quanto à aplicação do Regimento Interno; o assessoramento, direto ou indireto, de Comissões Especiais de Estudos, Comissões Parlamentares de Inquérito, Comissões Processantes, da Presidência, dos organismos da Casa e dos Vereadores; o esclarecimento ao Plenário, à Mesa Executiva, aos Vereadores e aos organismos da Casa das dúvidas remanescentes; a supervisão das atividades da Procuradoria; a manifestação nos relatórios de comissões, audiências públicas, seminários, simpósios e de grupos de trabalho; a composição da escala de férias; dirigir equipes auxiliares no âmbito das atividades próprias do cargo; a execução de atividades correlatas.

                                                                                                                                          Parágrafo único. O Procurador Jurídico, durante o período da investidura, é exclusivamente legitimado para o exercício da advocacia vinculado às atribuições do cargo.

                                                                                                                                           

                                                                                                                                          GABINETES DOS VEREADORES

                                                                                                                                           

                                                                                                                                          Art. 19. Aos Gabinetes dos Vereadores, dirigidos por eles próprios, com auxílio de seus Chefes de Gabinete e demais assessores, compete o auxílio, a assistência e o encaminhamento dos assuntos gerais de interesse dos Gabinetes; a organização e a direção das audiências dos Vereadores; a preparação e a expedição das correspondências; o registro e o encaminhamento, para divulgação, dos atos do titular do Gabinete; a elaboração de proposições de iniciativa dos Vereadores, com as respectivas justificativas; e o desempenho de outros serviços burocráticos, a critério dos Vereadores, e das demais atividades correlatas.

                                                                                                                                          Art. 20. São atribuições do Chefe de Gabinete: desempenhar funções internas e externas; prestar assessoramento e aconselhamento ao Vereador junto ao qual exerce as atribuições de seu cargo; realizar estudos e pesquisas para subsidiar assessoramento no exame de proposições e expedientes em geral que passem pela apreciação do Vereador; efetuar e elaborar trabalhos relacionados com o serviço e a assistência às bases, de interesse do Vereador; sugerir assuntos e temas para pronunciamento do Vereador; exercer atividades de divulgação dos trabalhos realizados e relações públicas do Vereador; controlar a assiduidade e frequência ao trabalho dos assessores lotados no respectivo Gabinete, bem como as atividades por eles realizadas; supervisionar, coordenar e controlar as atividades diárias do Gabinete, promovendo o ajuste das atividades ao plano de ações, atividades e programas.

                                                                                                                                          Art. 21. São atribuições do Assessor Parlamentar: desempenhar funções internas e externas, segundo diretrizes e orientação superior; executar trabalhos de redação e resumo de acompanhamento de reuniões e comissões; auxiliar na realização de pesquisas, estudos e elaboração de informações de interesse do Gabinete; verificar e acompanhar a tramitação de assuntos junto a repartições públicas e órgãos da Câmara; responsabilizar-se pelo recebimento e encaminhamento de pareceres de comissões que o parlamentar integre; colaborar na organização de audiências públicas ou reuniões que devam ser promovidas pelo Vereador; elaborar os projetos de lei de iniciativa do Vereador e as respectivas justificativas.

                                                                                                                                          Art. 22. São atribuições do Assessor de Gabinete: desempenhar funções internas e externas, segundo diretrizes e orientação superior; efetuar serviços de recepção, redação, digitação, organização de arquivos e catalogação dos pedidos de informações e respectivas respostas; controlar prazos e diligenciar respostas às proposições, indicações e pedidos do Vereador; colaborar na agenda política do parlamentar; manter arquivo de documentos e papéis em caráter particular endereçados ao Vereador; expedir convites e anotar todas as providências necessárias ao assessoramento do parlamentar; promover o registro de nome e endereço completo de autoridades, lideranças e cidadãos de interesse do Vereador.

                                                                                                                                          Art. 23. Os ocupantes dos cargos a que se referem os artigos 19 a 21 deverão, preferencialmente, possuir o seguinte nível mínimo de escolaridade:

                                                                                                                                           I – Chefe de Gabinete: ensino superior;

                                                                                                                                           II – Assessor Parlamentar: ensino médio;

                                                                                                                                           III – Assessor de Gabinete: ensino médio.

                                                                                                                                          Art. 24. O controle de assiduidade e frequência ao trabalho dos assessores lotados no respectivo Gabinete, bem como das atividades por eles realizadas, será exercido pelo Chefe de Gabinete, sob a supervisão do Vereador.

                                                                                                                                          Parágrafo único. O controle de que trata o caput referente ao Chefe de Gabinete será exercido direta e exclusivamente pelo Vereador.

                                                                                                                                          Art. 25. As atividades externas realizadas pelos assessores lotados no respectivo Gabinete deverão ser controladas por meio de apresentação de justificativa própria, contendo data, horário, local, tempo de permanência e assunto tratado, que deverá ser validada pelo Chefe de Gabinete e entregue ao setor de Administração e Recursos Humanos, com a anuência do Vereador, no prazo de até 3 (três) dias úteis da ocorrência, para fins de justificação de ausência do servidor do local de trabalho.

                                                                                                                                          Art. 26. Todas as atividades do Gabinete serão de responsabilidade exclusiva do Vereador, inclusive aquelas realizadas em expediente externo, observadas as disposições legais.

                                                                                                                                           

                                                                                                                                          GABINETE DA PRIMEIRA SECRETARIA

                                                                                                                                           

                                                                                                                                          Art. 27. O Gabinete da Primeira Secretaria tem as atribuições determinadas pela Lei Orgânica e pelo Regimento Interno da Casa, destacando-se a superintendência dos serviços administrativos da Casa, sob a orientação do Presidente.

                                                                                                                                          Art. 28. O Assessor de Gabinete da Primeira Secretaria tem como atribuições: a direção, orientação, controle, promoção e fiscalização das atividades inerentes ao Gabinete do Primeiro-Secretário; a manutenção do controle dos expedientes em tramitação no Gabinete; o recebimento, a distribuição e o encaminhamento de correspondências, ordens de serviços e demais trabalhos para execução; a supervisão da devida ordem no arquivo geral da Primeira Secretaria; o encaminhamento ao protocolo, para distribuição, da documentação devidamente despachada; a recepção de autoridades e demais convidados e respectiva condução ao Primeiro-Secretário, sobretudo quando da realização de atos solenes; assessorar o Primeiro-Secretário nas ações de superintendência dos serviços administrativos da Casa, cumprindo a programação de trabalho estabelecida; diligenciar o andamento dos projetos, indicações e requerimentos nas Comissões, com vistas a manter o Primeiro-Secretário apto a responder a consultas relativas à composição da Ordem do Dia das sessões; diligenciar informações sobre ações e medidas com vistas a manter o Primeiro-Secretário apto a discutir e analisar o andamento administrativo da Casa; organizar e dirigir as audiências; auxiliar, assistir e encaminhar os assuntos gerais de interesse do Gabinete; analisar a documentação destinada à assinatura do Primeiro-Secretário, orientando-o sobre os precedentes e rotinas estabelecidas; manter controle dos expedientes, papéis e demais documentos em tramitação no Gabinete; realizar os serviços pertinentes à Primeira Secretaria, à agenda e ao atendimento ao público; sugerir pronunciamentos sobre matérias em tramitação no Legislativo ou sobre acontecimentos que afetem a vida da comunidade; encaminhar demandas e retornar aos cidadãos as medidas resolutivas ou respostas a suas solicitações; agendar e organizar reuniões e debates e assessorar o Primeiro-Secretário em suas relações institucionais com os demais órgãos da Câmara Municipal e no relacionamento político-administrativo com os munícipes, órgãos e entidades públicas e privadas, associações de classe, entidades, organismos estaduais e federais; realizar contatos com autoridades públicas; representar o Primeiro-Secretário em reuniões e eventos, sempre que assim determinado pelo mesmo; sugerir encaminhamentos e pautas políticas; o registro e encaminhamento, para divulgação, dos atos do titular do Gabinete; executar tarefas correlatas.

                                                                                                                                           

                                                                                                                                          DIRETORIA GERAL

                                                                                                                                           

                                                                                                                                          Art. 29. A Diretoria Geral, vinculada diretamente ao Presidente da Casa, tem como atribuições: a discussão de temas políticos; proporcionar e garantir os serviços administrativos, legislativos, de apoio e de ação comum à Câmara, Plenário, Mesa Executiva, Presidência, Comissões Permanentes, Comissões Temporárias, Grupos de Trabalho, Frentes Parlamentares, Audiências Públicas, Vereadores e demais organismos; conduzir, de acordo com as determinações superiores, o exercício das atividades institucionais da Casa e o atendimento público, zelando para que tais procedimentos assegurem o eficiente funcionamento do Legislativo.

                                                                                                                                          Art. 30. O Diretor Geral tem como atribuições: programar, supervisionar, dirigir, coordenar, orientar e controlar a execução de todos os serviços legislativos e administrativos da Câmara Municipal; autorizar a expedição e assinar as certidões requeridas; assinar os processos de pagamento das despesas da Câmara e encaminhar à Presidência para a competente autorização e pagamento; dar posse a todos os servidores efetivos e comissionados da Câmara Municipal, mediante termo em livro próprio; conhecer de todo expediente oriundo das Diretorias; assinar ofícios, atestados, certidões, editais e outros documentos da Câmara Municipal; expedir ordens de serviços e demais atos necessários à execução dos trabalhos da Câmara Municipal, conforme instruções e decisões da Presidência; julgar justificadas ou não faltas ao serviço dos servidores, de acordo com a legislação vigente; autorizar a lotação do pessoal da Câmara Municipal; emitir despachos em processos cuja decisão caiba à autoridade superior; emitir despachos decisórios em processos de sua competência; encaminhar à Mesa Executiva, até o dia 30 de janeiro, o relatório anual circunstanciado das atividades desenvolvidas pela Câmara Municipal; propor medidas à Mesa Executiva que visem a facilitar os serviços da Câmara Municipal; apreciar e encaminhar os relatórios mensais e anuais apresentados pelos órgãos da Câmara Municipal e elaborar um relatório geral para a Mesa Executiva e a Presidência; despachar o expediente com o Presidente da Câmara Municipal; promover reuniões com os Diretores e Coordenadores das Divisões e Seções, para tratar de assuntos relacionados com os serviços da Câmara; comunicar-se com outras repartições públicas, sempre que necessário, para a resolução de assuntos de interesse da Câmara; assinar os cheques em geral, juntamente com o Presidente ou outro membro da Mesa Executiva autorizado; conservar e zelar pelos bens patrimoniais da Câmara Municipal, sob sua responsabilidade e guarda; prestar esclarecimentos em Plenário, quando solicitado; assessorar a Mesa Executiva nos atos e decisões de serviços da Câmara Municipal; assessorar a Mesa e os Vereadores em matéria de sua competência; autorizar a prestação de serviços extraordinários por parte dos servidores da Câmara, ouvidos os respectivos superiores; superintender, direta ou indiretamente, a fiscalização da execução dos contratos celebrados pela Câmara Municipal; fixar, por ato administrativo, a escala anual de férias dos servidores, ouvindo os respectivos superiores; encaminhar à Diretoria Administrativa, por intermédio da Divisão de Finanças, Orçamento e Contabilidade, a elaboração da proposta orçamentária da Câmara, devidamente aprovada pela Mesa Executiva; desempenhar outras funções correlatas.

                                                                                                                                          Art. 31. À Divisão de Tecnologia da Informação compete cumprir e fazer cumprir as determinações regulamentares emanadas da Diretoria Geral; coordenar todo o sistema de processamento de dados da Câmara Municipal; articular com os demais órgãos da Administração a melhor utilização dos equipamentos; programar a execução dos serviços necessários à modernização do sistema; acompanhar a implantação de todos os sistemas programados; apresentar estudos para melhoria do sistema, quando for o caso; adotar sistema de segurança adequado para a guarda dos arquivos, para evitar a sua violação ou qualquer ação que possa prejudicá-los; manter atualizados os dados disponíveis; realizar estudos de viabilidade técnico-econômica sobre a utilização de softwares e equipamentos, emitindo parecer quanto à conveniência de sua aquisição; executar e coordenar a confecção de normas e procedimentos para utilização dos softwares instalados; pesquisar todos os recursos dos equipamentos, proporcionando um suporte técnico e treinamento da equipe da Divisão de Tecnologia da Informação, visando à otimização e racionalização de sistemas em desenvolvimento e produção; sanar as dúvidas de quaisquer setores técnicos, quando solicitado; interagir nas áreas de desenvolvimento e produção, visando detectar problemas e dificuldades e propondo solução no sentido de obter melhor aproveitamento de equipamentos e recursos humanos; proporcionar esquemas de backup’s eficientes, bem como esquemas de recuperação e segurança, em caso de falhas operacionais e sinistros; oferecer treinamento e reciclagem aos servidores usuários do sistema; estabelecer intercâmbios, com órgãos de pesquisa ou detentores de informações, que possam ser de interesse da Câmara Municipal; desempenhar outras funções que lhe forem regularmente atribuídas.

                                                                                                                                          Art. 32. Compete à Seção de Suporte Técnico, Dados e Manutenção, subordinada diretamente à Divisão de Tecnologia da Informação: prestar suporte técnico aos usuários dos equipamentos de informática; detectar e solucionar falhas nos equipamentos de informática; substituir peças defeituosas dos equipamentos de informática; instalar, nos microcomputadores, sistema operacional ou qualquer outro sistema computacional que não esteja funcionando adequadamente; encaminhar a empresa de assistência técnica competente os equipamentos que necessitarem de reparos que não possam ser realizados no próprio local; executar os serviços de implantação, atualização, supervisão e manutenção da rede do sistema, bancos de dados e arquivos, dentre outros serviços de suporte técnico e de supervisão; preparar dispositivos para cópia de segurança dos dados armazenados nos microcomputadores e “servidores de dados”; proceder à cópia de segurança dos dados armazenados nos “servidores de dados”; manter cadastro atualizado das manutenções realizadas nos equipamentos de informática; desempenhar outras funções correlatas.

                                                                                                                                           

                                                                                                                                           DIRETORIA LEGISLATIVA

                                                                                                                                           

                                                                                                                                          Art. 33. A Diretoria Legislativa, vinculada ao Diretor Geral, tem as atribuições de iniciar, desenvolver e concluir os processos de propostas de emenda à Lei Orgânica, de projetos de leis, decretos legislativos e resoluções para apreciação do Plenário; proporcionar e dirigir os trabalhos de apoio às Comissões Permanentes, às Comissões Temporárias e Grupos de Trabalho Administrativos; aprestar substitutivos, emendas, indicações e requerimentos em geral para serem apreciados pelo Plenário; compor a Ordem do Dia das sessões, conforme as instruções do Presidente da Câmara; implementar outras atividades voltadas à regularidade e eficácia da atividade legislativa.

                                                                                                                                          Art. 34. O Diretor Legislativo tem as atribuições de participar da análise dos fatos políticos; com o concurso da Divisão de Assistência Legislativa, orientar, coordenar e dirigir a formação, o desenvolvimento e a conclusão dos processos das propostas de leis, decretos legislativos e resoluções; o aprestamento de substitutivos, emendas, requerimentos em geral e indicações, submetendo-os à consideração do Presidente, para integrarem a pauta da Ordem do Dia das sessões; coordenar as funções de apoio às Comissões Permanentes, às Comissões Temporárias e Grupos de Trabalho Administrativos, das Seções de Redação e Processo Legislativo, de Comissões Permanentes e Temporárias, de Arquivo e Informações e de Protocolo Geral; cumprir e fazer cumprir as determinações superiores; firmar os documentos expedidos pela Diretoria em favor dos demais organismos da Casa; assessorar o Presidente, a Mesa Executiva, as Comissões, os Vereadores e o Diretor Geral; executar tarefas correlatas.

                                                                                                                                          Art. 35. À Divisão de Assistência Legislativa compete desempenhar todos os passos do processo legislativo relativos à tramitação de propostas de emendas à Lei Orgânica do Município, de projetos de leis, de resolução e de decreto legislativo; elaborar a redação final dos projetos; controlar os prazos para sanção ou promulgação; manter o arquivo de leis, de emendas à Lei Orgânica do Município, de resoluções e de decretos legislativos com todos os documentos do processo legislativo do ano corrente; formatar o texto final de leis promulgadas, de emendas à Lei Orgânica do Município, de resoluções e de decretos legislativos, encaminhando-os para promulgação ao Órgão Oficial, com cópia para o Executivo; controlar o prazo para publicação e conferir o texto de atos legislativos no Órgão Oficial do Município; disponibilizar a íntegra de leis, de emendas à Lei Orgânica, de resoluções e de decretos legislativos na internet, com a formatação adequada para visualização; receber vetos aos projetos de leis, encaminhá-los para tramitação e controlar o prazo; manter arquivo auxiliar contendo documentos referentes às comissões, aos conselhos, aos comitês e aos órgãos criados por leis especiais com representação da Câmara (leis, decretos, ofícios e outros) e alimentar o respectivo cadastro no Sistema Informatizado (com controle de mandatos); apoiar a realização das sessões ordinárias, extraordinárias, solenes, secretas e especiais, elaborando as pautas, fornecendo todos os documentos necessários e/ou solicitados em Plenário, acompanhar à discussão das matérias, dar encaminhamento e alimentar o sistema informatizado de acordo com o despacho da Mesa; providenciar o controle de frequência dos vereadores e o respectivo relatório mensal; secretariar as comissões permanentes e temporárias (elaborar ofícios, relatórios, controlar o prazo destas e tomar outras providências que se fizerem necessárias); alimentar e manter atualizado, no sistema informatizado, o cadastro de Decretos do Executivo, da Legislatura, da Mesa Executiva, de Partidos, de Vereadores e de Comissões; elaborar, com dados colhidos em Plenário, ata sucinta das sessões e anais do Poder Legislativo, na forma regimental; elaborar e digitar certidões, pronunciamentos e outras matérias relevantes, pertinentes às sessões, reuniões e outros eventos ligados diretamente à atividade legislativa; organizar, em volumes, os anais da Câmara Municipal, acompanhados de índice analítico e remissivo; desempenhar outras funções que lhe forem regularmente atribuídas.

                                                                                                                                          Art. 36. Compete à Seção de Protocolo Geral da Câmara Municipal, órgão diretamente subordinado à Coordenadoria da Divisão de Assistência Legislativa: cumprir e fazer cumprir as determinações regulamentares emanadas da respectiva coordenadoria; a manutenção do protocolo geral do expediente; a remessa, recebimento, triagem e distribuição da correspondência externa e interna, conforme determinação superior; os serviços de mensageiro; protocolizar, em livro próprio, as solicitações de serviços dos Vereadores, efetuando sua triagem e encaminhamento aos setores responsáveis; elaborar a súmula do expediente recebido, para fins de leitura em plenário; remeter à publicação, mediante protocolo, todos os atos e demais matérias sujeitas a esta finalidade; distribuir, mediante protocolo, relatórios e outros documentos; acompanhar as atividades realizadas por meio do processo eletrônico de tramitação de documentos; desempenhar outras atividades correlatas.

                                                                                                                                          Art. 37. À Seção de Redação e Processo Legislativo, órgão subordinado diretamente à Coordenadoria da Divisão de Assistência Legislativa, compete: cumprir e fazer cumprir as determinações regulamentares emanadas da respectiva coordenadoria; atender aos trabalhos nas sessões da Câmara Municipal; elaborar e digitar as proposições oficiais dos Vereadores e da Mesa Executiva; assessorar a Mesa Executiva, no decorrer das sessões da Câmara Municipal, sobre matéria técnico-legislativa; controlar as matérias em tramitação na Seção; digitar os autógrafos de Emendas à Lei Orgânica, projetos de lei, resoluções, decretos legislativos; redigir, revisar quanto à ortografia e digitar os expedientes oficiais, especialmente requerimentos, indicações e correspondências, afetos à competência da Diretoria Legislativa; enviar, via e-mail, quando possível, ao Gabinete do Prefeito Municipal, os autógrafos dos projetos de lei submetidos à sanção prefeitoral; auxiliar a Seção de Processos Legislativos na elaboração das proposições em geral; manter registro e controle, bem como zelar pela guarda das solicitações de serviço encaminhadas pelos senhores vereadores, destinadas a orientar a elaboração de proposições; instruir, com o auxílio da Seção de Arquivo, Mecanografia e Informações, as solicitações de serviço apresentadas pelos senhores vereadores, posteriormente destinando-as à Seção de Processos Legislativos, para os procedimentos de praxe; sempre que possível, prestar colaboração aos serviços desenvolvidos pelas demais Seções da Divisão; desempenhar outras atividades correlatas.

                                                                                                                                          Art. 38. À Seção de Comissões Permanentes e Temporárias, órgão diretamente subordinado à Coordenadoria da Divisão de Assistência Legislativa, compete: cumprir e fazer cumprir as determinações regulamentares emanadas da respectiva coordenadoria; elaborar parecer, por escrito, em matéria ou proposição, quando solicitado pela Mesa Executiva, com auxílio da Procuradoria Jurídica; elaborar parecer, por escrito, quando solicitado pelas Comissões Permanentes da Câmara, em matérias que exijam apreciação técnico-legislativa; assessorar as Comissões Temporárias e Grupos de Trabalho constituídos na Câmara, em matéria técnico-legislativa, com a orientação da Procuradoria Jurídica, quando necessário; elaborar parecer, quando solicitado pela Mesa Executiva, sobre a proposta do Orçamento-Programa do Município, Plano Plurianual de Investimentos e outras matérias de natureza orçamentária, com a orientação da Coordenadoria da Divisão de Finanças, Orçamento e Contabilidade; elaborar parecer, quando solicitado pela Mesa Executiva, sobre a Prestação de Contas do Município, depois de recebido o Parecer Prévio ou Acórdão do Tribunal de Contas do Estado, também com o auxílio previsto no item anterior; assessorar os Vereadores, a Mesa Executiva, as Comissões Permanentes e Temporárias e os Grupos de Trabalho, em assuntos de sua competência; assessorar os Vereadores na apreciação do Orçamento-Programa do Município, Prestações de Contas e outras matérias pertinentes; assessorar, quando solicitado, a Diretoria Geral e a Diretoria Legislativa, sobre matéria técnico-legislativa; controlar os prazos das matérias encaminhadas às Comissões; numerar e rubricar todos os processos em tramitação no âmbito das Comissões; controlar, por sistema próprio, as matérias em tramitação nas Comissões; desempenhar outras funções correlatas que lhe forem regularmente atribuídas pela Coordenadoria da Divisão de Assistência Legislativa ou superiores hierárquicos.

                                                                                                                                          Art. 39. À Seção de Arquivo e Informações, órgão diretamente subordinado à Coordenadoria da Divisão de Assistência Legislativa, compete: cumprir e fazer cumprir as determinações regulamentares emanadas da Divisão de Assistência Legislativa; manter registro e controle de todos os processos e demais expedientes destinados ao arquivo; preservar atualizado e em boa ordem, em livro, fichas ou outro sistema adotado, o registro das matérias, de forma a assegurar localização rápida e eficiente de qualquer documento recolhido ao arquivo; organizar a coletânea das leis municipais, resoluções e decretos legislativos, requerimentos, indicações e outras matérias, anotando as alterações ou transformações havidas; realizar controle sistemático sobre o cumprimento das leis, decretos legislativos e resoluções, e as razões de sua inobservância, quando ocorrer; conservar arquivo com informações sobre as leis, decretos legislativos e resoluções em desuso, revogadas ou derrogadas; promover, periodicamente, a coletânea de leis, decretos legislativos e resoluções análogos ou afins, para efeito de consolidação de seus textos, conforme critérios e sistemas determinados pela Mesa Executiva; manter sob sua guarda e conservação os livros, revistas, publicações, coleções diversas e outras matérias de interesse da Câmara Municipal, classificando-os convenientemente; atender a consultas e requisições dos órgãos da Câmara Municipal, no que concerne à literatura técnico-legislativa e jurídica, mantendo, para tanto, fichários organizados e atualizados; manter arquivo especial, devidamente cadastrado, para documentos considerados sigilosos ou secretos; adotar sistema de segurança adequado para a guarda dos arquivos da Câmara Municipal, para evitar sua violação ou qualquer ação que possa destruí-los ou inutilizá-los; efetuar, anualmente, a triagem da documentação que se destina ao arquivo morto da Câmara Municipal; promover a microfilmagem de documentos oficiais da Câmara, de conformidade com as determinações da Mesa Executiva; expedir, quando autorizado, cópias ou fotocópias de documentos arquivados ou sob sua responsabilidade; controlar, em livro próprio, o envio de correspondências oficiais da Câmara Municipal; proceder à entrega, mediante registro, de expedientes, relatórios e outros documentos; prestar informações gerais quanto à tramitação de processos e expedientes na Câmara Municipal, quando solicitadas pelas chefias competentes; encaminhar para publicação todos os atos da Mesa Executiva e demais matérias sujeitas a esta formalidade; gravar in totum as sessões da Câmara; elaborar, mensalmente, relatório das atividades legislativas; controlar os prazos dos pedidos de informações ou de documentos encaminhados ao Executivo Municipal; extrair e fazer distribuir avulsos das matérias dadas à Ordem do Dia; organizar, em conjunto com a Divisão de Administração e Recursos Humanos, a relação dos suplentes de Vereadores, a apostilagem dos títulos de nomeação dos servidores, bem como os de posse dos Vereadores; desempenhar outras funções correlatas.

                                                                                                                                          Art. 40. À Divisão de Acompanhamento e Execução das Leis e Projetos Especiais compete o levantamento das leis municipais em vigor, realizando estudos alusivos à sua criação, redação, promulgação e cumprimento; a fiscalização do efetivo cumprimento da norma jurídica; a produção de notas técnicas e pareceres sobre a motivação, criação e regulamentação de todas as leis municipais, sempre que solicitado; a gerência das atividades da Escola do Legislativo, da Câmara Mirim, da Revista do Legislativo Maringaense, da Biblioteca da Câmara Municipal de Maringá e de outros assuntos relacionados aos projetos especiais propostos pela Presidência, Mesa Executiva ou por Vereadores.

                                                                                                                                          Art. 41. À Seção de Projetos Especiais, órgão diretamente subordinado ao Coordenador da Divisão de Acompanhamento e Execução das Leis e Projetos Especiais, compete: cumprir e fazer cumprir as determinações regularmente emanadas da Divisão; assessorar a Mesa Executiva quanto aos projetos desenvolvidos pela Divisão; controlar as matérias desenvolvidas pela Divisão em tramitação na Seção; coordenar as ações da Escola do Legislativo Maringaense, propondo palestras, fóruns, colóquios, seminários e conteúdo publicado em meio impresso ou digital; coordenar o processo de eleição, diplomação e as atividades relacionadas à Câmara Mirim; auxiliar a Divisão na elaboração da Revista do Legislativo Maringaense; prestar assessoria em projetos especiais propostos pela Presidência, Mesa Executiva ou Vereadores, os quais demandem atenção específica; desempenhar outras funções correlatas.

                                                                                                                                           

                                                                                                                                          DIRETORIA ADMINISTRATIVA

                                                                                                                                           

                                                                                                                                          Art. 42. A Diretoria Administrativa, vinculada ao Diretor Geral, tem como atribuições a realização, com a participação e concurso de suas divisões, seções e serviços, das atividades de Administração, Recursos Humanos, Licitações e Compras; Patrimônio; Almoxarifado; Portaria, Vigilância e Segurança; Controle do Uso e da Manutenção de Veículos; Manutenção Geral; Copa e Limpeza: Telefonia; Finanças, Orçamento e Contabilidade; e Tesouraria.

                                                                                                                                          Art. 43. O Diretor Administrativo tem as atribuições de superintender, orientar, dirigir, controlar e coordenar as atividades das divisões e seções integrantes da Diretoria Administrativa; o desenvolvimento de esforços para que as atividades sob sua direção realizem suas competências e funções mediante projetos previamente aprovados, destacando a relação custo/benefício de seus atos administrativos, cumprindo os princípios estabelecidos pelo artigo 37 da Constituição Federal; determinar estudos e, com base neles, propor ao Diretor Geral medidas de aprimoramento dos serviços e atuações de competência da Diretoria de Administração e seus órgãos subordinados; expedir autorização para a instauração dos processos licitatórios e de aquisição; determinar o levantamento mensal de relatórios demonstrativos e estatísticos do comportamento das finanças, orçamentários e apropriação das despesas reais aos vários setores da Câmara Municipal; exigir relatório de conservação geral e de veículos com demonstração estatística mensal, quadrimestral e anual e outros dados que se fizerem necessários; relatar ao Diretor Geral o desempenho global das atividades e serviços sob a responsabilidade da Diretoria Administrativa e seus órgãos subordinados; executar atividades correlatas.

                                                                                                                                          Art. 44. À Divisão de Administração e Recursos Humanos compete cumprir e fazer cumprir as determinações regulamentares emanadas da Diretoria Administrativa; supervisionar a execução dos serviços de reparo e manutenção do prédio, das instalações e do mobiliário da Câmara; o deslocamento dos bens móveis e utensílios entre as dependências da Câmara; manter atualizados os documentos dos servidores nas respectivas pastas;elaborar os atos relativos à admissão, readmissão, aproveitamento, posse, exercício, remoção, transferência, substituição e demissão do pessoal, etc.; verificar, quando da admissão de pessoal, a regularidade dos documentos exibidos; orientar os servidores da Câmara Municipal, quando se fizer necessário, com referência aos atos ou normas de pessoal baixados pela Mesa Executiva; elaborar e supervisionar o registro de frequência dos servidores da Câmara Municipal, de conformidade com o cartão-ponto; organizar a escala de férias dos servidores da Câmara Municipal, as quais, dentro do possível, deverão coincidir com os períodos de recesso legislativo; instruir e informar os processos administrativos, quando solicitado; extrair certidões referentes a assentamentos dos servidores da Câmara; manter controle e verificação do uso do relógio de ponto; elaborar instruções e programas de concurso para o provimento de cargos da administração e manter arquivo organizado dos concursos efetuados; supervisionar a remessa de informações ao Tribunal de Contas do Estado, através de sistema próprio daquele Órgão; zelar pela manutenção, conservação e recuperação do edifício do Poder Legislativo, de suas instalações, mobiliário e equipamentos, excetuados os bens e serviços em garantia, os que exijam mão-de-obra técnica ou especializada para sua recuperação e/ou aqueles que forem objeto de contratação específica por meio de licitação; responsabilizar-se pelo controle, guarda e uso adequado dos equipamentos, ferramentas, utensílios e produtos utilizados nos serviços da Câmara; manter contato com empresas prestadoras de serviços, com vistas à manutenção e conserto de máquinas, móveis e equipamentos, sempre que solicitado; controlar e fiscalizar a execução dos contratos celebrados pela Câmara, na área de sua competência, sob o aspecto do cumprimento dos serviços contratados, sempre que requisitado; manter sistema de controle da utilização do Plenário e das salas de reuniões da Câmara; hastear e arriar as bandeiras; realizar o deslocamento dos bens móveis e utensílios entre as dependências da Casa; desempenhar outras funções que lhe forem atribuídas pela Diretoria Administrativa.

                                                                                                                                          Art. 45. À Seção de Portaria, Vigilância e Segurança, órgão diretamente subordinado à Coordenadoria da Divisão de Administração e Recursos Humanos, compete o atendimento dos trabalhos de manutenção e controle da portaria; atendimento ao público, recepção, credenciamento, controle, frequência e encaminhamento de pessoas; recebimento, ordenação, classificação e encaminhamento de correspondências, jornais, revistas e publicações recebidos e a serem encaminhados; atendimento ao plenário e galeria de visitantes, aos gabinetes, repartições administrativas e garagens; controle e vigilância das dependências internas e externas do Legislativo; zelar pela ordem e segurança da Casa, sobretudo no decorrer das sessões; desempenhar outras funções que lhe forem regularmente atribuídas pela Coordenadoria da Divisão; desenvolver outras atribuições correlatas.

                                                                                                                                          Art. 46. À Seção de Copa e Limpeza, órgão diretamente subordinado à Coordenadoria da Divisão de Administração e Recursos Humanos, compete: as atividades de atendimento ao Plenário, Gabinetes e órgãos da Administração; atividades de controle do consumo e a responsabilidade da guarda dos materiais de limpeza e conservação colocados à disposição da unidade; limpeza e conservação dos móveis, utensílios e materiais vinculados às atividades institucionais da Câmara Municipal; desempenhar outras funções regulamentares que lhe forem atribuídas pela Coordenadoria da Divisão.

                                                                                                                                          Art. 47. À Seção de Telefonia, subordinada à Divisão de Administração e Recursos Humanos, compete: coordenar o atendimento aos usuários internos e externos no tocante aos serviços da central telefônica, garantindo a execução dos serviços e rotinas operacionais; executar a configuração da plataforma; gerenciar a manutenção das linhas fixas (abrir chamado junto à empresa de telefonia, se necessário); coordenar as atividades de controle, instalação, adequação, monitoração e análise do desempenho dos equipamentos de telefonia utilizados pelos usuários finais e dos programas e sistemas básicos que controlam seu funcionamento; manter base de dados contendo registro dos problemas e erros ocorridos nos programas e equipamentos, bem como das medidas tomadas para sua solução, documentando, em relatório estatístico, o tipo de atendimento efetuado; providenciar e analisar relatórios de atendimentos para apresentar propostas de soluções compatíveis, prevenindo e corrigindo eventuais falhas; atender às solicitações, devidamente autorizadas, para instalação de ramais e aparelhos; realizar, diretamente ou por intermédio de terceiros, a manutenção dos recursos de telefonia e comunicação; controlar a movimentação e o estado de conservação dos equipamentos de telefonia e comunicação; gerir o(s) contrato(s) com a empresa de telefonia e os contratos de manutenção preventiva e corretiva dos recursos de telefonia e comunicação; controlar a agenda telefônica digital; atualizar a lista de ramais do site do Legislativo; elaborar relatórios por meio do sistema de tarifação telefônica; desempenhar outras funções regulamentares que lhe forem atribuídas pela Coordenadoria da Divisão.

                                                                                                                                          Art. 48. À Seção de Controle do Uso e da Manutenção de Veículos, subordinada à Divisão de Administração e Recursos Humanos, compete: zelar pela manutenção, conservação e recuperação dos veículos do Poder Legislativo, responsabilizando-se, também, pela regularidade da documentação dos mesmos; manter sistema de controle mensal do uso e da manutenção dos veículos, através de planilhas próprias; promover a lavratura de termos de ocorrência e, quando necessário, solicitar a abertura de procedimentos destinados a apurar responsabilidades quanto ao uso irregular e indevido dos veículos e danos eventualmente provocados nos mesmos, por parte de seus condutores ou usuários; organizar a escala dos motoristas, bem como plano de atendimento das atividades a serem executadas; executar, em geral, os demais atos e medidas relacionados com suas finalidades, inclusive quanto ao preparo de expedientes próprios; promover a identificação dos veículos do Poder Legislativo, nos termos da legislação pertinente; desempenhar outras funções correlatas que lhe forem atribuídas pela Coordenadoria da Divisão.

                                                                                                                                          Art. 49. Ao Serviço de Almoxarifado, diretamente subordinado à Divisão de Administração e Recursos Humanos, compete: cumprir e fazer cumprir as determinações regulamentares emanadas da Coordenadoria da Divisão; receber, conferir e atestar o material entregue pelos fornecedores, e aqueles devolvidos ao estoque; acompanhar e fiscalizar o prazo de fornecimento do material adquirido, comunicando eventuais atrasos ao responsável técnico do contrato, para as providências cabíveis; manter rigoroso controle do material sob sua guarda, registrando todas as entradas e saídas, de forma que se possa, a qualquer momento, proceder ao inventário dos bens em estoque; zelar pela perfeita conservação do material sob sua guarda, promovendo sua estocagem, observadas as várias classificações, bem como sugerir a destinação do material que se tenha tornado inservível; contabilizar as entradas e as saídas dos bens de consumo; elaborar inventário anual do material em estoque; evitar a saída de material desacompanhado de documentação; executar, em geral, os demais atos e medidas relacionados com as suas finalidades; desempenhar outras funções correlatas que lhe forem atribuídas pela Coordenadoria da Divisão.

                                                                                                                                          Art. 50. Ao Serviço de Folha de Pagamentos, subordinado à Divisão de Administração e Recursos Humanos, compete: cumprir e fazer as determinações regulamentares emanadas da Coordenadoria da Divisão; manter cadastro dos servidores da Casa, bem como dos vereadores; lançar no sistema próprio os atos relativos à admissão, readmissão, aproveitamento, posse, exercício, remoção, transferência, substituição, exoneração e demissão do pessoal, etc.; atribuir número de matrícula e expedir carteira de identidade funcional aos servidores, bem como aos vereadores; elaborar as folhas de pagamento, mensalmente, dos servidores da Casa, bem como a respectiva ficha financeira; elaborar as folhas de subsídios dos vereadores, bem como a respectiva ficha financeira; efetuar e controlar o desconto das consignações nas folhas de pagamento, quando devidamente autorizado; preparar e conferir os documentos de informações fiscais, encaminhando-os aos órgãos competentes; fornecer informações pertinentes a sua área de atuação, exceto em casos de sigilo, hipótese em que o pedido será submetido à autoridade competente; executar, em geral, os demais atos e medidas relacionados com suas finalidades, inclusive quanto ao preparo de expediente próprio; desempenhar outras funções que lhe forem regularmente atribuídas pela Coordenadoria da Divisão.

                                                                                                                                          Art. 51. À Divisão de Finanças, Orçamento e Contabilidade compete cumprir e fazer cumprir as determinações regulamentares emanadas da Diretoria Administrativa; efetuar o controle contábil, mediante escrituração dos atos e fatos referentes a seu patrimônio, variação das dotações orçamentárias, despesas e todos os demais atos sujeitos à contabilização; proceder aos lançamentos contábeis da documentação, em conformidade com o plano de contabilidade previamente aprovado; elaborar, com os elementos fornecidos pelas Diretorias, a proposta orçamentária da Câmara Municipal de Maringá a ser encaminhada ao Executivo Municipal, no prazo previsto em lei; elaborar, mensalmente, balancetes e demonstrativos; elaborar, mensalmente, o balancete financeiro a ser encaminhado ao Tribunal de Contas do Estado; elaborar a prestação de contas a ser encaminhada ao Executivo Municipal para posterior envio ao TCE, anualmente, com todos os documentos exigidos, dentro dos prazos legais; manter controle sobre o saldo das dotações orçamentárias, consignações ou subconsignações; atestar a identidade entre a fatura e a nota fiscal de fornecedores, referentes a aquisições feitas pela Divisão de Administração e Recursos Humanos; elaborar o empenho prévio das despesas e ordens de pagamento; efetuar conta corrente atualizada dos devedores temporários da Câmara Municipal, por adiantamentos concedidos, através de Portaria, para pequenas despesas, de modo a assegurar com exatidão os adiantamentos de cada servidor ou Vereador; organizar as prestações de contas, bem como a documentação necessária à comprovação das despesas da Câmara Municipal; fornecer elementos para a abertura de créditos adicionais; emitir parecer, quando solicitado pela Mesa Executiva, sobre a proposta do Orçamento-Programa do Município e do Plano Plurianual de Investimentos e outros de natureza orçamentária; emitir parecer, quando solicitado, sobre a prestação de contas do Município, após o Parecer Prévio ou Acórdão do Tribunal de Contas do Estado; desempenhar outras funções que lhe forem atribuídas pela Diretoria Administrativa.

                                                                                                                                          Art. 52. À Seção de Finanças, Orçamento e Contabilidade, órgão diretamente subordinado à Divisão de Finanças, Orçamento e Contabilidade, compete: cumprir e fazer cumprir as determinações regulamentares emanadas da Coordenadoria da Divisão; efetuar o controle contábil, mediante escrituração dos atos e fatos referentes a seu patrimônio, variação das dotações orçamentárias, despesas e todos os demais atos sujeitos à contabilização; proceder aos lançamentos contábeis da documentação, em conformidade com o plano de contabilidade previamente aprovado; elaborar, com os elementos fornecidos pelas Divisões, a proposta orçamentária da Câmara Municipal de Maringá a ser encaminhada ao Executivo Municipal, no prazo previsto em lei; elaborar, mensalmente, balancetes e demonstrativos; elaborar, mensalmente, o balancete financeiro a ser encaminhado ao Tribunal de Contas do Estado; elaborar a prestação de contas a ser encaminhada ao Executivo Municipal para posterior envio ao TCE, anualmente, com todos os documentos exigidos, dentro dos prazos legais; manter controle sobre o saldo das dotações orçamentárias, consignações ou subconsignações; atestar a identidade entre a fatura e a nota fiscal de fornecedores, referentes a aquisições feitas pela Seção de Licitações e Compras; elaborar o empenho prévio das despesas e ordens de pagamento; efetuar conta corrente atualizada dos devedores temporários da Câmara Municipal, por adiantamentos concedidos, através de Portaria, para pequenas despesas, de modo a assegurar com exatidão os adiantamentos de cada servidor ou Vereador; organizar as prestações de contas, bem como a documentação necessária à comprovação das despesas da Câmara Municipal; fornecer elementos para a abertura de créditos adicionais; emitir parecer, quando solicitado pela Mesa Executiva, sobre a proposta do Orçamento-Programa do Município e do Plano Plurianual de Investimentos e outros de natureza orçamentária; emitir parecer, quando solicitado, sobre a prestação de contas do Município, após o Parecer Prévio ou Acórdão do Tribunal de Contas do Estado; desempenhar outras funções que lhe forem regularmente atribuídas pela Coordenadoria da Divisão de Finanças, Orçamento e Contabilidade.

                                                                                                                                          Art. 53. Ao Serviço de Tesouraria, diretamente subordinado à Divisão de Finanças, Orçamento e Contabilidade, compete: cumprir e fazer cumprir as determinações regulamentares emanadas da Coordenadoria da Divisão; registrar o recebimento, quando autorizado, do duodécimo da Câmara Municipal; efetuar o pagamento de despesas, quando regularmente processadas e autorizadas; manter registro do movimento referente às entradas e saídas de numerário; remeter, à Seção de Finanças, Orçamento e Contabilidade, uma via dos registros efetuados, juntamente com a documentação da despesa, quando paga; efetuar entrega, mediante recibo, de numerário, quando devidamente autorizada; efetuar depósitos e retiradas bancárias dos valores em poder da Câmara Municipal; manter registro de procurações para fins de pagamento; manter controle bancário, com a conferência mensal dos extratos bancários; desempenhar outras funções correlatas que lhe forem atribuídas pela Coordenadoria da Divisão.

                                                                                                                                          Art. 54. Ao Serviço de Patrimônio, diretamente subordinado à Divisão de Finanças, Orçamento e Contabilidade, compete: cumprir e fazer cumprir as determinações regulamentares emanadas da Coordenadoria da Divisão; executar as tarefas pertinentes ao recebimento, aceitação, guarda, distribuição, conservação, registro e controle dos bens patrimoniais da Câmara Municipal de Maringá; promover a identificação de cada peça de bem móvel através de marcação constante de ordem numérica, que deverá corresponder ao registro geral em todas as suas características; proceder regularmente à verificação dos móveis, utensílios e maquinários, quanto à sua permanência nos órgãos para os quais estiverem carregados, corrigindo as irregularidades encontradas; proceder regularmente à verificação do estado de conservação, funcionamento e utilização dos móveis, máquinas e utensílios do Legislativo, providenciando, de imediato, perante a Diretoria Administrativa, as medidas que se fizerem necessárias para reparações ou substituições; elaborar, anualmente, uma relação detalhada dos bens patrimoniais do Legislativo, para ser encaminhada ao Tribunal de Contas do Estado, juntamente com a prestação de contas; zelar pela guarda e conservação do patrimônio do Legislativo, alertando, de imediato, a Diretoria Administrativa quando constatados fatos que ponham em risco sua integridade; manter rigorosamente atualizadas as fichas cadastrais do material permanente; propor à Diretoria Administrativa a alienação ou doação de bens patrimoniais da Casa; executar, em geral, os demais atos e medidas relacionados com as suas finalidades; desempenhar outras funções correlatas que lhe forem atribuídas pela Coordenadoria da Divisão.

                                                                                                                                          Art. 55. À Divisão de Licitações e Compras compete cumprir e fazer cumprir as determinações regulamentares emanadas da Diretoria Administrativa; elaborar os instrumentos convocatórios das licitações; instruir os processos licitatórios; prestar apoio administrativo à Comissão Permanente de Licitações e ao Pregoeiro e Equipe de Apoio; realizar as compras de materiais e a contratação de serviços que dispensam licitações; aprimorar o planejamento, a execução e o controle das atividades de sua competência; acompanhar e registrar os preços praticados em relação a materiais e serviços; elaborar as justificativas legais nos casos de dispensa e inexigibilidade de licitação; elaborar as minutas dos instrumentos contratuais e seus aditamentos; organizar os diplomas legais e normas aplicáveis a licitações e compras; cadastrar os fornecedores de bens e materiais e de prestadores de serviços; desempenhar outras funções que lhe forem atribuídas pela Diretoria Administrativa.

                                                                                                                                          Art. 56. Além das disposições já enunciadas, são obrigações comuns aos Diretores: coordenar a escala de férias dos servidores lotados na respectiva unidade; comunicar à Divisão responsável por tal controle a efetividade dos servidores; providenciar a requisição de materiais, equipamentos e utensílios necessários ao regular funcionamento da repartição; elaborar relatório anual das atividades, sempre que requisitado.

                                                                                                                                          Art. 57. Compete às Coordenadorias de Divisão, em caráter geral: dirigir, orientar e fiscalizar as atividades desenvolvidas pelos respectivos órgãos, bem como pelas seções e serviços que lhes são subordinados; proceder a estudos e sugerir medidas que visem ao aprimoramento dos trabalhos atinentes às unidades que dirigem; requisitar do serviço de almoxarifado o material necessário ao trabalho do órgão que dirige; zelar pela conservação dos bens patrimoniais da Câmara Municipal sob sua responsabilidade; despachar com a diretoria hierarquicamente superior; elaborar relatórios mensais e anuais das atividades desenvolvidas pelos órgãos que dirigem; encaminhar os elementos necessários à elaboração da proposta orçamentária, com relação ao órgão que dirige, para a Divisão de Finanças, Orçamento e Contabilidade; dar informações em processos legislativos, quando solicitado; julgar justificadas ou não as faltas ao trabalho dos servidores, podendo abonar até três (03) por mês, quando se tratar de atraso na entrada ou saída do expediente; executar outras tarefas que lhe sejam regularmente atribuídas.

                                                                                                                                          Art.58. Compete às Coordenadorias de Seção, em caráter geral, cumprir e fazer cumprir as determinações superiores e as disposições referentes à unidade, desempenhando as atribuições que lhe são conferidas; supervisionar os trabalhos da unidade, dirigindo e coordenando as atividades desenvolvidas, bem como estabelecendo os devidos controles sobre a eficiência dos aspectos operacionais relativos à execução das tarefas e à eficácia dos resultados do trabalho geral da Seção, tendo em vista, sempre, a consecução dos seus objetivos, representados pelo conjunto de suas funções.

                                                                                                                                          Art. 59. As disposições contrárias ficam revogadas.

                                                                                                                                           

                                                                                                                                          MÁRIO MASSAO HOSSOKAWA

                                                                                                                                          Presidente

                                                                                                                                          Alteração feita pelo Artigo - Lei Ordinária nº 10.818, de 20 de março de 2019.

                                                                                                                                             

                                                                                                                                            REGULAMENTO DAS FUNÇÕES E ATRIBUIÇÕES DOS ÓRGÃOS, DOS CARGOS DE PROVIMENTO EM COMISSÃO E DAS FUNÇÕES GRATIFICADAS DA CÂMARA MUNICIPAL DE MARINGÁ

                                                                                                                                             

                                                                                                                                            Art. 1.º Este Regulamento estabelece as funções e atribuições dos órgãos, dos cargos de provimento em comissão e das funções gratificadas da Câmara Municipal de Maringá.

                                                                                                                                            Art. 2.º Os cargos de provimento em comissão e as funções gratificadas da Câmara Municipal de Maringá, observadas as disposições desta Lei, são de livre nomeação e exoneração do Presidente da Câmara e se destinam às atividades de assessoramento, direção e chefia do Poder Legislativo.

                                                                                                                                            § 1.º Para atender interesse do Legislativo, o horário de trabalho dos ocupantes de cargos de provimento em comissão poderá ser flexibilizado, para ajustar-se às necessidades dos seus vários organismos, mediante prévia decisão do Presidente da Casa, respeitada a jornada diária correspondente.

                                                                                                                                            § 2.º Além das atribuições específicas de cada um, são obrigações comuns a todos os ocupantes de cargos ou funções: observar e fazer observar no âmbito da repartição e no exercício do múnus público os direitos e deveres inerentes ao cargo ou função; utilizar, operar e administrar diligentemente os serviços, móveis e equipamentos da repartição; desempenhar outras atividades meio necessárias ao cumprimento de suas atribuições, bem assim outras que lhe forem regularmente atribuídas pela autoridade responsável, relacionadas ao exercício do mandato parlamentar e aos objetivos institucionais do Legislativo.

                                                                                                                                            Art. 3.º São órgãos da Câmara Municipal de Maringá:

                                                                                                                                            1. Mesa Executiva;

                                                                                                                                            2. Gabinete da Presidência;

                                                                                                                                            3. Coordenadoria de Comunicação Social;

                                                                                                                                            4. Procuradoria Jurídica;

                                                                                                                                            5. Gabinetes dos Vereadores;

                                                                                                                                            6. Gabinete da Primeira Secretaria;

                                                                                                                                            7. Diretoria Geral;

                                                                                                                                            8. Divisão de Tecnologia da Informação;

                                                                                                                                            9. Diretoria de Compliance e Controle Interno;

                                                                                                                                            10. Diretoria Legislativa;

                                                                                                                                            11. Divisão de Assistência Legislativa;

                                                                                                                                            12. Divisão de Acompanhamento e Execução das Leis e Projetos Especiais;

                                                                                                                                            13. Diretoria Administrativa;

                                                                                                                                            14. Divisão de Administração e Recursos Humanos;

                                                                                                                                            15. Divisão de Licitações e Compras;

                                                                                                                                            16. Divisão de Finanças, Orçamento e Contabilidade.

                                                                                                                                             

                                                                                                                                            MESA EXECUTIVA

                                                                                                                                             

                                                                                                                                            Art. 4.º A Mesa Executiva tem a composição determinada pela Lei Orgânica do Município e pelo Regimento Interno da Câmara.

                                                                                                                                            Art. 5.º As atribuições da Mesa Executiva da Câmara Municipal são as definidas na Lei Orgânica do Município, no Regimento Interno e na legislação que disciplina a estruturação orgânico-administrativa da Casa.

                                                                                                                                            Art. 6.º O Presidente é o representante da Câmara, judicial ou extrajudicialmente, competindo-lhe dirigir seus trabalhos legislativos e serviços administrativos, bem como fiscalizar sua ordem e disciplina.

                                                                                                                                            Art. 7.º Compete ao Primeiro-Secretário, sob a orientação do Presidente, superintender os serviços administrativos da Casa.

                                                                                                                                             

                                                                                                                                            GABINETE DA PRESIDÊNCIA

                                                                                                                                             

                                                                                                                                            Art. 8.º Ao Gabinete da Presidência, dirigido por ele próprio, com auxílio de seu Chefe de Gabinete e demais componentes do seu staff político-administrativo, compete a assistência e o encaminhamento dos assuntos do interesse da Presidência; organizar e dirigir a realização das audiências; a expedição e a recepção das correspondências do Gabinete e o desempenho das demais funções burocráticas, a critério da Presidência, e as funções de Representação do Poder Legislativo e de Administração da Casa.

                                                                                                                                            Art. 9.º O Chefe de Gabinete tem como atribuições, em síntese: a direção, orientação, controle, promoção e fiscalização das atividades inerentes ao Gabinete da Presidência; a manutenção do controle dos expedientes em tramitação no Gabinete; o recebimento, a distribuição e o encaminhamento de correspondência, ordens de serviços e demais trabalhos para execução; a supervisão da devida ordem no arquivo da Presidência; o encaminhamento ao protocolo, para distribuição, da documentação devidamente despachada; a recepção de autoridades e demais convidados e respectiva condução ao Presidente, sobretudo quando da realização de atos solenes.

                                                                                                                                             

                                                                                                                                            COORDENADORIA DE COMUNICAÇÃO SOCIAL

                                                                                                                                             

                                                                                                                                            Art. 10. A Coordenadoria de Comunicação Social, vinculada diretamente ao Presidente, tem como atribuições: o planejamento e a execução da política de comunicação; o estabelecimento de estratégias para a valorização do Poder Legislativo; a divulgação ampla e irrestrita das atividades da Câmara Municipal, dos seus organismos e dos Vereadores, com o objetivo de informar, educar e orientar a população; a coordenação do planejamento e da realização de campanhas publicitárias institucionais; a atividade cerimonial protocolar, nas atividades em que se fizer necessária; a formação, alimentação e manutenção do acervo multimídia na internet, garantindo à população o acesso ao mesmo.

                                                                                                                                            Art. 11.O Coordenador de Comunicação Social tem como atribuições: a coordenação da execução das atribuições de sua unidade; a participação na análise política dos fatos de interesse da Câmara Municipal; de conformidade com as instruções do Presidente e do Diretor Geral, chefiar, supervisionar e coordenar a divulgação das atividades da Câmara Municipal, dos seus organismos e dos Vereadores; a composição de programa de execução dessas atribuições e de controle das mesmas; a composição da pauta de trabalho, otimizando as atividades dos servidores integrantes de sua Coordenadoria; junto aos mesmos, o fomento da produção de noticiário para ser veiculado em todos os meios de veiculação; a orientação, seleção e crítica do material produzido; a direção na distribuição de textos, fotos e releases aos meios de comunicação de massa; aprovar a programação dos serviços fotográficos; fazer com que seja capturado em todas as formas de comunicação todo o registro das atividades da Coordenadoria, da Câmara em geral, dos Vereadores, ou aquelas veiculadas nos meios de comunicação televisada, irradiada, escrita e pela internet, para fins de composição do acervo multimídia; opinar e decidir com as autoridades superiores sobre a produção e a edição de publicações, programação de mídia impressa ou não; coordenar a produção de material gráfico de apoio a eventos e campanhas institucionais; o fornecimento, no momento oportuno, ao Diretor Geral, dos elementos necessários à composição da escala de férias; o estabelecimento e a manutenção de diretrizes necessárias ao fomento, manutenção e utilização do acervo multimídia; a autorização de solicitação de materiais, bens e serviços necessários à Coordenadoria; executar atividades correlatas.

                                                                                                                                            Art. 12. ÀSeção de Comunicação Social,órgão diretamente subordinado à Coordenadoria de Comunicação Social, compete: cumprir e fazer cumprir as determinações regularmente emanadas da Coordenadoria de Comunicação Social; desenvolver as atividades relacionadas à TV Câmara, cooperando para a execução da política de comunicação adotada pelo Poder Legislativo e a observância da legislação pertinente; colaborar na definição de estratégias e ações que visem à ampla divulgação das atividades legislativas, como forma de valorização institucional da Câmara; acompanhar as atividades de planejamento e obtenção dos elementos necessários à produção dos programas, bem como as operações relativas à execução dos programas; acompanhar e informar à respectiva coordenadoria a repercussão da programação veiculada pela TV Câmara junto aos órgãos de imprensa e à população em geral; executar outras atividades correlatas.

                                                                                                                                            Art. 13. ÀSeção de Cerimonial,órgão diretamente subordinado à Coordenadoria de Comunicação Social, compete: cumprir e fazer cumprir as determinações regularmente emanadas da Coordenadoria de Comunicação Social; executar os serviços de cerimonial em geral, bem assim a recepção de autoridades, convidados e visitantes oficiais; organizar o cerimonial das sessões plenárias e coletar as assinaturas dos Vereadores no livro de presença às sessões; organizar o calendário de eventos da Câmara; elaborar e encaminhar convites para solenidades oficiais do Legislativo; promover as relações sociais entre a Câmara e outros poderes e entidades; manter cadastro atualizado de autoridades, em nível municipal, estadual e federal; elaborar roteiros de atos solenes e de audiências públicas; proceder à divulgação de informações institucionais via internet; executar outras atividades correlatas.

                                                                                                                                             

                                                                                                                                            PROCURADORIA JURÍDICA

                                                                                                                                             

                                                                                                                                            Art. 14. A Procuradoria Jurídica, órgão vinculado ao Presidente da Casa, tem como atribuições a representação em qualquer foro ou instância da Câmara Municipal, nos feitos de que ela participe; o estudo e as providências alusivas à declaração de inconstitucionalidade; a participação na análise de temas políticos; apreciação de propostas de alteração de entendimentos de natureza jurídica, dos recursos ao Plenário, dos Recursos de Revista e/ou outros questionamentos; a manifestação nas propostas de adoção de precedentes firmados na aplicação do Regimento Interno; a promoção, direta ou indireta, do assessoramento às Comissões Especiais de Estudos, Comissões Parlamentares de Inquérito, Comissões Processantes, à Presidência, aos organismos da Casa e aos Vereadores.

                                                                                                                                            Art. 15. O Procurador Jurídico tem como atribuições: a representação em qualquer foro ou instância da Câmara Municipal, nos feitos que ela integre, inclusive em mandado de segurança proposto contra ocupantes de cargos da Mesa; o estudo e as providências alusivas à declaração de inconstitucionalidade; a participação na análise de temas políticos; estudar e minutar contratos, termos de compromisso e responsabilidade, convênios e outros atos; emitir pareceres singulares ou relatar pareceres coletivos; responder a consulta sobre interpretação de textos legais de interesse da Câmara Municipal; apreciação de propostas de alteração de entendimentos de natureza jurídica formulados pelos advogados, dos recursos ao Plenário, dos Recursos de Revista e/ou outros questionamentos; a manifestação nas propostas de adoção de precedentes firmados quanto à aplicação do Regimento Interno; o assessoramento, direto ou indireto, de Comissões Especiais de Estudos, Comissões Parlamentares de Inquérito, Comissões Processantes, da Presidência, dos organismos da Casa e dos Vereadores; o esclarecimento ao Plenário, à Mesa Executiva, aos Vereadores e aos organismos da Casa das dúvidas remanescentes; a supervisão das atividades da Procuradoria; a manifestação nos relatórios de comissões, audiências públicas, seminários, simpósios e de grupos de trabalho; a composição da escala de férias; dirigir equipes auxiliares no âmbito das atividades próprias do cargo; a execução de atividades correlatas.

                                                                                                                                            Parágrafo único. O Procurador Jurídico, durante o período da investidura, é exclusivamente legitimado para o exercício da advocacia vinculado às atribuições do cargo.

                                                                                                                                            Art. 16. À Seção de Apoio à Procuradoria da Mulher, órgão diretamente subordinado à Procuradoria Jurídica, compete: cumprir e fazer cumprir as determinações regularmente emanadas da Procuradoria Jurídica, relacionadas à Procuradoria da Mulher; prestar auxílio e assessoramento à Procuradoria da Mulher na execução das atividades de sua competência, previstas no Regimento Interno da Câmara Municipal; realizar a recepção de denúncias de violência e discriminação contra a mulher, promovendo os encaminhamentos determinados pela Procuradoria da Mulher; acompanhar a execução de programas e campanhas do Executivo Municipal que visem à promoção da igualdade de gênero; realizar estudos e pesquisas para subsidiar a formulação de políticas públicas voltadas para as mulheres; organizar seminários, debates, palestras e outros eventos sobre os direitos das mulheres e acerca do combate à violência e à discriminação contra a mulher; exercer atividades de divulgação dos trabalhos realizados pela Procuradoria da Mulher; efetuar serviços de recepção e atendimento ao público, redação de documentos, organização de arquivos e catalogação de dados e informações; manter sistema de registro e controle das matérias e documentos em tramitação na Procuradoria da Mulher; elaborar relatório anual de atividades da Procuradoria da Mulher e promover sua divulgação; desempenhar outras funções correlatas que lhe forem regularmente atribuídas pela Procuradoria da Mulher.

                                                                                                                                             

                                                                                                                                            GABINETES DOS VEREADORES

                                                                                                                                             

                                                                                                                                            Art. 17. Aos Gabinetes dos Vereadores, dirigidos por eles próprios, com auxílio de seus Chefes de Gabinete e demais assessores, compete o auxílio, a assistência e o encaminhamento dos assuntos gerais de interesse dos Gabinetes; a organização e a direção das audiências dos Vereadores; a preparação e a expedição das correspondências; o registro e o encaminhamento, para divulgação, dos atos do titular do Gabinete; a elaboração de proposições de iniciativa dos Vereadores, com as respectivas justificativas; e o desempenho de outros serviços burocráticos, a critério dos Vereadores, e das demais atividades correlatas.

                                                                                                                                            Art. 18. São atribuições do Chefe de Gabinete: desempenhar funções internas e externas; prestar assessoramento e aconselhamento ao Vereador junto ao qual exerce as atribuições de seu cargo; realizar estudos e pesquisas para subsidiar assessoramento no exame de proposições e expedientes em geral que passem pela apreciação do Vereador; efetuar e elaborar trabalhos relacionados com o serviço e a assistência às bases, de interesse do Vereador; sugerir assuntos e temas para pronunciamento do Vereador; exercer atividades de divulgação dos trabalhos realizados e relações públicas do Vereador; controlar a assiduidade e frequência ao trabalho dos assessores lotados no respectivo Gabinete, bem como as atividades por eles realizadas; supervisionar, coordenar e controlar as atividades diárias do Gabinete, promovendo o ajuste das atividades ao plano de ações, atividades e programas.

                                                                                                                                            Art. 19. São atribuições do Assessor Parlamentar: desempenhar funções internas e externas, segundo diretrizes e orientação superior; executar trabalhos de redação e resumo de acompanhamento de reuniões e comissões; auxiliar na realização de pesquisas, estudos e elaboração de informações de interesse do Gabinete; verificar e acompanhar a tramitação de assuntos junto a repartições públicas e órgãos da Câmara; responsabilizar-se pelo recebimento e encaminhamento de pareceres de comissões que o parlamentar integre; colaborar na organização de audiências públicas ou reuniões que devam ser promovidas pelo Vereador; elaborar os projetos de lei de iniciativa do Vereador e as respectivas justificativas.

                                                                                                                                            Art. 20. São atribuições do Assessor de Gabinete: desempenhar funções internas e externas, segundo diretrizes e orientação superior; efetuar serviços de recepção, redação, digitação, organização de arquivos e catalogação dos pedidos de informações e respectivas respostas; controlar prazos e diligenciar respostas às proposições, indicações e pedidos do Vereador; colaborar na agenda política do parlamentar; manter arquivo de documentos e papéis em caráter particular endereçados ao Vereador; expedir convites e anotar todas as providências necessárias ao assessoramento do parlamentar; promover o registro de nome e endereço completo de autoridades, lideranças e cidadãos de interesse do Vereador.

                                                                                                                                            Art. 21. Os ocupantes dos cargos a que se referem os artigos 21 a 23 deverão, preferencialmente, possuir o seguinte nível mínimo de escolaridade:

                                                                                                                                            I – Chefe de Gabinete: ensino superior;

                                                                                                                                            II – Assessor Parlamentar: ensino médio;

                                                                                                                                            III – Assessor de Gabinete: ensino médio.

                                                                                                                                            Art. 22. O controle de assiduidade e frequência ao trabalho dos assessores lotados no respectivo Gabinete, bem como das atividades por eles realizadas, será exercido pelo Chefe de Gabinete, sob a supervisão do Vereador.

                                                                                                                                            Parágrafo único. O controle de que trata o caput referente ao Chefe de Gabinete será exercido direta e exclusivamente pelo Vereador.

                                                                                                                                            Art. 23. As atividades externas realizadas pelos assessores lotados no respectivo Gabinete deverão ser controladas por meio de apresentação de justificativa própria, contendo data, horário, local, tempo de permanência e assunto tratado, que deverá ser validada pelo Chefe de Gabinete e entregue ao setor de Administração e Recursos Humanos, com a anuência do Vereador, no prazo de até 3 (três) dias úteis da ocorrência, para fins de justificação de ausência do servidor do local de trabalho.

                                                                                                                                            Art. 24. Todas as atividades do Gabinete serão de responsabilidade exclusiva do Vereador, inclusive aquelas realizadas em expediente externo, observadas as disposições legais.

                                                                                                                                             

                                                                                                                                            GABINETE DA PRIMEIRA SECRETARIA

                                                                                                                                             

                                                                                                                                            Art. 25. O Gabinete da Primeira Secretaria tem as atribuições determinadas pela Lei Orgânica e pelo Regimento Interno da Casa, destacando-se a superintendência dos serviços administrativos da Casa, sob a orientação do Presidente.

                                                                                                                                            Art. 26. O Assessor de Gabinete da Primeira Secretaria tem como atribuições: a direção, orientação, controle, promoção e fiscalização das atividades inerentes ao Gabinete do Primeiro-Secretário; a manutenção do controle dos expedientes em tramitação no Gabinete; o recebimento, a distribuição e o encaminhamento de correspondências, ordens de serviços e demais trabalhos para execução; a supervisão da devida ordem no arquivo geral da Primeira Secretaria; o encaminhamento ao protocolo, para distribuição, da documentação devidamente despachada; a recepção de autoridades e demais convidados e respectiva condução ao Primeiro-Secretário, sobretudo quando da realização de atos solenes; assessorar o Primeiro-Secretário nas ações de superintendência dos serviços administrativos da Casa, cumprindo a programação de trabalho estabelecida; diligenciar o andamento dos projetos, indicações e requerimentos nas Comissões, com vistas a manter o Primeiro-Secretário apto a responder a consultas relativas à composição da Ordem do Dia das sessões; diligenciar informações sobre ações e medidas com vistas a manter o Primeiro-Secretário apto a discutir e analisar o andamento administrativo da Casa; organizar e dirigir as audiências; auxiliar, assistir e encaminhar os assuntos gerais de interesse do Gabinete; analisar a documentação destinada à assinatura do Primeiro-Secretário, orientando-o sobre os precedentes e rotinas estabelecidas; manter controle dos expedientes, papéis e demais documentos em tramitação no Gabinete; realizar os serviços pertinentes à Primeira Secretaria, à agenda e ao atendimento ao público; sugerir pronunciamentos sobre matérias em tramitação no Legislativo ou sobre acontecimentos que afetem a vida da comunidade; encaminhar demandas e retornar aos cidadãos as medidas resolutivas ou respostas a suas solicitações; agendar e organizar reuniões e debates e assessorar o Primeiro-Secretário em suas relações institucionais com os demais órgãos da Câmara Municipal e no relacionamento político-administrativo com os munícipes, órgãos e entidades públicas e privadas, associações de classe, entidades, organismos estaduais e federais; realizar contatos com autoridades públicas; representar o Primeiro-Secretário em reuniões e eventos, sempre que assim determinado pelo mesmo; sugerir encaminhamentos e pautas políticas; o registro e encaminhamento, para divulgação, dos atos do titular do Gabinete; executar tarefas correlatas.

                                                                                                                                             

                                                                                                                                            DIRETORIA GERAL

                                                                                                                                             

                                                                                                                                            Art. 27. A Diretoria Geral, vinculada diretamente ao Presidente da Casa, tem como atribuições: a discussão de temas políticos; proporcionar e garantir os serviços administrativos, legislativos, de apoio e de ação comum à Câmara, Plenário, Mesa Executiva, Presidência, Comissões Permanentes, Comissões Temporárias, Grupos de Trabalho, Frentes Parlamentares, Audiências Públicas, Vereadores e demais organismos; conduzir, de acordo com as determinações superiores, o exercício das atividades institucionais da Casa e o atendimento público, zelando para que tais procedimentos assegurem o eficiente funcionamento do Legislativo.

                                                                                                                                            Art. 28. O Diretor Geral tem como atribuições: programar, supervisionar, dirigir, coordenar, orientar e controlar a execução de todos os serviços legislativos e administrativos da Câmara Municipal; autorizar a expedição e assinar as certidões requeridas; assinar os processos de pagamento das despesas da Câmara e encaminhar à Presidência para a competente autorização e pagamento; dar posse a todos os servidores efetivos e comissionados da Câmara Municipal, mediante termo em livro próprio; conhecer de todo expediente oriundo das Diretorias; assinar ofícios, atestados, certidões, editais e outros documentos da Câmara Municipal; expedir ordens de serviços e demais atos necessários à execução dos trabalhos da Câmara Municipal, conforme instruções e decisões da Presidência; julgar justificadas ou não faltas ao serviço dos servidores, de acordo com a legislação vigente; autorizar a lotação do pessoal da Câmara Municipal; emitir despachos em processos cuja decisão caiba à autoridade superior; emitir despachos decisórios em processos de sua competência; encaminhar à Mesa Executiva, até o dia 30 de janeiro, o relatório anual circunstanciado das atividades desenvolvidas pela Câmara Municipal; propor medidas à Mesa Executiva que visem a facilitar os serviços da Câmara Municipal; apreciar e encaminhar os relatórios mensais e anuais apresentados pelos órgãos da Câmara Municipal e elaborar um relatório geral para a Mesa Executiva e a Presidência; despachar o expediente com o Presidente da Câmara Municipal; promover reuniões com os Diretores e Coordenadores das Divisões e Seções, para tratar de assuntos relacionados com os serviços da Câmara; comunicar-se com outras repartições públicas, sempre que necessário, para a resolução de assuntos de interesse da Câmara; assinar os cheques em geral, juntamente com o Presidente ou outro membro da Mesa Executiva autorizado; conservar e zelar pelos bens patrimoniais da Câmara Municipal, sob sua responsabilidade e guarda; prestar esclarecimentos em Plenário, quando solicitado; assessorar a Mesa Executiva nos atos e decisões de serviços da Câmara Municipal; assessorar a Mesa e os Vereadores em matéria de sua competência; autorizar a prestação de serviços extraordinários por parte dos servidores da Câmara, ouvidos os respectivos superiores; superintender, direta ou indiretamente, a fiscalização da execução dos contratos celebrados pela Câmara Municipal; fixar, por ato administrativo, a escala anual de férias dos servidores, ouvindo os respectivos superiores; encaminhar à Diretoria Administrativa, por intermédio da Divisão de Finanças, Orçamento e Contabilidade, a elaboração da proposta orçamentária da Câmara, devidamente aprovada pela Mesa Executiva; desempenhar outras funções correlatas.

                                                                                                                                            Art. 29. À Divisão de Tecnologia da Informação compete cumprir e fazer cumprir as determinações regulamentares emanadas da Diretoria Geral; coordenar todo o sistema de processamento de dados da Câmara Municipal; articular com os demais órgãos da Administração a melhor utilização dos equipamentos; programar a execução dos serviços necessários à modernização do sistema; acompanhar a implantação de todos os sistemas programados; apresentar estudos para melhoria do sistema, quando for o caso; adotar sistema de segurança adequado para a guarda dos arquivos, para evitar a sua violação ou qualquer ação que possa prejudicá-los; manter atualizados os dados disponíveis; realizar estudos de viabilidade técnico-econômica sobre a utilização de softwares e equipamentos, emitindo parecer quanto à conveniência de sua aquisição; executar e coordenar a confecção de normas e procedimentos para utilização dos softwares instalados; pesquisar todos os recursos dos equipamentos, proporcionando um suporte técnico e treinamento da equipe da Divisão de Tecnologia da Informação, visando à otimização e racionalização de sistemas em desenvolvimento e produção; sanar as dúvidas de quaisquer setores técnicos, quando solicitado; interagir nas áreas de desenvolvimento e produção, visando detectar problemas e dificuldades e propondo solução no sentido de obter melhor aproveitamento de equipamentos e recursos humanos; proporcionar esquemas de backup’s eficientes, bem como esquemas de recuperação e segurança, em caso de falhas operacionais e sinistros; oferecer treinamento e reciclagem aos servidores usuários do sistema; estabelecer intercâmbios, com órgãos de pesquisa ou detentores de informações, que possam ser de interesse da Câmara Municipal; desempenhar outras funções que lhe forem regularmente atribuídas.

                                                                                                                                            Art. 30. Compete à Seção de Suporte Técnico, Dados e Manutenção, subordinada diretamente à Divisão de Tecnologia da Informação: prestar suporte técnico aos usuários dos equipamentos de informática; detectar e solucionar falhas nos equipamentos de informática; substituir peças defeituosas dos equipamentos de informática; instalar, nos microcomputadores, sistema operacional ou qualquer outro sistema computacional que não esteja funcionando adequadamente; encaminhar a empresa de assistência técnica competente os equipamentos que necessitarem de reparos que não possam ser realizados no próprio local; executar os serviços de implantação, atualização, supervisão e manutenção da rede do sistema, bancos de dados e arquivos, dentre outros serviços de suporte técnico e de supervisão; preparar dispositivos para cópia de segurança dos dados armazenados nos microcomputadores e “servidores de dados”; proceder à cópia de segurança dos dados armazenados nos “servidores de dados”; manter cadastro atualizado das manutenções realizadas nos equipamentos de informática; desempenhar outras funções correlatas.

                                                                                                                                             

                                                                                                                                            DIRETORIA DE COMPLIANCE E CONTROLE INTERNO

                                                                                                                                             

                                                                                                                                            Art. 31. À Diretoria de Compliance e Controle interno compete fiscalizar o cumprimento das metas previstas no Plano Plurianual e a execução dos programas orçamentários, no âmbito do Poder Legislativo; acompanhar a gestão contábil, financeira, orçamentária, operacional e patrimonial do Poder Legislativo Municipal, em apoio ao exercício do controle externo do Tribunal de Contas do Estado do Paraná; atuar preventiva, concomitante e posteriormente aos atos administrativos, visando detectar irregularidades, erros ou falhas, por meio de auditorias comuns, de caráter contínuo, rotineiro e sistemático, previamente programadas, ou em caráter especial ou extraordinário, para apurar denúncias ou suspeitas, segundo os princípios da legalidade, impessoalidade, moralidade, publicidade, razoabilidade, eficiência e economicidade; promover o incremento da transparência na gestão pública; administrar as informações e dados do Portal da Transparência; implantar o programa de integridade, com normas, procedimentos e ações com o objetivo de prevenir, detectar, sanar e remediar erros e falhas, irregularidades e atos ilícitos praticados contra a Administração Pública Municipal; desenvolver treinamentos periódicos sobre o programa de integridade; elaborar e realizar procedimentos específicos para prevenir fraudes e ilícitos no âmbito de processos licitatórios, na execução de contratos administrativos ou em qualquer interação com o Poder Legislativo Municipal, ainda que intermediada por terceiros; elaborar e realizar procedimentos que assegurem a pronta interrupção de irregularidades ou infrações detectadas e a tempestiva remediação dos danos gerados; monitorar continuamente o programa de integridade, visando ao seu aperfeiçoamento na prevenção, detecção e combate à ocorrência dos atos lesivos previstos no artigo 5.º da Lei n. 12.846/2013; coordenar as atividades de auditoria e controle interno do Poder Legislativo Municipal; proceder à análise periódica de riscos para realizar adaptações necessárias ao programa de integridade; implementar, manter e ampliar os canais de denúncia de irregularidades, que deverão ser amplamente divulgados a servidores e terceiros, assegurando-se a existência de mecanismos destinados à proteção de denunciantes de boa-fé; desempenhar todos os atos necessários ao bom e eficaz funcionamento do compliance e do controle interno, visando ao cumprimento de suas finalidades; desempenhar outras atividades que lhe sejam atribuídas pelo Presidente da Câmara Municipal, no âmbito de sua área de atuação.

                                                                                                                                            Art. 32. O Diretor de Compliance e Controle Interno deverá possuir diploma de curso superior, preferencialmente em Administração, Ciências Contábeis, Direito ou Economia.

                                                                                                                                            Art. 33. O Diretor de Compliance e Controle Interno poderá ocupar o cargo por período de até 2 (dois) anos, permitida uma única recondução, para período subsequente, também por até 2 (dois) anos.

                                                                                                                                            Art. 34. Não poderá ser designado para o cargo de Diretor de Compliance e Controle Interno quem:

                                                                                                                                            I – exerça outra atividade profissional;

                                                                                                                                            II – tenha sofrido apenação administrativa, civil ou penal, transitada em julgado;

                                                                                                                                            III – realize atividade ou possua vínculos político-partidários.

                                                                                                                                            Art. 35. Constitui garantia do ocupante do cargo de Diretor de Compliance e Controle Interno do Poder Legislativo independência funcional para o desempenho das atividades.

                                                                                                                                            § 1.º Nenhum processo, documento ou informação poderá ser sonegado ao Diretor de Compliance e Controle Interno, no exercício de suas funções, sob pena de responsabilidade.

                                                                                                                                            § 2.º É assegurada ao Diretor de Compliance e Controle Interno a possibilidade de impugnar, mediante representação, atos sem fundamentação legal.

                                                                                                                                             

                                                                                                                                             DIRETORIA LEGISLATIVA

                                                                                                                                             

                                                                                                                                            Art. 36. A Diretoria Legislativa, vinculada ao Diretor Geral, tem as atribuições de iniciar, desenvolver e concluir os processos de propostas de emenda à Lei Orgânica, de projetos de leis, decretos legislativos e resoluções para apreciação do Plenário; proporcionar e dirigir os trabalhos de apoio às Comissões Permanentes, às Comissões Temporárias e Grupos de Trabalho Administrativos; aprestar substitutivos, emendas, indicações e requerimentos em geral para serem apreciados pelo Plenário; compor a Ordem do Dia das sessões, conforme as instruções do Presidente da Câmara; implementar outras atividades voltadas à regularidade e eficácia da atividade legislativa.

                                                                                                                                            Art. 37. O Diretor Legislativo tem as atribuições de participar da análise dos fatos políticos; com o concurso da Divisão de Assistência Legislativa, orientar, coordenar e dirigir a formação, o desenvolvimento e a conclusão dos processos das propostas de leis, decretos legislativos e resoluções; o aprestamento de substitutivos, emendas, requerimentos em geral e indicações, submetendo-os à consideração do Presidente, para integrarem a pauta da Ordem do Dia das sessões; coordenar as funções de apoio às Comissões Permanentes, às Comissões Temporárias e Grupos de Trabalho Administrativos, das Seções de Redação e Processo Legislativo, de Comissões Permanentes e Temporárias, de Arquivo e Informações e de Protocolo Geral; cumprir e fazer cumprir as determinações superiores; firmar os documentos expedidos pela Diretoria em favor dos demais organismos da Casa; assessorar o Presidente, a Mesa Executiva, as Comissões, os Vereadores e o Diretor Geral; executar tarefas correlatas.

                                                                                                                                            Art. 38. À Divisão de Assistência Legislativa compete desempenhar todos os passos do processo legislativo relativos à tramitação de propostas de emendas à Lei Orgânica do Município, de projetos de leis, de resolução e de decreto legislativo; elaborar a redação final dos projetos; controlar os prazos para sanção ou promulgação; manter o arquivo de leis, de emendas à Lei Orgânica do Município, de resoluções e de decretos legislativos com todos os documentos do processo legislativo do ano corrente; formatar o texto final de leis promulgadas, de emendas à Lei Orgânica do Município, de resoluções e de decretos legislativos, encaminhando-os para promulgação ao Órgão Oficial, com cópia para o Executivo; controlar o prazo para publicação e conferir o texto de atos legislativos no Órgão Oficial do Município; disponibilizar a íntegra de leis, de emendas à Lei Orgânica, de resoluções e de decretos legislativos na internet, com a formatação adequada para visualização; receber vetos aos projetos de leis, encaminhá-los para tramitação e controlar o prazo; manter arquivo auxiliar contendo documentos referentes às comissões, aos conselhos, aos comitês e aos órgãos criados por leis especiais com representação da Câmara (leis, decretos, ofícios e outros) e alimentar o respectivo cadastro no Sistema Informatizado (com controle de mandatos); apoiar a realização das sessões ordinárias, extraordinárias, solenes, secretas e especiais, elaborando as pautas, fornecendo todos os documentos necessários e/ou solicitados em Plenário, acompanhar à discussão das matérias, dar encaminhamento e alimentar o sistema informatizado de acordo com o despacho da Mesa; providenciar o controle de frequência dos vereadores e o respectivo relatório mensal; secretariar as comissões permanentes e temporárias (elaborar ofícios, relatórios, controlar o prazo destas e tomar outras providências que se fizerem necessárias); alimentar e manter atualizado, no sistema informatizado, o cadastro de Decretos do Executivo, da Legislatura, da Mesa Executiva, de Partidos, de Vereadores e de Comissões; elaborar, com dados colhidos em Plenário, ata sucinta das sessões e anais do Poder Legislativo, na forma regimental; elaborar e digitar certidões, pronunciamentos e outras matérias relevantes, pertinentes às sessões, reuniões e outros eventos ligados diretamente à atividade legislativa; organizar, em volumes, os anais da Câmara Municipal, acompanhados de índice analítico e remissivo; desempenhar outras funções que lhe forem regularmente atribuídas.

                                                                                                                                            Art. 39. Compete à Seção de Protocolo Geral da Câmara Municipal, órgão diretamente subordinado à Coordenadoria da Divisão de Assistência Legislativa: cumprir e fazer cumprir as determinações regulamentares emanadas da respectiva coordenadoria; a manutenção do protocolo geral do expediente; a remessa, recebimento, triagem e distribuição da correspondência externa e interna, conforme determinação superior; os serviços de mensageiro; protocolizar, em livro próprio, as solicitações de serviços dos Vereadores, efetuando sua triagem e encaminhamento aos setores responsáveis; elaborar a súmula do expediente recebido, para fins de leitura em plenário; remeter à publicação, mediante protocolo, todos os atos e demais matérias sujeitas a esta finalidade; distribuir, mediante protocolo, relatórios e outros documentos; acompanhar as atividades realizadas por meio do processo eletrônico de tramitação de documentos; desempenhar outras atividades correlatas.

                                                                                                                                            Art. 40. À Seção de Redação e Processo Legislativo, órgão subordinado diretamente à Coordenadoria da Divisão de Assistência Legislativa, compete: cumprir e fazer cumprir as determinações regulamentares emanadas da respectiva coordenadoria; atender aos trabalhos nas sessões da Câmara Municipal; elaborar e digitar as proposições oficiais dos Vereadores e da Mesa Executiva; assessorar a Mesa Executiva, no decorrer das sessões da Câmara Municipal, sobre matéria técnico-legislativa; controlar as matérias em tramitação na Seção; digitar os autógrafos de Emendas à Lei Orgânica, projetos de lei, resoluções, decretos legislativos; redigir, revisar quanto à ortografia e digitar os expedientes oficiais, especialmente requerimentos, indicações e correspondências, afetos à competência da Diretoria Legislativa; enviar, via e-mail, quando possível, ao Gabinete do Prefeito Municipal, os autógrafos dos projetos de lei submetidos à sanção prefeitoral; auxiliar a Seção de Processos Legislativos na elaboração das proposições em geral; manter registro e controle, bem como zelar pela guarda das solicitações de serviço encaminhadas pelos senhores vereadores, destinadas a orientar a elaboração de proposições; instruir, com o auxílio da Seção de Arquivo, Mecanografia e Informações, as solicitações de serviço apresentadas pelos senhores vereadores, posteriormente destinando-as à Seção de Processos Legislativos, para os procedimentos de praxe; sempre que possível, prestar colaboração aos serviços desenvolvidos pelas demais Seções da Divisão; desempenhar outras atividades correlatas.

                                                                                                                                            Art. 41. À Seção de Comissões Permanentes e Temporárias, órgão diretamente subordinado à Coordenadoria da Divisão de Assistência Legislativa, compete: cumprir e fazer cumprir as determinações regulamentares emanadas da respectiva coordenadoria; elaborar parecer, por escrito, em matéria ou proposição, quando solicitado pela Mesa Executiva, com auxílio da Procuradoria Jurídica; elaborar parecer, por escrito, quando solicitado pelas Comissões Permanentes da Câmara, em matérias que exijam apreciação técnico-legislativa; assessorar as Comissões Temporárias e Grupos de Trabalho constituídos na Câmara, em matéria técnico-legislativa, com a orientação da Procuradoria Jurídica, quando necessário; elaborar parecer, quando solicitado pela Mesa Executiva, sobre a proposta do Orçamento-Programa do Município, Plano Plurianual de Investimentos e outras matérias de natureza orçamentária, com a orientação da Coordenadoria da Divisão de Finanças, Orçamento e Contabilidade; elaborar parecer, quando solicitado pela Mesa Executiva, sobre a Prestação de Contas do Município, depois de recebido o Parecer Prévio ou Acórdão do Tribunal de Contas do Estado, também com o auxílio previsto no item anterior; assessorar os Vereadores, a Mesa Executiva, as Comissões Permanentes e Temporárias e os Grupos de Trabalho, em assuntos de sua competência; assessorar os Vereadores na apreciação do Orçamento-Programa do Município, Prestações de Contas e outras matérias pertinentes; assessorar, quando solicitado, a Diretoria Geral e a Diretoria Legislativa, sobre matéria técnico-legislativa; controlar os prazos das matérias encaminhadas às Comissões; numerar e rubricar todos os processos em tramitação no âmbito das Comissões; controlar, por sistema próprio, as matérias em tramitação nas Comissões; desempenhar outras funções correlatas que lhe forem regularmente atribuídas pela Coordenadoria da Divisão de Assistência Legislativa ou superiores hierárquicos.

                                                                                                                                            Art. 42. À Seção de Arquivo e Informações, órgão diretamente subordinado à Coordenadoria da Divisão de Assistência Legislativa, compete: cumprir e fazer cumprir as determinações regulamentares emanadas da Divisão de Assistência Legislativa; manter registro e controle de todos os processos e demais expedientes destinados ao arquivo; preservar atualizado e em boa ordem, em livro, fichas ou outro sistema adotado, o registro das matérias, de forma a assegurar localização rápida e eficiente de qualquer documento recolhido ao arquivo; organizar a coletânea das leis municipais, resoluções e decretos legislativos, requerimentos, indicações e outras matérias, anotando as alterações ou transformações havidas; realizar controle sistemático sobre o cumprimento das leis, decretos legislativos e resoluções, e as razões de sua inobservância, quando ocorrer; conservar arquivo com informações sobre as leis, decretos legislativos e resoluções em desuso, revogadas ou derrogadas; promover, periodicamente, a coletânea de leis, decretos legislativos e resoluções análogos ou afins, para efeito de consolidação de seus textos, conforme critérios e sistemas determinados pela Mesa Executiva; manter sob sua guarda e conservação os livros, revistas, publicações, coleções diversas e outras matérias de interesse da Câmara Municipal, classificando-os convenientemente; atender a consultas e requisições dos órgãos da Câmara Municipal, no que concerne à literatura técnico-legislativa e jurídica, mantendo, para tanto, fichários organizados e atualizados; manter arquivo especial, devidamente cadastrado, para documentos considerados sigilosos ou secretos; adotar sistema de segurança adequado para a guarda dos arquivos da Câmara Municipal, para evitar sua violação ou qualquer ação que possa destruí-los ou inutilizá-los; efetuar, anualmente, a triagem da documentação que se destina ao arquivo morto da Câmara Municipal; promover a microfilmagem de documentos oficiais da Câmara, de conformidade com as determinações da Mesa Executiva; expedir, quando autorizado, cópias ou fotocópias de documentos arquivados ou sob sua responsabilidade; controlar, em livro próprio, o envio de correspondências oficiais da Câmara Municipal; proceder à entrega, mediante registro, de expedientes, relatórios e outros documentos; prestar informações gerais quanto à tramitação de processos e expedientes na Câmara Municipal, quando solicitadas pelas chefias competentes; encaminhar para publicação todos os atos da Mesa Executiva e demais matérias sujeitas a esta formalidade; gravar in totum as sessões da Câmara; elaborar, mensalmente, relatório das atividades legislativas; controlar os prazos dos pedidos de informações ou de documentos encaminhados ao Executivo Municipal; extrair e fazer distribuir avulsos das matérias dadas à Ordem do Dia; organizar, em conjunto com a Divisão de Administração e Recursos Humanos, a relação dos suplentes de Vereadores, a apostilagem dos títulos de nomeação dos servidores, bem como os de posse dos Vereadores; desempenhar outras funções correlatas.

                                                                                                                                            Art. 43. À Divisão de Acompanhamento e Execução das Leis e Projetos Especiais compete o levantamento das leis municipais em vigor, realizando estudos alusivos à sua criação, redação, promulgação e cumprimento; a fiscalização do efetivo cumprimento da norma jurídica; a produção de notas técnicas e pareceres sobre a motivação, criação e regulamentação de todas as leis municipais, sempre que solicitado; a gerência das atividades da Escola do Legislativo, da Câmara Mirim, da Revista do Legislativo Maringaense, da Biblioteca da Câmara Municipal de Maringá e de outros assuntos relacionados aos projetos especiais propostos pela Presidência, Mesa Executiva ou por Vereadores.

                                                                                                                                             

                                                                                                                                            DIRETORIA ADMINISTRATIVA

                                                                                                                                             

                                                                                                                                            Art. 44. A Diretoria Administrativa, vinculada ao Diretor Geral, tem como atribuições a realização, com a participação e concurso de suas divisões, seções e serviços, das atividades de Administração, Recursos Humanos, Licitações e Compras; Patrimônio; Almoxarifado; Portaria, Vigilância e Segurança; Controle do Uso e da Manutenção de Veículos; Manutenção Geral; Copa e Limpeza: Telefonia; Finanças, Orçamento e Contabilidade; e Tesouraria.

                                                                                                                                            Art. 45. O Diretor Administrativo tem as atribuições de superintender, orientar, dirigir, controlar e coordenar as atividades das divisões e seções integrantes da Diretoria Administrativa; o desenvolvimento de esforços para que as atividades sob sua direção realizem suas competências e funções mediante projetos previamente aprovados, destacando a relação custo/benefício de seus atos administrativos, cumprindo os princípios estabelecidos pelo artigo 37 da Constituição Federal; determinar estudos e, com base neles, propor ao Diretor Geral medidas de aprimoramento dos serviços e atuações de competência da Diretoria de Administração e seus órgãos subordinados; expedir autorização para a instauração dos processos licitatórios e de aquisição; determinar o levantamento mensal de relatórios demonstrativos e estatísticos do comportamento das finanças, orçamentários e apropriação das despesas reais aos vários setores da Câmara Municipal; exigir relatório de conservação geral e de veículos com demonstração estatística mensal, quadrimestral e anual e outros dados que se fizerem necessários; relatar ao Diretor Geral o desempenho global das atividades e serviços sob a responsabilidade da Diretoria Administrativa e seus órgãos subordinados; executar atividades correlatas.

                                                                                                                                            Art. 46. À Divisão de Administração e Recursos Humanos compete cumprir e fazer cumprir as determinações regulamentares emanadas da Diretoria Administrativa; supervisionar a execução dos serviços de reparo e manutenção do prédio, das instalações e do mobiliário da Câmara; o deslocamento dos bens móveis e utensílios entre as dependências da Câmara; manter atualizados os documentos dos servidores nas respectivas pastas;elaborar os atos relativos à admissão, readmissão, aproveitamento, posse, exercício, remoção, transferência, substituição e demissão do pessoal, etc.; verificar, quando da admissão de pessoal, a regularidade dos documentos exibidos; orientar os servidores da Câmara Municipal, quando se fizer necessário, com referência aos atos ou normas de pessoal baixados pela Mesa Executiva; elaborar e supervisionar o registro de frequência dos servidores da Câmara Municipal, de conformidade com o cartão-ponto; organizar a escala de férias dos servidores da Câmara Municipal, as quais, dentro do possível, deverão coincidir com os períodos de recesso legislativo; instruir e informar os processos administrativos, quando solicitado; extrair certidões referentes a assentamentos dos servidores da Câmara; manter controle e verificação do uso do relógio de ponto; elaborar instruções e programas de concurso para o provimento de cargos da administração e manter arquivo organizado dos concursos efetuados; supervisionar a remessa de informações ao Tribunal de Contas do Estado, através de sistema próprio daquele Órgão; zelar pela manutenção, conservação e recuperação do edifício do Poder Legislativo, de suas instalações, mobiliário e equipamentos, excetuados os bens e serviços em garantia, os que exijam mão-de-obra técnica ou especializada para sua recuperação e/ou aqueles que forem objeto de contratação específica por meio de licitação; responsabilizar-se pelo controle, guarda e uso adequado dos equipamentos, ferramentas, utensílios e produtos utilizados nos serviços da Câmara; manter contato com empresas prestadoras de serviços, com vistas à manutenção e conserto de máquinas, móveis e equipamentos, sempre que solicitado; controlar e fiscalizar a execução dos contratos celebrados pela Câmara, na área de sua competência, sob o aspecto do cumprimento dos serviços contratados, sempre que requisitado; manter sistema de controle da utilização do Plenário e das salas de reuniões da Câmara; hastear e arriar as bandeiras; realizar o deslocamento dos bens móveis e utensílios entre as dependências da Casa; desempenhar outras funções que lhe forem atribuídas pela Diretoria Administrativa.

                                                                                                                                            Art. 47. À Seção de Portaria, Vigilância e Segurança, órgão diretamente subordinado à Coordenadoria da Divisão de Administração e Recursos Humanos, compete o atendimento dos trabalhos de manutenção e controle da portaria; atendimento ao público, recepção, credenciamento, controle, frequência e encaminhamento de pessoas; recebimento, ordenação, classificação e encaminhamento de correspondências, jornais, revistas e publicações recebidos e a serem encaminhados; atendimento ao plenário e galeria de visitantes, aos gabinetes, repartições administrativas e garagens; controle e vigilância das dependências internas e externas do Legislativo; zelar pela ordem e segurança da Casa, sobretudo no decorrer das sessões; desempenhar outras funções que lhe forem regularmente atribuídas pela Coordenadoria da Divisão; desenvolver outras atribuições correlatas.

                                                                                                                                            Art. 48. À Seção de Copa e Limpeza, órgão diretamente subordinado à Coordenadoria da Divisão de Administração e Recursos Humanos, compete: as atividades de atendimento ao Plenário, Gabinetes e órgãos da Administração; atividades de controle do consumo e a responsabilidade da guarda dos materiais de limpeza e conservação colocados à disposição da unidade; limpeza e conservação dos móveis, utensílios e materiais vinculados às atividades institucionais da Câmara Municipal; desempenhar outras funções regulamentares que lhe forem atribuídas pela Coordenadoria da Divisão.

                                                                                                                                            Art. 49. À Seção de Telefonia, subordinada à Divisão de Administração e Recursos Humanos, compete: coordenar o atendimento aos usuários internos e externos no tocante aos serviços da central telefônica, garantindo a execução dos serviços e rotinas operacionais; executar a configuração da plataforma; gerenciar a manutenção das linhas fixas (abrir chamado junto à empresa de telefonia, se necessário); coordenar as atividades de controle, instalação, adequação, monitoração e análise do desempenho dos equipamentos de telefonia utilizados pelos usuários finais e dos programas e sistemas básicos que controlam seu funcionamento; manter base de dados contendo registro dos problemas e erros ocorridos nos programas e equipamentos, bem como das medidas tomadas para sua solução, documentando, em relatório estatístico, o tipo de atendimento efetuado; providenciar e analisar relatórios de atendimentos para apresentar propostas de soluções compatíveis, prevenindo e corrigindo eventuais falhas; atender às solicitações, devidamente autorizadas, para instalação de ramais e aparelhos; realizar, diretamente ou por intermédio de terceiros, a manutenção dos recursos de telefonia e comunicação; controlar a movimentação e o estado de conservação dos equipamentos de telefonia e comunicação; gerir o(s) contrato(s) com a empresa de telefonia e os contratos de manutenção preventiva e corretiva dos recursos de telefonia e comunicação; controlar a agenda telefônica digital; atualizar a lista de ramais do site do Legislativo; elaborar relatórios por meio do sistema de tarifação telefônica; desempenhar outras funções regulamentares que lhe forem atribuídas pela Coordenadoria da Divisão.

                                                                                                                                            Art. 50. À Seção de Controle do Uso e da Manutenção de Veículos, subordinada à Divisão de Administração e Recursos Humanos, compete: zelar pela manutenção, conservação e recuperação dos veículos do Poder Legislativo, responsabilizando-se, também, pela regularidade da documentação dos mesmos; manter sistema de controle mensal do uso e da manutenção dos veículos, através de planilhas próprias; promover a lavratura de termos de ocorrência e, quando necessário, solicitar a abertura de procedimentos destinados a apurar responsabilidades quanto ao uso irregular e indevido dos veículos e danos eventualmente provocados nos mesmos, por parte de seus condutores ou usuários; organizar a escala dos motoristas, bem como plano de atendimento das atividades a serem executadas; executar, em geral, os demais atos e medidas relacionados com suas finalidades, inclusive quanto ao preparo de expedientes próprios; promover a identificação dos veículos do Poder Legislativo, nos termos da legislação pertinente; desempenhar outras funções correlatas que lhe forem atribuídas pela Coordenadoria da Divisão.

                                                                                                                                            Art. 51. Ao Serviço de Almoxarifado, diretamente subordinado à Divisão de Administração e Recursos Humanos, compete: cumprir e fazer cumprir as determinações regulamentares emanadas da Coordenadoria da Divisão; receber, conferir e atestar o material entregue pelos fornecedores, e aqueles devolvidos ao estoque; acompanhar e fiscalizar o prazo de fornecimento do material adquirido, comunicando eventuais atrasos ao responsável técnico do contrato, para as providências cabíveis; manter rigoroso controle do material sob sua guarda, registrando todas as entradas e saídas, de forma que se possa, a qualquer momento, proceder ao inventário dos bens em estoque; zelar pela perfeita conservação do material sob sua guarda, promovendo sua estocagem, observadas as várias classificações, bem como sugerir a destinação do material que se tenha tornado inservível; contabilizar as entradas e as saídas dos bens de consumo; elaborar inventário anual do material em estoque; evitar a saída de material desacompanhado de documentação; executar, em geral, os demais atos e medidas relacionados com as suas finalidades; desempenhar outras funções correlatas que lhe forem atribuídas pela Coordenadoria da Divisão.

                                                                                                                                            Art. 52. Ao Serviço de Folha de Pagamentos, subordinado à Divisão de Administração e Recursos Humanos, compete: cumprir e fazer as determinações regulamentares emanadas da Coordenadoria da Divisão; manter cadastro dos servidores da Casa, bem como dos vereadores; lançar no sistema próprio os atos relativos à admissão, readmissão, aproveitamento, posse, exercício, remoção, transferência, substituição, exoneração e demissão do pessoal, etc.; atribuir número de matrícula e expedir carteira de identidade funcional aos servidores, bem como aos vereadores; elaborar as folhas de pagamento, mensalmente, dos servidores da Casa, bem como a respectiva ficha financeira; elaborar as folhas de subsídios dos vereadores, bem como a respectiva ficha financeira; efetuar e controlar o desconto das consignações nas folhas de pagamento, quando devidamente autorizado; preparar e conferir os documentos de informações fiscais, encaminhando-os aos órgãos competentes; fornecer informações pertinentes a sua área de atuação, exceto em casos de sigilo, hipótese em que o pedido será submetido à autoridade competente; executar, em geral, os demais atos e medidas relacionados com suas finalidades, inclusive quanto ao preparo de expediente próprio; desempenhar outras funções que lhe forem regularmente atribuídas pela Coordenadoria da Divisão.

                                                                                                                                            Art. 53. À Divisão de Finanças, Orçamento e Contabilidade compete cumprir e fazer cumprir as determinações regulamentares emanadas da Diretoria Administrativa; efetuar o controle contábil, mediante escrituração dos atos e fatos referentes a seu patrimônio, variação das dotações orçamentárias, despesas e todos os demais atos sujeitos à contabilização; proceder aos lançamentos contábeis da documentação, em conformidade com o plano de contabilidade previamente aprovado; elaborar, com os elementos fornecidos pelas Diretorias, a proposta orçamentária da Câmara Municipal de Maringá a ser encaminhada ao Executivo Municipal, no prazo previsto em lei; elaborar, mensalmente, balancetes e demonstrativos; elaborar, mensalmente, o balancete financeiro a ser encaminhado ao Tribunal de Contas do Estado; elaborar a prestação de contas a ser encaminhada ao Executivo Municipal para posterior envio ao TCE, anualmente, com todos os documentos exigidos, dentro dos prazos legais; manter controle sobre o saldo das dotações orçamentárias, consignações ou subconsignações; atestar a identidade entre a fatura e a nota fiscal de fornecedores, referentes a aquisições feitas pela Divisão de Administração e Recursos Humanos; elaborar o empenho prévio das despesas e ordens de pagamento; efetuar conta corrente atualizada dos devedores temporários da Câmara Municipal, por adiantamentos concedidos, através de Portaria, para pequenas despesas, de modo a assegurar com exatidão os adiantamentos de cada servidor ou Vereador; organizar as prestações de contas, bem como a documentação necessária à comprovação das despesas da Câmara Municipal; fornecer elementos para a abertura de créditos adicionais; emitir parecer, quando solicitado pela Mesa Executiva, sobre a proposta do Orçamento-Programa do Município e do Plano Plurianual de Investimentos e outros de natureza orçamentária; emitir parecer, quando solicitado, sobre a prestação de contas do Município, após o Parecer Prévio ou Acórdão do Tribunal de Contas do Estado; desempenhar outras funções que lhe forem atribuídas pela Diretoria Administrativa.

                                                                                                                                            Art. 54. À Seção de Finanças, Orçamento e Contabilidade, órgão diretamente subordinado à Divisão de Finanças, Orçamento e Contabilidade, compete: cumprir e fazer cumprir as determinações regulamentares emanadas da Coordenadoria da Divisão; efetuar o controle contábil, mediante escrituração dos atos e fatos referentes a seu patrimônio, variação das dotações orçamentárias, despesas e todos os demais atos sujeitos à contabilização; proceder aos lançamentos contábeis da documentação, em conformidade com o plano de contabilidade previamente aprovado; elaborar, com os elementos fornecidos pelas Divisões, a proposta orçamentária da Câmara Municipal de Maringá a ser encaminhada ao Executivo Municipal, no prazo previsto em lei; elaborar, mensalmente, balancetes e demonstrativos; elaborar, mensalmente, o balancete financeiro a ser encaminhado ao Tribunal de Contas do Estado; elaborar a prestação de contas a ser encaminhada ao Executivo Municipal para posterior envio ao TCE, anualmente, com todos os documentos exigidos, dentro dos prazos legais; manter controle sobre o saldo das dotações orçamentárias, consignações ou subconsignações; atestar a identidade entre a fatura e a nota fiscal de fornecedores, referentes a aquisições feitas pela Seção de Licitações e Compras; elaborar o empenho prévio das despesas e ordens de pagamento; efetuar conta corrente atualizada dos devedores temporários da Câmara Municipal, por adiantamentos concedidos, através de Portaria, para pequenas despesas, de modo a assegurar com exatidão os adiantamentos de cada servidor ou Vereador; organizar as prestações de contas, bem como a documentação necessária à comprovação das despesas da Câmara Municipal; fornecer elementos para a abertura de créditos adicionais; emitir parecer, quando solicitado pela Mesa Executiva, sobre a proposta do Orçamento-Programa do Município e do Plano Plurianual de Investimentos e outros de natureza orçamentária; emitir parecer, quando solicitado, sobre a prestação de contas do Município, após o Parecer Prévio ou Acórdão do Tribunal de Contas do Estado; desempenhar outras funções que lhe forem regularmente atribuídas pela Coordenadoria da Divisão de Finanças, Orçamento e Contabilidade.

                                                                                                                                            Art. 55. Ao Serviço de Tesouraria, diretamente subordinado à Divisão de Finanças, Orçamento e Contabilidade, compete: cumprir e fazer cumprir as determinações regulamentares emanadas da Coordenadoria da Divisão; registrar o recebimento, quando autorizado, do duodécimo da Câmara Municipal; efetuar o pagamento de despesas, quando regularmente processadas e autorizadas; manter registro do movimento referente às entradas e saídas de numerário; remeter, à Seção de Finanças, Orçamento e Contabilidade, uma via dos registros efetuados, juntamente com a documentação da despesa, quando paga; efetuar entrega, mediante recibo, de numerário, quando devidamente autorizada; efetuar depósitos e retiradas bancárias dos valores em poder da Câmara Municipal; manter registro de procurações para fins de pagamento; manter controle bancário, com a conferência mensal dos extratos bancários; desempenhar outras funções correlatas que lhe forem atribuídas pela Coordenadoria da Divisão.

                                                                                                                                            Art. 56. Ao Serviço de Patrimônio, diretamente subordinado à Divisão de Finanças, Orçamento e Contabilidade, compete: cumprir e fazer cumprir as determinações regulamentares emanadas da Coordenadoria da Divisão; executar as tarefas pertinentes ao recebimento, aceitação, guarda, distribuição, conservação, registro e controle dos bens patrimoniais da Câmara Municipal de Maringá; promover a identificação de cada peça de bem móvel através de marcação constante de ordem numérica, que deverá corresponder ao registro geral em todas as suas características; proceder regularmente à verificação dos móveis, utensílios e maquinários, quanto à sua permanência nos órgãos para os quais estiverem carregados, corrigindo as irregularidades encontradas; proceder regularmente à verificação do estado de conservação, funcionamento e utilização dos móveis, máquinas e utensílios do Legislativo, providenciando, de imediato, perante a Diretoria Administrativa, as medidas que se fizerem necessárias para reparações ou substituições; elaborar, anualmente, uma relação detalhada dos bens patrimoniais do Legislativo, para ser encaminhada ao Tribunal de Contas do Estado, juntamente com a prestação de contas; zelar pela guarda e conservação do patrimônio do Legislativo, alertando, de imediato, a Diretoria Administrativa quando constatados fatos que ponham em risco sua integridade; manter rigorosamente atualizadas as fichas cadastrais do material permanente; propor à Diretoria Administrativa a alienação ou doação de bens patrimoniais da Casa; executar, em geral, os demais atos e medidas relacionados com as suas finalidades; desempenhar outras funções correlatas que lhe forem atribuídas pela Coordenadoria da Divisão.

                                                                                                                                            Art. 57. À Divisão de Licitações e Compras compete cumprir e fazer cumprir as determinações regulamentares emanadas da Diretoria Administrativa; elaborar os instrumentos convocatórios das licitações; instruir os processos licitatórios; prestar apoio administrativo à Comissão Permanente de Licitações e ao Pregoeiro e Equipe de Apoio; realizar as compras de materiais e a contratação de serviços que dispensam licitações; aprimorar o planejamento, a execução e o controle das atividades de sua competência; acompanhar e registrar os preços praticados em relação a materiais e serviços; elaborar as justificativas legais nos casos de dispensa e inexigibilidade de licitação; elaborar as minutas dos instrumentos contratuais e seus aditamentos; organizar os diplomas legais e normas aplicáveis a licitações e compras; cadastrar os fornecedores de bens e materiais e de prestadores de serviços; desempenhar outras funções que lhe forem atribuídas pela Diretoria Administrativa.

                                                                                                                                            Art. 58. Além das disposições já enunciadas, são obrigações comuns aos Diretores: coordenar a escala de férias dos servidores lotados na respectiva unidade; comunicar à Divisão responsável por tal controle a efetividade dos servidores; providenciar a requisição de materiais, equipamentos e utensílios necessários ao regular funcionamento da repartição; elaborar relatório anual das atividades, sempre que requisitado.

                                                                                                                                            Art. 59. Compete às Coordenadorias de Divisão, em caráter geral: dirigir, orientar e fiscalizar as atividades desenvolvidas pelos respectivos órgãos, bem como pelas seções e serviços que lhes são subordinados; proceder a estudos e sugerir medidas que visem ao aprimoramento dos trabalhos atinentes às unidades que dirigem; requisitar do serviço de almoxarifado o material necessário ao trabalho do órgão que dirige; zelar pela conservação dos bens patrimoniais da Câmara Municipal sob sua responsabilidade; despachar com a diretoria hierarquicamente superior; elaborar relatórios mensais e anuais das atividades desenvolvidas pelos órgãos que dirigem; encaminhar os elementos necessários à elaboração da proposta orçamentária, com relação ao órgão que dirige, para a Divisão de Finanças, Orçamento e Contabilidade; dar informações em processos legislativos, quando solicitado; julgar justificadas ou não as faltas ao trabalho dos servidores, podendo abonar até três (03) por mês, quando se tratar de atraso na entrada ou saída do expediente; executar outras tarefas que lhe sejam regularmente atribuídas.

                                                                                                                                            Art.60. Compete às Coordenadorias de Seção, em caráter geral, cumprir e fazer cumprir as determinações superiores e as disposições referentes à unidade, desempenhando as atribuições que lhe são conferidas; supervisionar os trabalhos da unidade, dirigindo e coordenando as atividades desenvolvidas, bem como estabelecendo os devidos controles sobre a eficiência dos aspectos operacionais relativos à execução das tarefas e à eficácia dos resultados do trabalho geral da Seção, tendo em vista, sempre, a consecução dos seus objetivos, representados pelo conjunto de suas funções.

                                                                                                                                            Art. 61. As disposições contrárias ficam revogadas.

                                                                                                                                             

                                                                                                                                            Plenário Vereador Ulisses Bruder, 08 de dezembro de 2021.

                                                                                                                                             

                                                                                                                                            MÁRIO MASSAO HOSSOKAWA

                                                                                                                                            Presidente

                                                                                                                                             

                                                                                                                                            Alteração feita pelo Artigo - Lei Ordinária nº 11.422, de 17 de dezembro de 2021.

                                                                                                                                              REGULAMENTO DAS FUNÇÕES E ATRIBUIÇÕES DOS ÓRGÃOS, DOS CARGOS DE PROVIMENTO EM COMISSÃO E DAS FUNÇÕES GRATIFICADAS DA CÂMARA MUNICIPAL DE MARINGÁ

                                                                                                                                               

                                                                                                                                              Art. 1.º Este Regulamento estabelece as funções e atribuições dos órgãos, dos cargos de provimento em comissão e das funções gratificadas da Câmara Municipal de Maringá.

                                                                                                                                              Art. 2.º Os cargos de provimento em comissão e as funções gratificadas da Câmara Municipal de Maringá, observadas as disposições desta Lei, são de livre nomeação e exoneração do Presidente da Câmara e se destinam às atividades de assessoramento, direção e chefia do Poder Legislativo.

                                                                                                                                              § 1.º Para atender interesse do Legislativo, o horário de trabalho dos ocupantes de cargos de provimento em comissão poderá ser flexibilizado, para ajustar-se às necessidades dos seus vários organismos, mediante prévia decisão do Presidente da Casa, respeitada a jornada diária correspondente.

                                                                                                                                              § 2.º Além das atribuições específicas de cada um, são obrigações comuns a todos os ocupantes de cargos ou funções: observar e fazer observar no âmbito da repartição e no exercício do múnus público os direitos e deveres inerentes ao cargo ou função; utilizar, operar e administrar diligentemente os serviços, móveis e equipamentos da repartição; desempenhar outras atividades meio necessárias ao cumprimento de suas atribuições, bem assim outras que lhe forem regularmente atribuídas pela autoridade responsável, relacionadas ao exercício do mandato parlamentar e aos objetivos institucionais do Legislativo.

                                                                                                                                              Art. 3.º São órgãos da Câmara Municipal de Maringá:

                                                                                                                                              1. Mesa Executiva;

                                                                                                                                              2. Gabinete da Presidência;

                                                                                                                                              3. Coordenadoria de Comunicação Social;

                                                                                                                                              4. Procuradoria Jurídica;

                                                                                                                                              5. Gabinetes dos Vereadores;

                                                                                                                                              6. Gabinete da Primeira Secretaria;

                                                                                                                                              7. Diretoria Geral;

                                                                                                                                              8. Divisão de Tecnologia da Informação;

                                                                                                                                              9. Diretoria de Compliance e Controle Interno;

                                                                                                                                              10. Diretoria Legislativa;

                                                                                                                                              11. Divisão de Assistência Legislativa;

                                                                                                                                              12. Divisão de Acompanhamento e Execução das Leis e Projetos Especiais;

                                                                                                                                              13. Diretoria Administrativa;

                                                                                                                                              14. Divisão de Administração e Recursos Humanos;

                                                                                                                                              15. Divisão de Licitações e Compras;

                                                                                                                                              16. Divisão de Finanças, Orçamento e Contabilidade.

                                                                                                                                               

                                                                                                                                              MESA EXECUTIVA

                                                                                                                                               

                                                                                                                                              Art. 4.º A Mesa Executiva tem a composição determinada pela Lei Orgânica do Município e pelo Regimento Interno da Câmara.

                                                                                                                                              Art. 5.º As atribuições da Mesa Executiva da Câmara Municipal são as definidas na Lei Orgânica do Município, no Regimento Interno e na legislação que disciplina a estruturação orgânico-administrativa da Casa.

                                                                                                                                              Art. 6.º O Presidente é o representante da Câmara, judicial ou extrajudicialmente, competindo-lhe dirigir seus trabalhos legislativos e serviços administrativos, bem como fiscalizar sua ordem e disciplina.

                                                                                                                                              Art. 7.º Compete ao Primeiro-Secretário, sob a orientação do Presidente, superintender os serviços administrativos da Casa.

                                                                                                                                               

                                                                                                                                              GABINETE DA PRESIDÊNCIA

                                                                                                                                               

                                                                                                                                              Art. 8.º Ao Gabinete da Presidência, dirigido por ele próprio, com auxílio de seu Chefe de Gabinete e demais componentes do seu staff político-administrativo, compete a assistência e o encaminhamento dos assuntos do interesse da Presidência; organizar e dirigir a realização das audiências; a expedição e a recepção das correspondências do Gabinete e o desempenho das demais funções burocráticas, a critério da Presidência, e as funções de Representação do Poder Legislativo e de Administração da Casa.

                                                                                                                                              Art. 9.º O Chefe de Gabinete tem como atribuições, em síntese: a direção, orientação, controle, promoção e fiscalização das atividades inerentes ao Gabinete da Presidência; a manutenção do controle dos expedientes em tramitação no Gabinete; o recebimento, a distribuição e o encaminhamento de correspondência, ordens de serviços e demais trabalhos para execução; a supervisão da devida ordem no arquivo da Presidência; o encaminhamento ao protocolo, para distribuição, da documentação devidamente despachada; a recepção de autoridades e demais convidados e respectiva condução ao Presidente, sobretudo quando da realização de atos solenes.

                                                                                                                                               

                                                                                                                                              COORDENADORIA DE COMUNICAÇÃO SOCIAL

                                                                                                                                               

                                                                                                                                              Art. 10. A Coordenadoria de Comunicação Social, vinculada diretamente ao Presidente, tem como atribuições: o planejamento e a execução da política de comunicação; o estabelecimento de estratégias para a valorização do Poder Legislativo; a divulgação ampla e irrestrita das atividades da Câmara Municipal, dos seus organismos e dos Vereadores, com o objetivo de informar, educar e orientar a população; a coordenação do planejamento e da realização de campanhas publicitárias institucionais; a atividade cerimonial protocolar, nas atividades em que se fizer necessária; a formação, alimentação e manutenção do acervo multimídia na internet, garantindo à população o acesso ao mesmo.

                                                                                                                                              Art. 11.O Coordenador de Comunicação Social tem como atribuições: a coordenação da execução das atribuições de sua unidade; a participação na análise política dos fatos de interesse da Câmara Municipal; de conformidade com as instruções do Presidente e do Diretor Geral, chefiar, supervisionar e coordenar a divulgação das atividades da Câmara Municipal, dos seus organismos e dos Vereadores; a composição de programa de execução dessas atribuições e de controle das mesmas; a composição da pauta de trabalho, otimizando as atividades dos servidores integrantes de sua Coordenadoria; junto aos mesmos, o fomento da produção de noticiário para ser veiculado em todos os meios de veiculação; a orientação, seleção e crítica do material produzido; a direção na distribuição de textos, fotos e releases aos meios de comunicação de massa; aprovar a programação dos serviços fotográficos; fazer com que seja capturado em todas as formas de comunicação todo o registro das atividades da Coordenadoria, da Câmara em geral, dos Vereadores, ou aquelas veiculadas nos meios de comunicação televisada, irradiada, escrita e pela internet, para fins de composição do acervo multimídia; opinar e decidir com as autoridades superiores sobre a produção e a edição de publicações, programação de mídia impressa ou não; coordenar a produção de material gráfico de apoio a eventos e campanhas institucionais; o fornecimento, no momento oportuno, ao Diretor Geral, dos elementos necessários à composição da escala de férias; o estabelecimento e a manutenção de diretrizes necessárias ao fomento, manutenção e utilização do acervo multimídia; a autorização de solicitação de materiais, bens e serviços necessários à Coordenadoria; executar atividades correlatas.

                                                                                                                                              Art. 12. ÀSeção de Comunicação Social,órgão diretamente subordinado à Coordenadoria de Comunicação Social, compete: cumprir e fazer cumprir as determinações regularmente emanadas da Coordenadoria de Comunicação Social; desenvolver as atividades relacionadas à TV Câmara, cooperando para a execução da política de comunicação adotada pelo Poder Legislativo e a observância da legislação pertinente; colaborar na definição de estratégias e ações que visem à ampla divulgação das atividades legislativas, como forma de valorização institucional da Câmara; acompanhar as atividades de planejamento e obtenção dos elementos necessários à produção dos programas, bem como as operações relativas à execução dos programas; acompanhar e informar à respectiva coordenadoria a repercussão da programação veiculada pela TV Câmara junto aos órgãos de imprensa e à população em geral; executar outras atividades correlatas.

                                                                                                                                              Art. 13. ÀSeção de Cerimonial,órgão diretamente subordinado à Coordenadoria de Comunicação Social, compete: cumprir e fazer cumprir as determinações regularmente emanadas da Coordenadoria de Comunicação Social; executar os serviços de cerimonial em geral, bem assim a recepção de autoridades, convidados e visitantes oficiais; organizar o cerimonial das sessões plenárias e coletar as assinaturas dos Vereadores no livro de presença às sessões; organizar o calendário de eventos da Câmara; elaborar e encaminhar convites para solenidades oficiais do Legislativo; promover as relações sociais entre a Câmara e outros poderes e entidades; manter cadastro atualizado de autoridades, em nível municipal, estadual e federal; elaborar roteiros de atos solenes e de audiências públicas; proceder à divulgação de informações institucionais via internet; executar outras atividades correlatas.

                                                                                                                                               

                                                                                                                                              PROCURADORIA JURÍDICA

                                                                                                                                               

                                                                                                                                              Art. 14. A Procuradoria Jurídica, órgão vinculado ao Presidente da Casa, tem como atribuições a representação em qualquer foro ou instância da Câmara Municipal, nos feitos de que ela participe; o estudo e as providências alusivas à declaração de inconstitucionalidade; a participação na análise de temas políticos; apreciação de propostas de alteração de entendimentos de natureza jurídica, dos recursos ao Plenário, dos Recursos de Revista e/ou outros questionamentos; a manifestação nas propostas de adoção de precedentes firmados na aplicação do Regimento Interno; a promoção, direta ou indireta, do assessoramento às Comissões Especiais de Estudos, Comissões Parlamentares de Inquérito, Comissões Processantes, à Presidência, aos organismos da Casa e aos Vereadores.

                                                                                                                                              Art. 15. O Procurador Jurídico tem como atribuições: a representação em qualquer foro ou instância da Câmara Municipal, nos feitos que ela integre, inclusive em mandado de segurança proposto contra ocupantes de cargos da Mesa; o estudo e as providências alusivas à declaração de inconstitucionalidade; a participação na análise de temas políticos; estudar e minutar contratos, termos de compromisso e responsabilidade, convênios e outros atos; emitir pareceres singulares ou relatar pareceres coletivos; responder a consulta sobre interpretação de textos legais de interesse da Câmara Municipal; apreciação de propostas de alteração de entendimentos de natureza jurídica formulados pelos advogados, dos recursos ao Plenário, dos Recursos de Revista e/ou outros questionamentos; a manifestação nas propostas de adoção de precedentes firmados quanto à aplicação do Regimento Interno; o assessoramento, direto ou indireto, de Comissões Especiais de Estudos, Comissões Parlamentares de Inquérito, Comissões Processantes, da Presidência, dos organismos da Casa e dos Vereadores; o esclarecimento ao Plenário, à Mesa Executiva, aos Vereadores e aos organismos da Casa das dúvidas remanescentes; a supervisão das atividades da Procuradoria; a manifestação nos relatórios de comissões, audiências públicas, seminários, simpósios e de grupos de trabalho; a composição da escala de férias; dirigir equipes auxiliares no âmbito das atividades próprias do cargo; a execução de atividades correlatas.

                                                                                                                                              Parágrafo único. O Procurador Jurídico, durante o período da investidura, é exclusivamente legitimado para o exercício da advocacia vinculado às atribuições do cargo.

                                                                                                                                              Art. 16. À Seção de Apoio à Procuradoria da Mulher, órgão diretamente subordinado à Procuradoria Jurídica, compete: cumprir e fazer cumprir as determinações regularmente emanadas da Procuradoria Jurídica, relacionadas à Procuradoria da Mulher; prestar auxílio e assessoramento à Procuradoria da Mulher na execução das atividades de sua competência, previstas no Regimento Interno da Câmara Municipal; realizar a recepção de denúncias de violência e discriminação contra a mulher, promovendo os encaminhamentos determinados pela Procuradoria da Mulher; acompanhar a execução de programas e campanhas do Executivo Municipal que visem à promoção da igualdade de gênero; realizar estudos e pesquisas para subsidiar a formulação de políticas públicas voltadas para as mulheres; organizar seminários, debates, palestras e outros eventos sobre os direitos das mulheres e acerca do combate à violência e à discriminação contra a mulher; exercer atividades de divulgação dos trabalhos realizados pela Procuradoria da Mulher; efetuar serviços de recepção e atendimento ao público, redação de documentos, organização de arquivos e catalogação de dados e informações; manter sistema de registro e controle das matérias e documentos em tramitação na Procuradoria da Mulher; elaborar relatório anual de atividades da Procuradoria da Mulher e promover sua divulgação; desempenhar outras funções correlatas que lhe forem regularmente atribuídas pela Procuradoria da Mulher.

                                                                                                                                               

                                                                                                                                              GABINETES DOS VEREADORES

                                                                                                                                               

                                                                                                                                              Art. 17. Aos Gabinetes dos Vereadores, dirigidos por eles próprios, com auxílio de seus Chefes de Gabinete e demais assessores, compete o auxílio, a assistência e o encaminhamento dos assuntos gerais de interesse dos Gabinetes; a organização e a direção das audiências dos Vereadores; a preparação e a expedição das correspondências; o registro e o encaminhamento, para divulgação, dos atos do titular do Gabinete; a elaboração de proposições de iniciativa dos Vereadores, com as respectivas justificativas; e o desempenho de outros serviços burocráticos, a critério dos Vereadores, e das demais atividades correlatas.

                                                                                                                                              Art. 18. São atribuições do Chefe de Gabinete: desempenhar funções internas e externas; prestar assessoramento e aconselhamento ao Vereador junto ao qual exerce as atribuições de seu cargo; realizar estudos e pesquisas para subsidiar assessoramento no exame de proposições e expedientes em geral que passem pela apreciação do Vereador; efetuar e elaborar trabalhos relacionados com o serviço e a assistência às bases, de interesse do Vereador; sugerir assuntos e temas para pronunciamento do Vereador; exercer atividades de divulgação dos trabalhos realizados e relações públicas do Vereador; controlar a assiduidade e frequência ao trabalho dos assessores lotados no respectivo Gabinete, bem como as atividades por eles realizadas; supervisionar, coordenar e controlar as atividades diárias do Gabinete, promovendo o ajuste das atividades ao plano de ações, atividades e programas.

                                                                                                                                              Art. 19. São atribuições do Assessor Parlamentar: desempenhar funções internas e externas, segundo diretrizes e orientação superior; executar trabalhos de redação e resumo de acompanhamento de reuniões e comissões; auxiliar na realização de pesquisas, estudos e elaboração de informações de interesse do Gabinete; verificar e acompanhar a tramitação de assuntos junto a repartições públicas e órgãos da Câmara; responsabilizar-se pelo recebimento e encaminhamento de pareceres de comissões que o parlamentar integre; colaborar na organização de audiências públicas ou reuniões que devam ser promovidas pelo Vereador; elaborar os projetos de lei de iniciativa do Vereador e as respectivas justificativas.

                                                                                                                                              Art. 20. São atribuições do Assessor de Gabinete: desempenhar funções internas e externas, segundo diretrizes e orientação superior; efetuar serviços de recepção, redação, digitação, organização de arquivos e catalogação dos pedidos de informações e respectivas respostas; controlar prazos e diligenciar respostas às proposições, indicações e pedidos do Vereador; colaborar na agenda política do parlamentar; manter arquivo de documentos e papéis em caráter particular endereçados ao Vereador; expedir convites e anotar todas as providências necessárias ao assessoramento do parlamentar; promover o registro de nome e endereço completo de autoridades, lideranças e cidadãos de interesse do Vereador.

                                                                                                                                              Art. 21. Os ocupantes dos cargos a que se referem os artigos 21 a 23 deverão, preferencialmente, possuir o seguinte nível mínimo de escolaridade:

                                                                                                                                              I – Chefe de Gabinete: ensino superior;

                                                                                                                                              II – Assessor Parlamentar: ensino médio;

                                                                                                                                              III – Assessor de Gabinete: ensino médio.

                                                                                                                                              Art. 22. O controle de assiduidade e frequência ao trabalho dos assessores lotados no respectivo Gabinete, bem como das atividades por eles realizadas, será exercido pelo Chefe de Gabinete, sob a supervisão do Vereador.

                                                                                                                                              Parágrafo único. O controle de que trata o caput referente ao Chefe de Gabinete será exercido direta e exclusivamente pelo Vereador.

                                                                                                                                              Art. 23. As atividades externas realizadas pelos assessores lotados no respectivo Gabinete deverão ser controladas por meio de apresentação de justificativa própria, contendo data, horário, local, tempo de permanência e assunto tratado, que deverá ser validada pelo Chefe de Gabinete e entregue ao setor de Administração e Recursos Humanos, com a anuência do Vereador, no prazo de até 3 (três) dias úteis da ocorrência, para fins de justificação de ausência do servidor do local de trabalho.

                                                                                                                                              Art. 24. Todas as atividades do Gabinete serão de responsabilidade exclusiva do Vereador, inclusive aquelas realizadas em expediente externo, observadas as disposições legais.

                                                                                                                                               

                                                                                                                                              GABINETE DA PRIMEIRA SECRETARIA

                                                                                                                                               

                                                                                                                                              Art. 25. O Gabinete da Primeira Secretaria tem as atribuições determinadas pela Lei Orgânica e pelo Regimento Interno da Casa, destacando-se a superintendência dos serviços administrativos da Casa, sob a orientação do Presidente.

                                                                                                                                              Art. 26. O Assessor de Gabinete da Primeira Secretaria tem como atribuições: a direção, orientação, controle, promoção e fiscalização das atividades inerentes ao Gabinete do Primeiro-Secretário; a manutenção do controle dos expedientes em tramitação no Gabinete; o recebimento, a distribuição e o encaminhamento de correspondências, ordens de serviços e demais trabalhos para execução; a supervisão da devida ordem no arquivo geral da Primeira Secretaria; o encaminhamento ao protocolo, para distribuição, da documentação devidamente despachada; a recepção de autoridades e demais convidados e respectiva condução ao Primeiro-Secretário, sobretudo quando da realização de atos solenes; assessorar o Primeiro-Secretário nas ações de superintendência dos serviços administrativos da Casa, cumprindo a programação de trabalho estabelecida; diligenciar o andamento dos projetos, indicações e requerimentos nas Comissões, com vistas a manter o Primeiro-Secretário apto a responder a consultas relativas à composição da Ordem do Dia das sessões; diligenciar informações sobre ações e medidas com vistas a manter o Primeiro-Secretário apto a discutir e analisar o andamento administrativo da Casa; organizar e dirigir as audiências; auxiliar, assistir e encaminhar os assuntos gerais de interesse do Gabinete; analisar a documentação destinada à assinatura do Primeiro-Secretário, orientando-o sobre os precedentes e rotinas estabelecidas; manter controle dos expedientes, papéis e demais documentos em tramitação no Gabinete; realizar os serviços pertinentes à Primeira Secretaria, à agenda e ao atendimento ao público; sugerir pronunciamentos sobre matérias em tramitação no Legislativo ou sobre acontecimentos que afetem a vida da comunidade; encaminhar demandas e retornar aos cidadãos as medidas resolutivas ou respostas a suas solicitações; agendar e organizar reuniões e debates e assessorar o Primeiro-Secretário em suas relações institucionais com os demais órgãos da Câmara Municipal e no relacionamento político-administrativo com os munícipes, órgãos e entidades públicas e privadas, associações de classe, entidades, organismos estaduais e federais; realizar contatos com autoridades públicas; representar o Primeiro-Secretário em reuniões e eventos, sempre que assim determinado pelo mesmo; sugerir encaminhamentos e pautas políticas; o registro e encaminhamento, para divulgação, dos atos do titular do Gabinete; executar tarefas correlatas.

                                                                                                                                               

                                                                                                                                              DIRETORIA GERAL

                                                                                                                                               

                                                                                                                                              Art. 27. A Diretoria Geral, vinculada diretamente ao Presidente da Casa, tem como atribuições: a discussão de temas políticos; proporcionar e garantir os serviços administrativos, legislativos, de apoio e de ação comum à Câmara, Plenário, Mesa Executiva, Presidência, Comissões Permanentes, Comissões Temporárias, Grupos de Trabalho, Frentes Parlamentares, Audiências Públicas, Vereadores e demais organismos; conduzir, de acordo com as determinações superiores, o exercício das atividades institucionais da Casa e o atendimento público, zelando para que tais procedimentos assegurem o eficiente funcionamento do Legislativo.

                                                                                                                                              Art. 28. O Diretor Geral tem como atribuições: programar, supervisionar, dirigir, coordenar, orientar e controlar a execução de todos os serviços legislativos e administrativos da Câmara Municipal; autorizar a expedição e assinar as certidões requeridas; assinar os processos de pagamento das despesas da Câmara e encaminhar à Presidência para a competente autorização e pagamento; dar posse a todos os servidores efetivos e comissionados da Câmara Municipal, mediante termo em livro próprio; conhecer de todo expediente oriundo das Diretorias; assinar ofícios, atestados, certidões, editais e outros documentos da Câmara Municipal; expedir ordens de serviços e demais atos necessários à execução dos trabalhos da Câmara Municipal, conforme instruções e decisões da Presidência; julgar justificadas ou não faltas ao serviço dos servidores, de acordo com a legislação vigente; autorizar a lotação do pessoal da Câmara Municipal; emitir despachos em processos cuja decisão caiba à autoridade superior; emitir despachos decisórios em processos de sua competência; encaminhar à Mesa Executiva, até o dia 30 de janeiro, o relatório anual circunstanciado das atividades desenvolvidas pela Câmara Municipal; propor medidas à Mesa Executiva que visem a facilitar os serviços da Câmara Municipal; apreciar e encaminhar os relatórios mensais e anuais apresentados pelos órgãos da Câmara Municipal e elaborar um relatório geral para a Mesa Executiva e a Presidência; despachar o expediente com o Presidente da Câmara Municipal; promover reuniões com os Diretores e Coordenadores das Divisões e Seções, para tratar de assuntos relacionados com os serviços da Câmara; comunicar-se com outras repartições públicas, sempre que necessário, para a resolução de assuntos de interesse da Câmara; assinar os cheques em geral, juntamente com o Presidente ou outro membro da Mesa Executiva autorizado; conservar e zelar pelos bens patrimoniais da Câmara Municipal, sob sua responsabilidade e guarda; prestar esclarecimentos em Plenário, quando solicitado; assessorar a Mesa Executiva nos atos e decisões de serviços da Câmara Municipal; assessorar a Mesa e os Vereadores em matéria de sua competência; autorizar a prestação de serviços extraordinários por parte dos servidores da Câmara, ouvidos os respectivos superiores; superintender, direta ou indiretamente, a fiscalização da execução dos contratos celebrados pela Câmara Municipal; fixar, por ato administrativo, a escala anual de férias dos servidores, ouvindo os respectivos superiores; encaminhar à Diretoria Administrativa, por intermédio da Divisão de Finanças, Orçamento e Contabilidade, a elaboração da proposta orçamentária da Câmara, devidamente aprovada pela Mesa Executiva; desempenhar outras funções correlatas.

                                                                                                                                              Art. 29. À Divisão de Tecnologia da Informação compete cumprir e fazer cumprir as determinações regulamentares emanadas da Diretoria Geral; coordenar todo o sistema de processamento de dados da Câmara Municipal; articular com os demais órgãos da Administração a melhor utilização dos equipamentos; programar a execução dos serviços necessários à modernização do sistema; acompanhar a implantação de todos os sistemas programados; apresentar estudos para melhoria do sistema, quando for o caso; adotar sistema de segurança adequado para a guarda dos arquivos, para evitar a sua violação ou qualquer ação que possa prejudicá-los; manter atualizados os dados disponíveis; realizar estudos de viabilidade técnico-econômica sobre a utilização de softwares e equipamentos, emitindo parecer quanto à conveniência de sua aquisição; executar e coordenar a confecção de normas e procedimentos para utilização dos softwares instalados; pesquisar todos os recursos dos equipamentos, proporcionando um suporte técnico e treinamento da equipe da Divisão de Tecnologia da Informação, visando à otimização e racionalização de sistemas em desenvolvimento e produção; sanar as dúvidas de quaisquer setores técnicos, quando solicitado; interagir nas áreas de desenvolvimento e produção, visando detectar problemas e dificuldades e propondo solução no sentido de obter melhor aproveitamento de equipamentos e recursos humanos; proporcionar esquemas de backup’s eficientes, bem como esquemas de recuperação e segurança, em caso de falhas operacionais e sinistros; oferecer treinamento e reciclagem aos servidores usuários do sistema; estabelecer intercâmbios, com órgãos de pesquisa ou detentores de informações, que possam ser de interesse da Câmara Municipal; desempenhar outras funções que lhe forem regularmente atribuídas.

                                                                                                                                              Art. 30. Compete à Seção de Suporte Técnico, Dados e Manutenção, subordinada diretamente à Divisão de Tecnologia da Informação: prestar suporte técnico aos usuários dos equipamentos de informática; detectar e solucionar falhas nos equipamentos de informática; substituir peças defeituosas dos equipamentos de informática; instalar, nos microcomputadores, sistema operacional ou qualquer outro sistema computacional que não esteja funcionando adequadamente; encaminhar a empresa de assistência técnica competente os equipamentos que necessitarem de reparos que não possam ser realizados no próprio local; executar os serviços de implantação, atualização, supervisão e manutenção da rede do sistema, bancos de dados e arquivos, dentre outros serviços de suporte técnico e de supervisão; preparar dispositivos para cópia de segurança dos dados armazenados nos microcomputadores e “servidores de dados”; proceder à cópia de segurança dos dados armazenados nos “servidores de dados”; manter cadastro atualizado das manutenções realizadas nos equipamentos de informática; desempenhar outras funções correlatas.

                                                                                                                                               

                                                                                                                                              DIRETORIA DE COMPLIANCE E CONTROLE INTERNO

                                                                                                                                               

                                                                                                                                              Art. 31. À Diretoria de Compliance e Controle interno compete fiscalizar o cumprimento das metas previstas no Plano Plurianual e a execução dos programas orçamentários, no âmbito do Poder Legislativo; acompanhar a gestão contábil, financeira, orçamentária, operacional e patrimonial do Poder Legislativo Municipal, em apoio ao exercício do controle externo do Tribunal de Contas do Estado do Paraná; atuar preventiva, concomitante e posteriormente aos atos administrativos, visando detectar irregularidades, erros ou falhas, por meio de auditorias comuns, de caráter contínuo, rotineiro e sistemático, previamente programadas, ou em caráter especial ou extraordinário, para apurar denúncias ou suspeitas, segundo os princípios da legalidade, impessoalidade, moralidade, publicidade, razoabilidade, eficiência e economicidade; promover o incremento da transparência na gestão pública; administrar as informações e dados do Portal da Transparência; implantar o programa de integridade, com normas, procedimentos e ações com o objetivo de prevenir, detectar, sanar e remediar erros e falhas, irregularidades e atos ilícitos praticados contra a Administração Pública Municipal; desenvolver treinamentos periódicos sobre o programa de integridade; elaborar e realizar procedimentos específicos para prevenir fraudes e ilícitos no âmbito de processos licitatórios, na execução de contratos administrativos ou em qualquer interação com o Poder Legislativo Municipal, ainda que intermediada por terceiros; elaborar e realizar procedimentos que assegurem a pronta interrupção de irregularidades ou infrações detectadas e a tempestiva remediação dos danos gerados; monitorar continuamente o programa de integridade, visando ao seu aperfeiçoamento na prevenção, detecção e combate à ocorrência dos atos lesivos previstos no artigo 5.º da Lei n. 12.846/2013; coordenar as atividades de auditoria e controle interno do Poder Legislativo Municipal; proceder à análise periódica de riscos para realizar adaptações necessárias ao programa de integridade; implementar, manter e ampliar os canais de denúncia de irregularidades, que deverão ser amplamente divulgados a servidores e terceiros, assegurando-se a existência de mecanismos destinados à proteção de denunciantes de boa-fé; desempenhar todos os atos necessários ao bom e eficaz funcionamento do compliance e do controle interno, visando ao cumprimento de suas finalidades; desempenhar outras atividades que lhe sejam atribuídas pelo Presidente da Câmara Municipal, no âmbito de sua área de atuação.

                                                                                                                                              Art. 32. O Diretor de Compliance e Controle Interno deverá possuir diploma de curso superior, preferencialmente em Administração, Ciências Contábeis, Direito ou Economia.

                                                                                                                                              Art. 33. O Diretor de Compliance e Controle Interno poderá ocupar o cargo por período de até 2 (dois) anos, permitida uma única recondução, para período subsequente, também por até 2 (dois) anos.

                                                                                                                                              Art. 34. Não poderá ser designado para o cargo de Diretor de Compliance e Controle Interno quem:

                                                                                                                                              I – exerça outra atividade profissional;

                                                                                                                                              II – tenha sofrido apenação administrativa, civil ou penal, transitada em julgado;

                                                                                                                                              III – realize atividade ou possua vínculos político-partidários.

                                                                                                                                              Art. 35. Constitui garantia do ocupante do cargo de Diretor de Compliance e Controle Interno do Poder Legislativo independência funcional para o desempenho das atividades.

                                                                                                                                              § 1.º Nenhum processo, documento ou informação poderá ser sonegado ao Diretor de Compliance e Controle Interno, no exercício de suas funções, sob pena de responsabilidade.

                                                                                                                                              § 2.º É assegurada ao Diretor de Compliance e Controle Interno a possibilidade de impugnar, mediante representação, atos sem fundamentação legal.

                                                                                                                                              Art. 35-A. Ao Serviço de Gestão de Dados Pessoais, diretamente subordinado à Diretoria de Compliance e Controle Interno, compete: exercer a função de encarregado pelo tratamento de dados pessoais no âmbito do Poder Legislativo, na forma da legislação pertinente; implementar mecanismos de tratamento e proteção dos dados pessoais no âmbito da Câmara Municipal, com vistas a garantir o cumprimento da Lei Geral de Proteção de Dados – LGPD; auxiliar a elaboração da Política de Privacidade e Proteção de Dados Pessoais da Câmara Municipal e as respectivas normas auxiliares, e proceder à sua revisão periódica; acompanhar a implantação e o cumprimento das ações regulamentadoras nos diversos órgãos e setores da Câmara Municipal; avaliar os procedimentos de tratamento e proteção de dados existentes e propor estratégias e metas em observância à LGPD; promover ações de sensibilização e orientação junto ao quadro de pessoal, aos órgãos administrativos e aos contratados da Câmara Municipal sobre a aplicação da política e das normas relacionadas à privacidade e proteção de dados pessoais; analisar os casos de descumprimento das normas referentes à Política de Privacidade e Proteção de Dados Pessoais, instruí-los com base nas normativas pertinentes e notificar os responsáveis; informar aos titulares de dados quanto a eventuais ocorrências de vazamento de dados pessoais; receber reclamações dos titulares de dados pessoais, prestar esclarecimentos e adotar providências necessárias; receber comunicações da Autoridade Nacional de Proteção de Dados (ANPD) bem como de outros órgãos e instituições que tenham poderes para requerer informações sobre o tratamento de dados pessoais e adotar as providências necessárias; articular o intercâmbio de informação sobre a proteção de dados pessoais com outros órgãos públicos; cumprir e fazer cumprir as determinações regulamentares emanadas da Diretoria; desempenhar outras funções correlatas que lhe forem atribuídas.

                                                                                                                                               

                                                                                                                                               DIRETORIA LEGISLATIVA

                                                                                                                                               

                                                                                                                                              Art. 36. A Diretoria Legislativa, vinculada ao Diretor Geral, tem as atribuições de iniciar, desenvolver e concluir os processos de propostas de emenda à Lei Orgânica, de projetos de leis, decretos legislativos e resoluções para apreciação do Plenário; proporcionar e dirigir os trabalhos de apoio às Comissões Permanentes, às Comissões Temporárias e Grupos de Trabalho Administrativos; aprestar substitutivos, emendas, indicações e requerimentos em geral para serem apreciados pelo Plenário; compor a Ordem do Dia das sessões, conforme as instruções do Presidente da Câmara; implementar outras atividades voltadas à regularidade e eficácia da atividade legislativa.

                                                                                                                                              Art. 37. O Diretor Legislativo tem as atribuições de participar da análise dos fatos políticos; com o concurso da Divisão de Assistência Legislativa, orientar, coordenar e dirigir a formação, o desenvolvimento e a conclusão dos processos das propostas de leis, decretos legislativos e resoluções; o aprestamento de substitutivos, emendas, requerimentos em geral e indicações, submetendo-os à consideração do Presidente, para integrarem a pauta da Ordem do Dia das sessões; coordenar as funções de apoio às Comissões Permanentes, às Comissões Temporárias e Grupos de Trabalho Administrativos, das Seções de Redação e Processo Legislativo, de Comissões Permanentes e Temporárias, de Arquivo e Informações e de Protocolo Geral; cumprir e fazer cumprir as determinações superiores; firmar os documentos expedidos pela Diretoria em favor dos demais organismos da Casa; assessorar o Presidente, a Mesa Executiva, as Comissões, os Vereadores e o Diretor Geral; executar tarefas correlatas.

                                                                                                                                              Art. 38. À Divisão de Assistência Legislativa compete desempenhar todos os passos do processo legislativo relativos à tramitação de propostas de emendas à Lei Orgânica do Município, de projetos de leis, de resolução e de decreto legislativo; elaborar a redação final dos projetos; controlar os prazos para sanção ou promulgação; manter o arquivo de leis, de emendas à Lei Orgânica do Município, de resoluções e de decretos legislativos com todos os documentos do processo legislativo do ano corrente; formatar o texto final de leis promulgadas, de emendas à Lei Orgânica do Município, de resoluções e de decretos legislativos, encaminhando-os para promulgação ao Órgão Oficial, com cópia para o Executivo; controlar o prazo para publicação e conferir o texto de atos legislativos no Órgão Oficial do Município; disponibilizar a íntegra de leis, de emendas à Lei Orgânica, de resoluções e de decretos legislativos na internet, com a formatação adequada para visualização; receber vetos aos projetos de leis, encaminhá-los para tramitação e controlar o prazo; manter arquivo auxiliar contendo documentos referentes às comissões, aos conselhos, aos comitês e aos órgãos criados por leis especiais com representação da Câmara (leis, decretos, ofícios e outros) e alimentar o respectivo cadastro no Sistema Informatizado (com controle de mandatos); apoiar a realização das sessões ordinárias, extraordinárias, solenes, secretas e especiais, elaborando as pautas, fornecendo todos os documentos necessários e/ou solicitados em Plenário, acompanhar à discussão das matérias, dar encaminhamento e alimentar o sistema informatizado de acordo com o despacho da Mesa; providenciar o controle de frequência dos vereadores e o respectivo relatório mensal; secretariar as comissões permanentes e temporárias (elaborar ofícios, relatórios, controlar o prazo destas e tomar outras providências que se fizerem necessárias); alimentar e manter atualizado, no sistema informatizado, o cadastro de Decretos do Executivo, da Legislatura, da Mesa Executiva, de Partidos, de Vereadores e de Comissões; elaborar, com dados colhidos em Plenário, ata sucinta das sessões e anais do Poder Legislativo, na forma regimental; elaborar e digitar certidões, pronunciamentos e outras matérias relevantes, pertinentes às sessões, reuniões e outros eventos ligados diretamente à atividade legislativa; organizar, em volumes, os anais da Câmara Municipal, acompanhados de índice analítico e remissivo; desempenhar outras funções que lhe forem regularmente atribuídas.

                                                                                                                                              Art. 39. Compete à Seção de Protocolo Geral da Câmara Municipal, órgão diretamente subordinado à Coordenadoria da Divisão de Assistência Legislativa: cumprir e fazer cumprir as determinações regulamentares emanadas da respectiva coordenadoria; a manutenção do protocolo geral do expediente; a remessa, recebimento, triagem e distribuição da correspondência externa e interna, conforme determinação superior; os serviços de mensageiro; protocolizar, em livro próprio, as solicitações de serviços dos Vereadores, efetuando sua triagem e encaminhamento aos setores responsáveis; elaborar a súmula do expediente recebido, para fins de leitura em plenário; remeter à publicação, mediante protocolo, todos os atos e demais matérias sujeitas a esta finalidade; distribuir, mediante protocolo, relatórios e outros documentos; acompanhar as atividades realizadas por meio do processo eletrônico de tramitação de documentos; desempenhar outras atividades correlatas.

                                                                                                                                              Art. 40. À Seção de Redação e Processo Legislativo, órgão subordinado diretamente à Coordenadoria da Divisão de Assistência Legislativa, compete: cumprir e fazer cumprir as determinações regulamentares emanadas da respectiva coordenadoria; atender aos trabalhos nas sessões da Câmara Municipal; elaborar e digitar as proposições oficiais dos Vereadores e da Mesa Executiva; assessorar a Mesa Executiva, no decorrer das sessões da Câmara Municipal, sobre matéria técnico-legislativa; controlar as matérias em tramitação na Seção; digitar os autógrafos de Emendas à Lei Orgânica, projetos de lei, resoluções, decretos legislativos; redigir, revisar quanto à ortografia e digitar os expedientes oficiais, especialmente requerimentos, indicações e correspondências, afetos à competência da Diretoria Legislativa; enviar, via e-mail, quando possível, ao Gabinete do Prefeito Municipal, os autógrafos dos projetos de lei submetidos à sanção prefeitoral; auxiliar a Seção de Processos Legislativos na elaboração das proposições em geral; manter registro e controle, bem como zelar pela guarda das solicitações de serviço encaminhadas pelos senhores vereadores, destinadas a orientar a elaboração de proposições; instruir, com o auxílio da Seção de Arquivo, Mecanografia e Informações, as solicitações de serviço apresentadas pelos senhores vereadores, posteriormente destinando-as à Seção de Processos Legislativos, para os procedimentos de praxe; sempre que possível, prestar colaboração aos serviços desenvolvidos pelas demais Seções da Divisão; desempenhar outras atividades correlatas.

                                                                                                                                              Art. 41. À Seção de Comissões Permanentes e Temporárias, órgão diretamente subordinado à Coordenadoria da Divisão de Assistência Legislativa, compete: cumprir e fazer cumprir as determinações regulamentares emanadas da respectiva coordenadoria; elaborar parecer, por escrito, em matéria ou proposição, quando solicitado pela Mesa Executiva, com auxílio da Procuradoria Jurídica; elaborar parecer, por escrito, quando solicitado pelas Comissões Permanentes da Câmara, em matérias que exijam apreciação técnico-legislativa; assessorar as Comissões Temporárias e Grupos de Trabalho constituídos na Câmara, em matéria técnico-legislativa, com a orientação da Procuradoria Jurídica, quando necessário; elaborar parecer, quando solicitado pela Mesa Executiva, sobre a proposta do Orçamento-Programa do Município, Plano Plurianual de Investimentos e outras matérias de natureza orçamentária, com a orientação da Coordenadoria da Divisão de Finanças, Orçamento e Contabilidade; elaborar parecer, quando solicitado pela Mesa Executiva, sobre a Prestação de Contas do Município, depois de recebido o Parecer Prévio ou Acórdão do Tribunal de Contas do Estado, também com o auxílio previsto no item anterior; assessorar os Vereadores, a Mesa Executiva, as Comissões Permanentes e Temporárias e os Grupos de Trabalho, em assuntos de sua competência; assessorar os Vereadores na apreciação do Orçamento-Programa do Município, Prestações de Contas e outras matérias pertinentes; assessorar, quando solicitado, a Diretoria Geral e a Diretoria Legislativa, sobre matéria técnico-legislativa; controlar os prazos das matérias encaminhadas às Comissões; numerar e rubricar todos os processos em tramitação no âmbito das Comissões; controlar, por sistema próprio, as matérias em tramitação nas Comissões; desempenhar outras funções correlatas que lhe forem regularmente atribuídas pela Coordenadoria da Divisão de Assistência Legislativa ou superiores hierárquicos.

                                                                                                                                              Art. 42. À Seção de Arquivo e Informações, órgão diretamente subordinado à Coordenadoria da Divisão de Assistência Legislativa, compete: cumprir e fazer cumprir as determinações regulamentares emanadas da Divisão de Assistência Legislativa; manter registro e controle de todos os processos e demais expedientes destinados ao arquivo; preservar atualizado e em boa ordem, em livro, fichas ou outro sistema adotado, o registro das matérias, de forma a assegurar localização rápida e eficiente de qualquer documento recolhido ao arquivo; organizar a coletânea das leis municipais, resoluções e decretos legislativos, requerimentos, indicações e outras matérias, anotando as alterações ou transformações havidas; realizar controle sistemático sobre o cumprimento das leis, decretos legislativos e resoluções, e as razões de sua inobservância, quando ocorrer; conservar arquivo com informações sobre as leis, decretos legislativos e resoluções em desuso, revogadas ou derrogadas; promover, periodicamente, a coletânea de leis, decretos legislativos e resoluções análogos ou afins, para efeito de consolidação de seus textos, conforme critérios e sistemas determinados pela Mesa Executiva; manter sob sua guarda e conservação os livros, revistas, publicações, coleções diversas e outras matérias de interesse da Câmara Municipal, classificando-os convenientemente; atender a consultas e requisições dos órgãos da Câmara Municipal, no que concerne à literatura técnico-legislativa e jurídica, mantendo, para tanto, fichários organizados e atualizados; manter arquivo especial, devidamente cadastrado, para documentos considerados sigilosos ou secretos; adotar sistema de segurança adequado para a guarda dos arquivos da Câmara Municipal, para evitar sua violação ou qualquer ação que possa destruí-los ou inutilizá-los; efetuar, anualmente, a triagem da documentação que se destina ao arquivo morto da Câmara Municipal; promover a microfilmagem de documentos oficiais da Câmara, de conformidade com as determinações da Mesa Executiva; expedir, quando autorizado, cópias ou fotocópias de documentos arquivados ou sob sua responsabilidade; controlar, em livro próprio, o envio de correspondências oficiais da Câmara Municipal; proceder à entrega, mediante registro, de expedientes, relatórios e outros documentos; prestar informações gerais quanto à tramitação de processos e expedientes na Câmara Municipal, quando solicitadas pelas chefias competentes; encaminhar para publicação todos os atos da Mesa Executiva e demais matérias sujeitas a esta formalidade; gravar in totum as sessões da Câmara; elaborar, mensalmente, relatório das atividades legislativas; controlar os prazos dos pedidos de informações ou de documentos encaminhados ao Executivo Municipal; extrair e fazer distribuir avulsos das matérias dadas à Ordem do Dia; organizar, em conjunto com a Divisão de Administração e Recursos Humanos, a relação dos suplentes de Vereadores, a apostilagem dos títulos de nomeação dos servidores, bem como os de posse dos Vereadores; desempenhar outras funções correlatas.

                                                                                                                                              Art. 43. À Divisão de Acompanhamento e Execução das Leis e Projetos Especiais compete o levantamento das leis municipais em vigor, realizando estudos alusivos à sua criação, redação, promulgação e cumprimento; a fiscalização do efetivo cumprimento da norma jurídica; a produção de notas técnicas e pareceres sobre a motivação, criação e regulamentação de todas as leis municipais, sempre que solicitado; a gerência das atividades da Escola do Legislativo, da Câmara Mirim, da Revista do Legislativo Maringaense, da Biblioteca da Câmara Municipal de Maringá e de outros assuntos relacionados aos projetos especiais propostos pela Presidência, Mesa Executiva ou por Vereadores.

                                                                                                                                               

                                                                                                                                              DIRETORIA ADMINISTRATIVA

                                                                                                                                               

                                                                                                                                              Art. 44. A Diretoria Administrativa, vinculada ao Diretor Geral, tem como atribuições a realização, com a participação e concurso de suas divisões, seções e serviços, das atividades de Administração, Recursos Humanos, Licitações e Compras; Patrimônio; Almoxarifado; Portaria, Vigilância e Segurança; Controle do Uso e da Manutenção de Veículos; Manutenção Geral; Copa e Limpeza: Telefonia; Finanças, Orçamento e Contabilidade; e Tesouraria.

                                                                                                                                              Art. 45. O Diretor Administrativo tem as atribuições de superintender, orientar, dirigir, controlar e coordenar as atividades das divisões e seções integrantes da Diretoria Administrativa; o desenvolvimento de esforços para que as atividades sob sua direção realizem suas competências e funções mediante projetos previamente aprovados, destacando a relação custo/benefício de seus atos administrativos, cumprindo os princípios estabelecidos pelo artigo 37 da Constituição Federal; determinar estudos e, com base neles, propor ao Diretor Geral medidas de aprimoramento dos serviços e atuações de competência da Diretoria de Administração e seus órgãos subordinados; expedir autorização para a instauração dos processos licitatórios e de aquisição; determinar o levantamento mensal de relatórios demonstrativos e estatísticos do comportamento das finanças, orçamentários e apropriação das despesas reais aos vários setores da Câmara Municipal; exigir relatório de conservação geral e de veículos com demonstração estatística mensal, quadrimestral e anual e outros dados que se fizerem necessários; relatar ao Diretor Geral o desempenho global das atividades e serviços sob a responsabilidade da Diretoria Administrativa e seus órgãos subordinados; executar atividades correlatas.

                                                                                                                                              Art. 45-A. Ao Serviço de Gestão de Contratos, diretamente subordinado à Diretoria Administrativa, compete: acompanhar e apoiar as atividades relacionadas à fiscalização contratual com vistas à formalização dos procedimentos de gestão administrativa relacionados às contratações do Poder Legislativo; conduzir os procedimentos de prorrogação de prazos, alterações contratuais, reequilíbrio econômico-financeiro e extinção contratual; acompanhar o desenvolvimento da execução contratual através de relatórios de fiscalização e demais documentos relativos ao objeto contratado; manifestar-se por escrito às unidades responsáveis a respeito da necessidade de adoção de providências visando à prorrogação do prazo contratual, antecipadamente ao término de sua vigência, observados os prazos exigíveis para cada situação, nunca inferiores a 60 (sessenta) dias; manifestar-se por escrito às unidades responsáveis, acerca da necessidade de adoção de providências visando à deflagração de novo procedimento licitatório, antecipadamente ao término da vigência contratual, observadas as peculiaridades de cada objeto e os prazos exigíveis para cada situação, nunca inferiores a 120 (cento e vinte) dias; fiscalizar a obrigação do contratado e do subcontratado, se houver, de manter, durante toda a execução do contrato, em compatibilidade com as obrigações assumidas, as condições de habilitação e qualificação exigidas na licitação; notificar o contratado sobre irregularidades não saneadas e sobre a abertura de processo administrativo sancionador; dar imediata ciência formal a seus superiores dos incidentes e das ocorrências da execução que possam acarretar a imposição de sanções ou a rescisão contratual; conduzir os processos administrativos sancionatórios; recomendar a suspensão provisória da entrega de bens ou a realização de serviços; cumprir e fazer cumprir as determinações regulamentares emanadas da Diretoria; desempenhar outras funções correlatas que lhe forem atribuídas.

                                                                                                                                               

                                                                                                                                              Art. 46. À Divisão de Administração e Recursos Humanos compete cumprir e fazer cumprir as determinações regulamentares emanadas da Diretoria Administrativa; supervisionar a execução dos serviços de reparo e manutenção do prédio, das instalações e do mobiliário da Câmara; o deslocamento dos bens móveis e utensílios entre as dependências da Câmara; manter atualizados os documentos dos servidores nas respectivas pastas;elaborar os atos relativos à admissão, readmissão, aproveitamento, posse, exercício, remoção, transferência, substituição e demissão do pessoal, etc.; verificar, quando da admissão de pessoal, a regularidade dos documentos exibidos; orientar os servidores da Câmara Municipal, quando se fizer necessário, com referência aos atos ou normas de pessoal baixados pela Mesa Executiva; elaborar e supervisionar o registro de frequência dos servidores da Câmara Municipal, de conformidade com o cartão-ponto; organizar a escala de férias dos servidores da Câmara Municipal, as quais, dentro do possível, deverão coincidir com os períodos de recesso legislativo; instruir e informar os processos administrativos, quando solicitado; extrair certidões referentes a assentamentos dos servidores da Câmara; manter controle e verificação do uso do relógio de ponto; elaborar instruções e programas de concurso para o provimento de cargos da administração e manter arquivo organizado dos concursos efetuados; supervisionar a remessa de informações ao Tribunal de Contas do Estado, através de sistema próprio daquele Órgão; zelar pela manutenção, conservação e recuperação do edifício do Poder Legislativo, de suas instalações, mobiliário e equipamentos, excetuados os bens e serviços em garantia, os que exijam mão-de-obra técnica ou especializada para sua recuperação e/ou aqueles que forem objeto de contratação específica por meio de licitação; responsabilizar-se pelo controle, guarda e uso adequado dos equipamentos, ferramentas, utensílios e produtos utilizados nos serviços da Câmara; manter contato com empresas prestadoras de serviços, com vistas à manutenção e conserto de máquinas, móveis e equipamentos, sempre que solicitado; controlar e fiscalizar a execução dos contratos celebrados pela Câmara, na área de sua competência, sob o aspecto do cumprimento dos serviços contratados, sempre que requisitado; manter sistema de controle da utilização do Plenário e das salas de reuniões da Câmara; hastear e arriar as bandeiras; realizar o deslocamento dos bens móveis e utensílios entre as dependências da Casa; desempenhar outras funções que lhe forem atribuídas pela Diretoria Administrativa.

                                                                                                                                              Art. 47. À Seção de Portaria, Vigilância e Segurança, órgão diretamente subordinado à Coordenadoria da Divisão de Administração e Recursos Humanos, compete o atendimento dos trabalhos de manutenção e controle da portaria; atendimento ao público, recepção, credenciamento, controle, frequência e encaminhamento de pessoas; recebimento, ordenação, classificação e encaminhamento de correspondências, jornais, revistas e publicações recebidos e a serem encaminhados; atendimento ao plenário e galeria de visitantes, aos gabinetes, repartições administrativas e garagens; controle e vigilância das dependências internas e externas do Legislativo; zelar pela ordem e segurança da Casa, sobretudo no decorrer das sessões; desempenhar outras funções que lhe forem regularmente atribuídas pela Coordenadoria da Divisão; desenvolver outras atribuições correlatas.

                                                                                                                                              Art. 48. À Seção de Copa e Limpeza, órgão diretamente subordinado à Coordenadoria da Divisão de Administração e Recursos Humanos, compete: as atividades de atendimento ao Plenário, Gabinetes e órgãos da Administração; atividades de controle do consumo e a responsabilidade da guarda dos materiais de limpeza e conservação colocados à disposição da unidade; limpeza e conservação dos móveis, utensílios e materiais vinculados às atividades institucionais da Câmara Municipal; desempenhar outras funções regulamentares que lhe forem atribuídas pela Coordenadoria da Divisão.

                                                                                                                                              Art. 49. À Seção de Telefonia, subordinada à Divisão de Administração e Recursos Humanos, compete: coordenar o atendimento aos usuários internos e externos no tocante aos serviços da central telefônica, garantindo a execução dos serviços e rotinas operacionais; executar a configuração da plataforma; gerenciar a manutenção das linhas fixas (abrir chamado junto à empresa de telefonia, se necessário); coordenar as atividades de controle, instalação, adequação, monitoração e análise do desempenho dos equipamentos de telefonia utilizados pelos usuários finais e dos programas e sistemas básicos que controlam seu funcionamento; manter base de dados contendo registro dos problemas e erros ocorridos nos programas e equipamentos, bem como das medidas tomadas para sua solução, documentando, em relatório estatístico, o tipo de atendimento efetuado; providenciar e analisar relatórios de atendimentos para apresentar propostas de soluções compatíveis, prevenindo e corrigindo eventuais falhas; atender às solicitações, devidamente autorizadas, para instalação de ramais e aparelhos; realizar, diretamente ou por intermédio de terceiros, a manutenção dos recursos de telefonia e comunicação; controlar a movimentação e o estado de conservação dos equipamentos de telefonia e comunicação; gerir o(s) contrato(s) com a empresa de telefonia e os contratos de manutenção preventiva e corretiva dos recursos de telefonia e comunicação; controlar a agenda telefônica digital; atualizar a lista de ramais do site do Legislativo; elaborar relatórios por meio do sistema de tarifação telefônica; desempenhar outras funções regulamentares que lhe forem atribuídas pela Coordenadoria da Divisão.

                                                                                                                                              Art. 50. À Seção de Controle do Uso e da Manutenção de Veículos, subordinada à Divisão de Administração e Recursos Humanos, compete: zelar pela manutenção, conservação e recuperação dos veículos do Poder Legislativo, responsabilizando-se, também, pela regularidade da documentação dos mesmos; manter sistema de controle mensal do uso e da manutenção dos veículos, através de planilhas próprias; promover a lavratura de termos de ocorrência e, quando necessário, solicitar a abertura de procedimentos destinados a apurar responsabilidades quanto ao uso irregular e indevido dos veículos e danos eventualmente provocados nos mesmos, por parte de seus condutores ou usuários; organizar a escala dos motoristas, bem como plano de atendimento das atividades a serem executadas; executar, em geral, os demais atos e medidas relacionados com suas finalidades, inclusive quanto ao preparo de expedientes próprios; promover a identificação dos veículos do Poder Legislativo, nos termos da legislação pertinente; desempenhar outras funções correlatas que lhe forem atribuídas pela Coordenadoria da Divisão.

                                                                                                                                              Art. 51. Ao Serviço de Almoxarifado, diretamente subordinado à Divisão de Administração e Recursos Humanos, compete: cumprir e fazer cumprir as determinações regulamentares emanadas da Coordenadoria da Divisão; receber, conferir e atestar o material entregue pelos fornecedores, e aqueles devolvidos ao estoque; acompanhar e fiscalizar o prazo de fornecimento do material adquirido, comunicando eventuais atrasos ao responsável técnico do contrato, para as providências cabíveis; manter rigoroso controle do material sob sua guarda, registrando todas as entradas e saídas, de forma que se possa, a qualquer momento, proceder ao inventário dos bens em estoque; zelar pela perfeita conservação do material sob sua guarda, promovendo sua estocagem, observadas as várias classificações, bem como sugerir a destinação do material que se tenha tornado inservível; contabilizar as entradas e as saídas dos bens de consumo; elaborar inventário anual do material em estoque; evitar a saída de material desacompanhado de documentação; executar, em geral, os demais atos e medidas relacionados com as suas finalidades; desempenhar outras funções correlatas que lhe forem atribuídas pela Coordenadoria da Divisão.

                                                                                                                                              Art. 52. Ao Serviço de Folha de Pagamentos, subordinado à Divisão de Administração e Recursos Humanos, compete: cumprir e fazer as determinações regulamentares emanadas da Coordenadoria da Divisão; manter cadastro dos servidores da Casa, bem como dos vereadores; lançar no sistema próprio os atos relativos à admissão, readmissão, aproveitamento, posse, exercício, remoção, transferência, substituição, exoneração e demissão do pessoal, etc.; atribuir número de matrícula e expedir carteira de identidade funcional aos servidores, bem como aos vereadores; elaborar as folhas de pagamento, mensalmente, dos servidores da Casa, bem como a respectiva ficha financeira; elaborar as folhas de subsídios dos vereadores, bem como a respectiva ficha financeira; efetuar e controlar o desconto das consignações nas folhas de pagamento, quando devidamente autorizado; preparar e conferir os documentos de informações fiscais, encaminhando-os aos órgãos competentes; fornecer informações pertinentes a sua área de atuação, exceto em casos de sigilo, hipótese em que o pedido será submetido à autoridade competente; executar, em geral, os demais atos e medidas relacionados com suas finalidades, inclusive quanto ao preparo de expediente próprio; desempenhar outras funções que lhe forem regularmente atribuídas pela Coordenadoria da Divisão.

                                                                                                                                              Art. 53. À Divisão de Finanças, Orçamento e Contabilidade compete cumprir e fazer cumprir as determinações regulamentares emanadas da Diretoria Administrativa; efetuar o controle contábil, mediante escrituração dos atos e fatos referentes a seu patrimônio, variação das dotações orçamentárias, despesas e todos os demais atos sujeitos à contabilização; proceder aos lançamentos contábeis da documentação, em conformidade com o plano de contabilidade previamente aprovado; elaborar, com os elementos fornecidos pelas Diretorias, a proposta orçamentária da Câmara Municipal de Maringá a ser encaminhada ao Executivo Municipal, no prazo previsto em lei; elaborar, mensalmente, balancetes e demonstrativos; elaborar, mensalmente, o balancete financeiro a ser encaminhado ao Tribunal de Contas do Estado; elaborar a prestação de contas a ser encaminhada ao Executivo Municipal para posterior envio ao TCE, anualmente, com todos os documentos exigidos, dentro dos prazos legais; manter controle sobre o saldo das dotações orçamentárias, consignações ou subconsignações; atestar a identidade entre a fatura e a nota fiscal de fornecedores, referentes a aquisições feitas pela Divisão de Administração e Recursos Humanos; elaborar o empenho prévio das despesas e ordens de pagamento; efetuar conta corrente atualizada dos devedores temporários da Câmara Municipal, por adiantamentos concedidos, através de Portaria, para pequenas despesas, de modo a assegurar com exatidão os adiantamentos de cada servidor ou Vereador; organizar as prestações de contas, bem como a documentação necessária à comprovação das despesas da Câmara Municipal; fornecer elementos para a abertura de créditos adicionais; emitir parecer, quando solicitado pela Mesa Executiva, sobre a proposta do Orçamento-Programa do Município e do Plano Plurianual de Investimentos e outros de natureza orçamentária; emitir parecer, quando solicitado, sobre a prestação de contas do Município, após o Parecer Prévio ou Acórdão do Tribunal de Contas do Estado; desempenhar outras funções que lhe forem atribuídas pela Diretoria Administrativa.

                                                                                                                                              Art. 54. À Seção de Finanças, Orçamento e Contabilidade, órgão diretamente subordinado à Divisão de Finanças, Orçamento e Contabilidade, compete: cumprir e fazer cumprir as determinações regulamentares emanadas da Coordenadoria da Divisão; efetuar o controle contábil, mediante escrituração dos atos e fatos referentes a seu patrimônio, variação das dotações orçamentárias, despesas e todos os demais atos sujeitos à contabilização; proceder aos lançamentos contábeis da documentação, em conformidade com o plano de contabilidade previamente aprovado; elaborar, com os elementos fornecidos pelas Divisões, a proposta orçamentária da Câmara Municipal de Maringá a ser encaminhada ao Executivo Municipal, no prazo previsto em lei; elaborar, mensalmente, balancetes e demonstrativos; elaborar, mensalmente, o balancete financeiro a ser encaminhado ao Tribunal de Contas do Estado; elaborar a prestação de contas a ser encaminhada ao Executivo Municipal para posterior envio ao TCE, anualmente, com todos os documentos exigidos, dentro dos prazos legais; manter controle sobre o saldo das dotações orçamentárias, consignações ou subconsignações; atestar a identidade entre a fatura e a nota fiscal de fornecedores, referentes a aquisições feitas pela Seção de Licitações e Compras; elaborar o empenho prévio das despesas e ordens de pagamento; efetuar conta corrente atualizada dos devedores temporários da Câmara Municipal, por adiantamentos concedidos, através de Portaria, para pequenas despesas, de modo a assegurar com exatidão os adiantamentos de cada servidor ou Vereador; organizar as prestações de contas, bem como a documentação necessária à comprovação das despesas da Câmara Municipal; fornecer elementos para a abertura de créditos adicionais; emitir parecer, quando solicitado pela Mesa Executiva, sobre a proposta do Orçamento-Programa do Município e do Plano Plurianual de Investimentos e outros de natureza orçamentária; emitir parecer, quando solicitado, sobre a prestação de contas do Município, após o Parecer Prévio ou Acórdão do Tribunal de Contas do Estado; desempenhar outras funções que lhe forem regularmente atribuídas pela Coordenadoria da Divisão de Finanças, Orçamento e Contabilidade.

                                                                                                                                              Art. 55. Ao Serviço de Tesouraria, diretamente subordinado à Divisão de Finanças, Orçamento e Contabilidade, compete: cumprir e fazer cumprir as determinações regulamentares emanadas da Coordenadoria da Divisão; registrar o recebimento, quando autorizado, do duodécimo da Câmara Municipal; efetuar o pagamento de despesas, quando regularmente processadas e autorizadas; manter registro do movimento referente às entradas e saídas de numerário; remeter, à Seção de Finanças, Orçamento e Contabilidade, uma via dos registros efetuados, juntamente com a documentação da despesa, quando paga; efetuar entrega, mediante recibo, de numerário, quando devidamente autorizada; efetuar depósitos e retiradas bancárias dos valores em poder da Câmara Municipal; manter registro de procurações para fins de pagamento; manter controle bancário, com a conferência mensal dos extratos bancários; desempenhar outras funções correlatas que lhe forem atribuídas pela Coordenadoria da Divisão.

                                                                                                                                              Art. 56. Ao Serviço de Patrimônio, diretamente subordinado à Divisão de Finanças, Orçamento e Contabilidade, compete: cumprir e fazer cumprir as determinações regulamentares emanadas da Coordenadoria da Divisão; executar as tarefas pertinentes ao recebimento, aceitação, guarda, distribuição, conservação, registro e controle dos bens patrimoniais da Câmara Municipal de Maringá; promover a identificação de cada peça de bem móvel através de marcação constante de ordem numérica, que deverá corresponder ao registro geral em todas as suas características; proceder regularmente à verificação dos móveis, utensílios e maquinários, quanto à sua permanência nos órgãos para os quais estiverem carregados, corrigindo as irregularidades encontradas; proceder regularmente à verificação do estado de conservação, funcionamento e utilização dos móveis, máquinas e utensílios do Legislativo, providenciando, de imediato, perante a Diretoria Administrativa, as medidas que se fizerem necessárias para reparações ou substituições; elaborar, anualmente, uma relação detalhada dos bens patrimoniais do Legislativo, para ser encaminhada ao Tribunal de Contas do Estado, juntamente com a prestação de contas; zelar pela guarda e conservação do patrimônio do Legislativo, alertando, de imediato, a Diretoria Administrativa quando constatados fatos que ponham em risco sua integridade; manter rigorosamente atualizadas as fichas cadastrais do material permanente; propor à Diretoria Administrativa a alienação ou doação de bens patrimoniais da Casa; executar, em geral, os demais atos e medidas relacionados com as suas finalidades; desempenhar outras funções correlatas que lhe forem atribuídas pela Coordenadoria da Divisão.

                                                                                                                                              Art. 57. À Divisão de Licitações e Compras compete cumprir e fazer cumprir as determinações regulamentares emanadas da Diretoria Administrativa; elaborar os instrumentos convocatórios das licitações; instruir os processos licitatórios; prestar apoio administrativo à Comissão Permanente de Licitações e ao Pregoeiro e Equipe de Apoio; realizar as compras de materiais e a contratação de serviços que dispensam licitações; aprimorar o planejamento, a execução e o controle das atividades de sua competência; acompanhar e registrar os preços praticados em relação a materiais e serviços; elaborar as justificativas legais nos casos de dispensa e inexigibilidade de licitação; elaborar as minutas dos instrumentos contratuais e seus aditamentos; organizar os diplomas legais e normas aplicáveis a licitações e compras; cadastrar os fornecedores de bens e materiais e de prestadores de serviços; desempenhar outras funções que lhe forem atribuídas pela Diretoria Administrativa.

                                                                                                                                              Art. 58. Além das disposições já enunciadas, são obrigações comuns aos Diretores: coordenar a escala de férias dos servidores lotados na respectiva unidade; comunicar à Divisão responsável por tal controle a efetividade dos servidores; providenciar a requisição de materiais, equipamentos e utensílios necessários ao regular funcionamento da repartição; elaborar relatório anual das atividades, sempre que requisitado.

                                                                                                                                              Art. 59. Compete às Coordenadorias de Divisão, em caráter geral: dirigir, orientar e fiscalizar as atividades desenvolvidas pelos respectivos órgãos, bem como pelas seções e serviços que lhes são subordinados; proceder a estudos e sugerir medidas que visem ao aprimoramento dos trabalhos atinentes às unidades que dirigem; requisitar do serviço de almoxarifado o material necessário ao trabalho do órgão que dirige; zelar pela conservação dos bens patrimoniais da Câmara Municipal sob sua responsabilidade; despachar com a diretoria hierarquicamente superior; elaborar relatórios mensais e anuais das atividades desenvolvidas pelos órgãos que dirigem; encaminhar os elementos necessários à elaboração da proposta orçamentária, com relação ao órgão que dirige, para a Divisão de Finanças, Orçamento e Contabilidade; dar informações em processos legislativos, quando solicitado; julgar justificadas ou não as faltas ao trabalho dos servidores, podendo abonar até três (03) por mês, quando se tratar de atraso na entrada ou saída do expediente; executar outras tarefas que lhe sejam regularmente atribuídas.

                                                                                                                                              Art.60. Compete às Coordenadorias de Seção, em caráter geral, cumprir e fazer cumprir as determinações superiores e as disposições referentes à unidade, desempenhando as atribuições que lhe são conferidas; supervisionar os trabalhos da unidade, dirigindo e coordenando as atividades desenvolvidas, bem como estabelecendo os devidos controles sobre a eficiência dos aspectos operacionais relativos à execução das tarefas e à eficácia dos resultados do trabalho geral da Seção, tendo em vista, sempre, a consecução dos seus objetivos, representados pelo conjunto de suas funções.

                                                                                                                                              Art. 61. As disposições contrárias ficam revogadas.

                                                                                                                                               

                                                                                                                                              Plenário Vereador Ulisses Bruder, 08 de dezembro de 2021.

                                                                                                                                               

                                                                                                                                              MÁRIO MASSAO HOSSOKAWA

                                                                                                                                              Presidente

                                                                                                                                               

                                                                                                                                              Alteração feita pelo Art. 4º. - Lei Ordinária nº 11.671, de 14 de julho de 2023.

                                                                                                                                                 

                                                                                                                                                REGULAMENTO DOS ÓRGÃOS, DOS CARGOS DE PROVIMENTO EM COMISSÃO E DAS FUNÇÕES GRATIFICADAS DA CÂMARA MUNICIPAL DE MARINGÁ



                                                                                                                                                Art. 1.º Este Regulamento estabelece as funções e atribuições dos órgãos administrativos, dos cargos de provimento em comissão e das funções gratificadas da Câmara Municipal de Maringá.



                                                                                                                                                Art. 2.º Os cargos de provimento em comissão e as funções gratificadas da Câmara Municipal de Maringá, observadas as disposições deste Regulamento, são de livre nomeação e exoneração do Presidente da Câmara e se destinam às atividades de direção, chefia e assessoramento do Poder Legislativo.

                                                                                                                                                § 1.º Para atender aos interesses do Legislativo, o horário de trabalho dos ocupantes de cargos de provimento em comissão poderá ser flexibilizado, para ajustar-se às necessidades dos seus vários organismos, mediante prévia decisão do Presidente da Casa, respeitada a carga horária de trabalho de 6 (seis) horas diárias e 30 (trinta) horas semanais.

                                                                                                                                                § 2.º Além das atribuições específicas de cada um, são obrigações comuns a todos os ocupantes de cargos ou funções: observar e fazer observar no âmbito da repartição e no exercício do múnus público os direitos e deveres inerentes ao cargo ou função; utilizar, operar e administrar diligentemente os serviços, móveis e equipamentos da repartição; desempenhar outras atividades-meio necessárias ao cumprimento de suas atribuições, bem assim outras que lhes forem regularmente atribuídas pela autoridade responsável, relacionadas ao exercício do mandato parlamentar e aos objetivos institucionais do Legislativo.



                                                                                                                                                Art. 3.º São órgãos administrativos da Câmara Municipal de Maringá:

                                                                                                                                                1. Mesa Executiva;
                                                                                                                                                2. Gabinete da Presidência;
                                                                                                                                                3. Gabinete da Primeira Secretaria;
                                                                                                                                                4. Gabinetes dos Vereadores;
                                                                                                                                                5. Gabinete da Procuradoria da Mulher;
                                                                                                                                                6. Gabinete da Ouvidoria Parlamentar;
                                                                                                                                                7. Diretoria de Comunicação Social;
                                                                                                                                                8. Coordenadoria de Comunicação Institucional;
                                                                                                                                                9. Coordenadoria de Comunicação Digital;
                                                                                                                                                10. Procuradoria Jurídica;
                                                                                                                                                11. Diretoria de Compliance e Controle Interno;
                                                                                                                                                12. Diretoria Geral;
                                                                                                                                                13. Divisão de Tecnologia da Informação;
                                                                                                                                                14. Diretoria Legislativa;
                                                                                                                                                15. Divisão de Assistência Legislativa;
                                                                                                                                                16. Divisão de Acompanhamento e Execução das Leis e Projetos Especiais;
                                                                                                                                                17. Núcleo de Assessoramento Técnico Superior;
                                                                                                                                                18. Diretoria Administrativa;
                                                                                                                                                19. Divisão de Administração;
                                                                                                                                                20. Divisão de Recursos Humanos;
                                                                                                                                                21. Divisão de Licitações e Compras;
                                                                                                                                                22. Diretoria Financeira;
                                                                                                                                                23. Divisão de Finanças, Orçamento e Contabilidade.



                                                                                                                                                MESA EXECUTIVA



                                                                                                                                                Art. 4.º A Mesa Executiva tem a composição determinada pela Lei Orgânica do Município e pelo Regimento Interno da Câmara.



                                                                                                                                                Art. 5.º As atribuições da Mesa Executiva da Câmara Municipal são as definidas na Lei Orgânica do Município, no Regimento Interno e na legislação que disciplina a estruturação orgânico-administrativa da Casa.



                                                                                                                                                Art. 6.º O Presidente é o representante da Câmara, judicial ou extrajudicialmente, competindo-lhe dirigir seus trabalhos legislativos e serviços administrativos, bem como fiscalizar sua ordem e disciplina.



                                                                                                                                                Art. 7.º Compete ao Primeiro Secretário, sob a orientação do Presidente, superintender os serviços administrativos da Casa.

                                                                                                                                                 

                                                                                                                                                GABINETE DA PRESIDÊNCIA



                                                                                                                                                Art. 8.º Ao Gabinete da Presidência, dirigido por ele próprio, com auxílio de seu Chefe de Gabinete e demais componentes do seu staff político-administrativo, compete a assistência e o encaminhamento dos assuntos do interesse da Presidência; organizar e dirigir a realização das audiências; a expedição e a recepção das correspondências do gabinete e o desempenho das demais funções burocráticas, a critério da Presidência, e as funções de representação do Poder Legislativo e de Administração da Casa.



                                                                                                                                                Art. 9.º O Chefe de Gabinete da Presidência tem como atribuições, em síntese: a direção, orientação, controle, promoção e fiscalização das atividades inerentes ao Gabinete da Presidência; a manutenção do controle dos expedientes em tramitação no Gabinete; o recebimento, a distribuição e o encaminhamento de correspondência, ordens de serviços e demais trabalhos para execução; a supervisão da devida ordem no arquivo da Presidência; o encaminhamento ao protocolo, para distribuição, da documentação devidamente despachada; a recepção de autoridades e demais convidados e respectiva condução ao Presidente, sobretudo quando da realização de atos solenes.



                                                                                                                                                GABINETE DA PRIMEIRA SECRETARIA



                                                                                                                                                Art. 10. O Gabinete da Primeira Secretaria tem as atribuições determinadas pela Lei Orgânica e pelo Regimento Interno da Casa, destacando-se a superintendência dos serviços administrativos da Casa, sob a orientação do Presidente.



                                                                                                                                                Art. 11. O Assessor de Gabinete da Primeira Secretaria tem como atribuições: a direção, orientação, controle, promoção e fiscalização das atividades inerentes ao Gabinete do Primeiro Secretário; a manutenção do controle dos expedientes em tramitação no Gabinete; o recebimento, a distribuição e o encaminhamento de correspondências, ordens de serviços e demais trabalhos para execução; a supervisão da devida ordem no arquivo geral da Primeira Secretaria; o encaminhamento ao protocolo, para distribuição, da documentação devidamente despachada; a recepção de autoridades e demais convidados e respectiva condução ao Primeiro Secretário, sobretudo quando da realização de atos solenes; assessorar o Primeiro Secretário nas ações de superintendência dos serviços administrativos da Casa, cumprindo a programação de trabalho estabelecida; diligenciar o andamento dos projetos, indicações e requerimentos nas comissões, com vistas a manter o Primeiro Secretário apto a responder a consultas relativas à composição da Ordem do Dia das sessões; diligenciar informações sobre ações e medidas com vistas a manter o Primeiro Secretário apto a discutir e analisar o andamento administrativo da Casa; organizar e dirigir as audiências; auxiliar, assistir e encaminhar os assuntos gerais de interesse do Gabinete; analisar a documentação destinada à assinatura do Primeiro Secretário, orientando-o sobre os precedentes e rotinas estabelecidas; manter controle dos expedientes, papéis e demais documentos em tramitação no Gabinete; realizar os serviços pertinentes à Primeira Secretaria, à agenda e ao atendimento ao público; sugerir pronunciamentos sobre matérias em tramitação no Legislativo ou sobre acontecimentos que afetem a vida da comunidade; encaminhar demandas e retornar aos cidadãos as medidas resolutivas ou respostas a suas solicitações; agendar e organizar reuniões e debates e assessorar o Primeiro Secretário em suas relações institucionais com os demais órgãos da Câmara Municipal e no relacionamento político-administrativo com os munícipes, órgãos e entidades públicas e privadas, associações de classe, entidades, organismos estaduais e federais; realizar contatos com autoridades públicas; representar o Primeiro Secretário em reuniões e eventos, sempre que assim determinado pelo mesmo; sugerir encaminhamentos e pautas políticas; o registro e encaminhamento, para divulgação, dos atos do titular do Gabinete; executar tarefas correlatas.



                                                                                                                                                GABINETES DOS VEREADORES



                                                                                                                                                Art. 12. Aos Gabinetes dos Vereadores, dirigidos por eles próprios, com auxílio de seus Chefes de Gabinete e demais assessores, compete o auxílio, a assistência e o encaminhamento dos assuntos gerais de interesse dos gabinetes; a organização e a direção das audiências dos Vereadores; a preparação e a expedição das correspondências; o registro e o encaminhamento, para divulgação, dos atos do titular do gabinete; a elaboração de proposições de iniciativa dos Vereadores, com as respectivas justificativas; e o desempenho de outros serviços burocráticos, a critério dos Vereadores, e das demais atividades correlatas.



                                                                                                                                                Art. 13. São atribuições do Chefe de Gabinete: desempenhar funções internas e externas; prestar assessoramento e aconselhamento ao Vereador junto ao qual exerce as atribuições de seu cargo; realizar estudos e pesquisas para subsidiar assessoramento no exame de proposições e expedientes em geral que passem pela apreciação do Vereador; efetuar e elaborar trabalhos relacionados com o serviço e a assistência às bases, de interesse do Vereador; sugerir assuntos e temas para pronunciamento do Vereador; exercer atividades de divulgação dos trabalhos realizados e relações públicas do Vereador; controlar a assiduidade e frequência ao trabalho dos assessores lotados no respectivo gabinete, bem como as atividades por eles realizadas; supervisionar, coordenar e controlar as atividades diárias do gabinete, promovendo o ajuste das atividades ao plano de ações, atividades e programas.



                                                                                                                                                Art. 14. São atribuições do Assessor Parlamentar: desempenhar funções internas e externas, segundo diretrizes e orientação superior; executar trabalhos de redação e resumo de acompanhamento de reuniões e comissões; auxiliar na realização de pesquisas, estudos e elaboração de informações de interesse do gabinete; verificar e acompanhar a tramitação de assuntos junto a repartições públicas e órgãos da Câmara; responsabilizar-se pelo recebimento e encaminhamento de pareceres de comissões que o parlamentar integre; colaborar na organização de audiências públicas ou reuniões que devam ser promovidas pelo Vereador; elaborar os projetos de lei de iniciativa do Vereador e as respectivas justificativas.



                                                                                                                                                Art. 15. São atribuições do Assessor de Gabinete: desempenhar funções internas e externas, segundo diretrizes e orientação superior; efetuar serviços de recepção, redação, digitação, organização de arquivos e catalogação dos pedidos de informações e respectivas respostas; controlar prazos e diligenciar respostas às proposições, indicações e pedidos do Vereador; colaborar na agenda política do parlamentar; manter arquivo de documentos e papéis em caráter particular endereçados ao Vereador; expedir convites e anotar todas as providências necessárias ao assessoramento do parlamentar; promover o registro de nome e endereço completo de autoridades, lideranças e cidadãos de interesse do Vereador.



                                                                                                                                                Art. 16. Os ocupantes dos cargos a que se referem os artigos 13 a 15 deverão, preferencialmente, possuir o seguinte nível mínimo de escolaridade:

                                                                                                                                                I – Chefe de Gabinete: ensino superior;

                                                                                                                                                II – Assessor Parlamentar: ensino médio;

                                                                                                                                                III – Assessor de Gabinete: ensino médio.



                                                                                                                                                Art. 17. O controle da assiduidade, da frequência ao trabalho e do cumprimento da jornada laboral dos assessores lotados no respectivo gabinete, bem como das atividades por eles realizadas, será exercido pelo Chefe de Gabinete, sob a supervisão do Vereador.

                                                                                                                                                Parágrafo único. O controle de que trata o caput referente ao Chefe de Gabinete será exercido direta e exclusivamente pelo Vereador.



                                                                                                                                                Art. 18. As atividades externas realizadas pelos assessores lotados no respectivo gabinete deverão ser controladas por meio de apresentação de justificativa própria, contendo data, horário, local, tempo de permanência e assunto tratado, que deverá ser validada pelo Chefe de Gabinete e entregue ao setor de recursos humanos, com a anuência do Vereador, no prazo de até 3 (três) dias úteis da ocorrência, para fins de justificação de ausência do servidor do local de trabalho.



                                                                                                                                                Art. 19. Todas as atividades do gabinete serão de responsabilidade exclusiva do Vereador, inclusive aquelas realizadas em expediente externo, observadas as disposições legais.



                                                                                                                                                GABINETE DA PROCURADORIA DA MULHER



                                                                                                                                                Art. 20. O Gabinete da Procuradoria da Mulher tem as atribuições determinadas pelo Regimento Interno da Casa, destacando-se a atuação autônoma e independente em benefício da população feminina.



                                                                                                                                                Art. 21. O Assessor de Gabinete da Procuradoria da Mulher tem como atribuições: cumprir e fazer cumprir as determinações regularmente emanadas do gabinete; propor e implementar ações que estejam alinhadas aos objetivos e ao foco do mandato da Procuradora da Mulher; propor pronunciamentos e discursos sobre matérias em tramitação e eventos relacionados às atribuições da Procuradoria da Mulher; representar a Procuradora da Mulher em atos, eventos e compromissos relacionados às respectivas atribuições, mediante expressa designação da Procuradora; registrar e encaminhar para divulgação os atos de interesse do mandato; acompanhar e assessorar a Procuradora em eventos e atividades externas; acompanhar a execução de programas e campanhas do Executivo Municipal que visem à promoção da igualdade de gênero; realizar estudos e pesquisas para subsidiar a formulação e a proposição de políticas públicas voltadas para as mulheres; facilitar o relacionamento entre a titular da Procuradoria e órgãos da Câmara Municipal, munícipes e entidades públicas e privadas; sugerir encaminhamentos e pautas políticas de interesse do mandato; planejar e dirigir audiências, garantindo que as pautas sejam tratadas de forma eficiente; revisar a documentação que requer a assinatura da Procuradora, fornecendo orientações sobre precedentes e rotinas estabelecidas; planejar e coordenar reuniões e debates, além de assessorar a Procuradora em suas interações institucionais; prestar esclarecimentos e orientações a cidadãos que busquem atendimento na Procuradoria da Mulher; elaborar relatórios detalhados e apresentações sobre as atividades da Procuradoria, destacando conquistas, desafios e propostas; desempenhar outras funções correlatas que lhe forem regularmente atribuídas pela Procuradora da Mulher, desde que estejam relacionadas ao cargo.



                                                                                                                                                GABINETE DA OUVIDORIA PARLAMENTAR



                                                                                                                                                Art. 22. O Gabinete da Ouvidoria Parlamentar tem as atribuições determinadas pela Lei Orgânica e pelo Regimento Interno da Casa, destacando-se o exercício das funções do Ouvidor Parlamentar.



                                                                                                                                                Art. 23. O Assessor de Gabinete da Ouvidoria Parlamentar tem como atribuições: prestar assessoramento direto ao Ouvidor Parlamentar em assuntos institucionais, administrativos e políticos, subsidiando-o com informações, análises e recomendações estratégicas; sugerir e executar medidas que se alinhem aos objetivos e às diretrizes do mandato; representar o Ouvidor em reuniões e eventos, quando solicitado; auxiliar na elaboração de normas e procedimentos internos, garantindo que estejam alinhados com as diretrizes do gabinete; facilitar a comunicação entre a Ouvidoria e outros órgãos governamentais, promovendo uma atuação colaborativa em questões de interesse do gabinete; avaliar e analisar processos e denúncias, oferecendo recomendações ao titular do gabinete que considerem o contexto legal, jurídico e político envolvido, bem como as repercussões das ações do Ouvidor Parlamentar; registrar e encaminhar para divulgação os atos de interesse do mandato; revisar a documentação que requer a assinatura do Ouvidor, fornecendo orientações sobre precedentes e rotinas estabelecidas; fornecer orientações sobre a condução de casos sob competência da ouvidoria, avaliando aspectos legais, éticos e políticos envolvidos; sugerir encaminhamentos e pautas de interesse do mandato e relacionados à atuação do Ouvidor; elaborar relatórios detalhados sobre as atividades da Ouvidoria Parlamentar, apresentando análises e recomendações ao Ouvidor para a melhoria dos processos internos; supervisionar as atividades do gabinete, assegurando a eficiência na promoção e fiscalização das ações da Ouvidoria; planejar, dirigir e coordenar reuniões e audiências, além de assessorar o Ouvidor em suas interações institucionais; executar outras atividades que lhe sejam atribuídas pelo Ouvidor, desde que estejam relacionadas ao cargo.



                                                                                                                                                DIRETORIA DE COMUNICAÇÃO SOCIAL



                                                                                                                                                Art. 24. A Diretoria de Comunicação Social, vinculada diretamente ao Presidente da Casa, é o órgão responsável pela direção, coordenação e supervisão das atividades de comunicação da Câmara Municipal, integrando as ações de comunicação digital e institucional, com o objetivo de garantir uma gestão estratégica e eficaz da imagem institucional, a transparência e o relacionamento com a sociedade, competindo-lhe, em especial: coordenar as ações e estratégias de comunicação institucional da Câmara Municipal; definir as diretrizes de comunicação tanto para os canais digitais quanto para os tradicionais; garantir a integração e o alinhamento das atividades entre os setores de comunicação digital e comunicação institucional; supervisionar a produção de conteúdo, campanhas e ações de comunicação da Câmara Municipal; promover a transparência das atividades legislativas, aproximando a Casa dos cidadãos; gerir e coordenar a equipe de comunicação, promovendo sua capacitação contínua; monitorar e avaliar os resultados das estratégias de comunicação, ajustando as ações conforme necessário.



                                                                                                                                                Art. 25. O Diretor de Comunicação Social tem como atribuições: definir, em conjunto com a Presidência, as diretrizes, políticas e estratégias globais de comunicação institucional da Câmara Municipal, alinhando-as aos objetivos da gestão e da Mesa Executiva; supervisionar as atividades dos setores de comunicação institucional e comunicação digital, garantindo que todas as ações de comunicação estejam integradas e coerentes com o planejamento estratégico da Câmara; coordenar as equipes dos dois setores de comunicação, promovendo o desenvolvimento profissional contínuo e a capacitação dos servidores, assegurando que todos os colaboradores compreendam suas responsabilidades e atendam às expectativas de qualidade; representar a Câmara Municipal em eventos, reuniões e outras situações externas de natureza institucional, mantendo e promovendo a imagem pública da Câmara junto à sociedade e à imprensa; tomar decisões estratégicas em situações críticas de comunicação e imagem, incluindo crises de mídia e gestão de controvérsias, garantindo uma comunicação transparente e eficaz; planejar, executar e monitorar o orçamento destinado à comunicação social, assegurando a utilização eficiente dos recursos; avaliar periodicamente os resultados das estratégias de comunicação por meio de indicadores de desempenho e relatórios, propondo ajustes ou novos direcionamentos, quando necessário; estimular a inovação no campo da comunicação, buscando novas tecnologias, canais e formas de interação com a população.



                                                                                                                                                Art. 26. A Coordenadoria de Comunicação Institucional, órgão diretamente vinculado à Diretoria de Comunicação Social, tem como objetivo garantir a presença e a visibilidade da Câmara Municipal nos meios tradicionais de comunicação (impressos, rádio e TV), promovendo a transparência, a credibilidade e o relacionamento com o público, competindo-lhe, em especial: produzir e distribuir releases, notas oficiais e comunicados à imprensa local (jornais, rádios, TVs, portais de notícias), garantindo ampla divulgação das atividades da Câmara Municipal; estabelecer e manter o relacionamento com jornalistas e veículos de comunicação, organizando coletivas de imprensa e entrevistas e dando suporte a solicitações de informação; produzir e divulgar materiais impressos, como boletins informativos, folders, cartilhas e materiais institucionais, para distribuir à população e aos veículos de comunicação; desenvolver campanhas de comunicação para reforçar a imagem da Câmara Municipal junto à sociedade, abordando temas como projetos de lei, ações da Mesa Executiva, cidadania, transparência e outros; planejar e coordenar eventos presenciais da Câmara, como audiências públicas, seminários, palestras, conferências e outras ações institucionais, com foco na interação direta com o público; produzir materiais de comunicação institucional para veiculação em rádio e TV, como spots, jingles, anúncios e comerciais, com foco na divulgação das atividades legislativas e ações públicas; trabalhar no fortalecimento da imagem institucional da Câmara Municipal, gerenciando a percepção pública sobre o trabalho legislativo e a transparência das ações.



                                                                                                                                                Art. 27. O Coordenador de Comunicação Institucional tem como atribuições: coordenar as atividades do setor, supervisionando a produção de conteúdo institucional, materiais impressos e campanhas de comunicação, garantindo que todas as ações estejam alinhadas com as diretrizes estabelecidas pela Diretoria de Comunicação Social; gerenciar a equipe do setor, distribuindo tarefas, monitorando prazos e qualidade do trabalho, garantindo que as entregas sejam feitas de maneira eficiente e conforme os padrões estabelecidos; coordenar a produção de releases, notas à imprensa, artigos e matérias jornalísticas, garantindo que as informações institucionais da Câmara sejam veiculadas corretamente pela mídia local; supervisionar as relações com jornalistas, portais de notícias, rádio e TV, acompanhando entrevistas, coletivas de imprensa e ações de visibilidade para promover as atividades da Câmara; coordenar a organização e a execução de eventos de comunicação da Câmara, como audiências públicas, seminários, palestras e encontros com a sociedade; acompanhar a percepção pública da Câmara Municipal, coordenando ações de fortalecimento e reposicionamento da imagem institucional, em conjunto com a Diretoria de Comunicação Social; avaliar o impacto e a eficácia das campanhas de comunicação institucional, propondo melhorias nos processos e ajustando estratégias conforme necessário.



                                                                                                                                                Art. 28. À Seção de Cerimonial, diretamente subordinada ao Coordenador de Comunicação Institucional, compete: cumprir e fazer cumprir as determinações regularmente emanadas da Coordenadoria de Comunicação Institucional; executar os serviços de cerimonial em geral, bem como a recepção de autoridades, convidados e visitantes oficiais; organizar o cerimonial das sessões plenárias; organizar o calendário de eventos da Câmara; elaborar e encaminhar convites para solenidades oficiais do Legislativo; promover as relações sociais entre a Câmara e outros poderes e entidades; manter cadastro atualizado de autoridades, em nível municipal, estadual e federal; elaborar roteiros de atos solenes e de audiências públicas; proceder à divulgação de informações institucionais via internet; executar outras atividades correlatas.



                                                                                                                                                Art. 29. A Coordenadoria de Comunicação Digital, órgão diretamente vinculado à Diretoria de Comunicação Social, tem como objetivo gerir e promover a presença online da Câmara Municipal, utilizando as ferramentas digitais para informar, engajar e aproximar a população das atividades legislativas, competindo-lhe, em especial: criar, publicar e monitorar conteúdo nas principais plataformas digitais, interagindo com o público e promovendo a Câmara Municipal; produzir conteúdo multimídia, como vídeos, infográficos, podcasts e newsletters, com foco em engajamento digital e disseminação de informações sobre as atividades da Câmara; manter e atualizar, em conjunto com a Divisão de Tecnologia da Informação, o site oficial da Câmara Municipal, garantindo que ele contenha informações relevantes, atualizadas e de fácil acesso à população; organizar e realizar transmissões ao vivo das sessões plenárias, comissões e eventos institucionais, além de outras iniciativas de engajamento digital; fomentar o diálogo com a população por meio das redes sociais, respondendo dúvidas, recebendo sugestões e promovendo ações de engajamento; planejar e executar campanhas digitais de divulgação sobre projetos, leis, atividades legislativas e eventos da Câmara; e gerar relatórios periódicos sobre o desempenho das ações de comunicação digital, propondo melhorias contínuas.



                                                                                                                                                Art. 30. O Coordenador de Comunicação Digital tem como atribuições: coordenar as ações do setor, supervisionando a criação de conteúdo digital, campanhas nas redes sociais e demais iniciativas de comunicação online; supervisionar a presença da Câmara Municipal nas plataformas digitais, garantindo que a comunicação esteja alinhada com os objetivos estratégicos da Câmara e atenda às expectativas do público; gerenciar a equipe do setor, distribuindo tarefas, monitorando prazos e qualidade do trabalho, garantindo que as entregas sejam feitas de maneira eficiente e conforme os padrões estabelecidos; acompanhar e analisar métricas de desempenho das plataformas digitais, gerando relatórios sobre os resultados das campanhas digitais e propondo ajustes ou otimizações; coordenar e supervisionar a equipe responsável pelas transmissões ao vivo das sessões plenárias, comissões e outros eventos da Câmara Municipal, garantindo a qualidade técnica e a interação com o público durante os eventos digitais;planejar, coordenar e supervisionar campanhas de marketing digital e outras ações para aumentar o alcance da Câmara nas plataformas digitais.



                                                                                                                                                Art. 31. À Seção de Audiovisual, diretamente subordinada ao Coordenador de Comunicação Digital, compete: cumprir e fazer cumprir as determinações regularmente emanadas da Coordenadoria de Comunicação Digital; desenvolver as atividades relacionadas à TV Câmara, cooperando para a execução da política de comunicação adotada pelo Poder Legislativo e a observância da legislação pertinente; colaborar na definição de estratégias e ações que visem à ampla divulgação das atividades legislativas, como forma de valorização institucional da Câmara; acompanhar as atividades de planejamento e obtenção dos elementos necessários à produção dos programas, bem como as operações relativas à execução dos programas; acompanhar e informar à respectiva coordenadoria a repercussão da programação veiculada pela TV Câmara junto aos órgãos de imprensa e à população em geral; executar outras atividades correlatas.



                                                                                                                                                PROCURADORIA JURÍDICA



                                                                                                                                                Art. 32. A Procuradoria Jurídica, órgão vinculado diretamente ao Presidente da Casa, tem como atribuições a representação em qualquer foro ou instância da Câmara Municipal, nos feitos de que ela participe; o estudo e as providências alusivas à declaração de inconstitucionalidade; a participação na análise de temas políticos; apreciação de propostas de alteração de entendimentos de natureza jurídica, dos recursos ao Plenário, dos Recursos de Revista e/ou outros questionamentos; a manifestação nas propostas de adoção de precedentes firmados na aplicação do Regimento Interno; a promoção, direta ou indireta, do assessoramento às comissões especiais de estudos, comissões parlamentares de inquérito, comissões processantes, à Presidência, aos organismos da Casa e aos Vereadores.



                                                                                                                                                Art. 33. O Procurador Jurídico tem como atribuições: a representação em qualquer foro ou instância da Câmara Municipal, nos feitos que ela integre, inclusive em mandado de segurança proposto contra ocupantes de cargos da Mesa; o estudo e as providências alusivas à declaração de inconstitucionalidade; a participação na análise de temas políticos; estudar e minutar contratos, termos de compromisso e responsabilidade, convênios e outros atos; emitir pareceres singulares ou relatar pareceres coletivos; responder a consulta sobre interpretação de textos legais de interesse da Câmara Municipal; apreciação de propostas de alteração de entendimentos de natureza jurídica formulados pelos advogados, dos recursos ao Plenário, dos Recursos de Revista e/ou outros questionamentos; a manifestação nas propostas de adoção de precedentes firmados quanto à aplicação do Regimento Interno; o assessoramento, direto ou indireto, de comissões especiais de estudos, comissões parlamentares de inquérito, comissões processantes, da Presidência, dos organismos da Casa e dos Vereadores; o esclarecimento ao Plenário, à Mesa Executiva, aos Vereadores e aos organismos da Casa das dúvidas remanescentes; a supervisão das atividades da Procuradoria; a manifestação nos relatórios de comissões, audiências públicas, seminários, simpósios e de grupos de trabalho; a composição da escala de férias; dirigir equipes auxiliares no âmbito das atividades próprias do cargo; a execução de atividades correlatas.

                                                                                                                                                Parágrafo único. O Procurador Jurídico, durante o período da investidura, é exclusivamente legitimado para o exercício da advocacia vinculado às atribuições do cargo.



                                                                                                                                                Art. 34. O Subprocurador Jurídico tem como atribuições: representar a Câmara Municipal de Maringá administrativamente, requerendo ou oficiando em procedimentos de caráter administrativo em que ela for autora, ré, interveniente ou, por qualquer forma, interessada; manter contatos, quando designado pela Presidência, com outros órgãos públicos, federais, estaduais ou municipais, para obtenção de dados relativos às atividades legislativas; executar levantamentos na legislação municipal, federal e estadual, para instruir pareceres a serem exarados pela Procuradoria Jurídica nas matérias em tramitação, ou a pedido da Presidência, dos Vereadores ou de diretores; manifestar-se, sempre que possível, através de pareceres escritos e fundamentados na Constituição Federal, na Constituição do Estado, na Lei Orgânica do Município, no Regimento Interno da Câmara, na legislação vigente, na doutrina e na jurisprudência que regem a matéria; assessorar a Presidência, no desempenho de suas atribuições e funções, nas questões de natureza jurídica; assessorar a Mesa Executiva e seus integrantes, no exercício de suas atribuições regimentais, nas questões de natureza jurídica; assessorar os Vereadores, no exercício de suas atribuições e na defesa de suas prerrogativas, nas questões de natureza jurídica; assessorar as comissões da Câmara Municipal, permanentes ou temporárias, nas questões de natureza jurídica; assessorar o Procurador Jurídico na supervisão das atividades da Procuradoria; exercer outras atividades e tarefas correlatas que forem determinadas pelo superior imediato.

                                                                                                                                                Parágrafo único. O ocupante do cargo de Subprocurador Jurídico deverá possuir graduação em Direito e inscrição ativa no órgão de classe.



                                                                                                                                                DIRETORIA DE COMPLIANCE E CONTROLE INTERNO



                                                                                                                                                Art. 35. À Diretoria de Compliance e Controle interno compete fiscalizar o cumprimento das metas previstas no Plano Plurianual e a execução dos programas orçamentários, no âmbito do Poder Legislativo; acompanhar a gestão contábil, financeira, orçamentária, operacional e patrimonial do Poder Legislativo Municipal, em apoio ao exercício do controle externo do Tribunal de Contas do Estado do Paraná; atuar preventivamente, concomitante e posteriormente aos atos administrativos, visando detectar irregularidades, erros ou falhas, por meio de auditorias comuns, de caráter contínuo, rotineiro e sistemático, previamente programadas, ou em caráter especial ou extraordinário, para apurar denúncias ou suspeitas, segundo os princípios da legalidade, impessoalidade, moralidade, publicidade, razoabilidade, eficiência e economicidade; promover o incremento da transparência na gestão pública; administrar as informações e dados do Portal da Transparência; implantar o programa de integridade, com normas de conduta, procedimentos e ações com o objetivo de prevenir, detectar, sanar, remediar e punir desvios, fraudes, irregularidades e atos ilícitos praticados contra a Administração Pública Municipal; desenvolver treinamentos periódicos sobre o programa de integridade; elaborar e realizar procedimentos específicos para prevenir fraudes e ilícitos no âmbito de processos licitatórios, na execução de contratos administrativos ou em qualquer interação com o Poder Legislativo Municipal, ainda que intermediada por terceiros; elaborar e realizar procedimentos que assegurem a pronta interrupção de irregularidades ou infrações detectadas e a tempestiva remediação dos danos gerados; monitorar continuamente o programa de integridade, visando ao seu aperfeiçoamento na prevenção, detecção e combate à ocorrência dos atos lesivos previstos no artigo 5.º da Lei n. 12.846/2013; coordenar as atividades de auditoria e controle interno do Poder Legislativo Municipal; proceder à análise periódica de riscos para realizar adaptações necessárias ao programa de integridade; implementar, manter e ampliar os canais de denúncia de irregularidades, que deverão ser amplamente divulgados a servidores e terceiros, assegurando-se a existência de mecanismos destinados à proteção de denunciantes de boa-fé; desempenhar todos os atos necessários ao bom e eficaz funcionamento do compliance e do controle interno, visando ao cumprimento de suas finalidades; desempenhar outras atividades que lhe sejam atribuídas pelo Presidente da Câmara Municipal, no âmbito de sua área de atuação.



                                                                                                                                                Art. 36. O Diretor de Compliance e Controle Interno deverá possuir habilitação em curso superior de graduação, preferencialmente em Administração, Ciências Contábeis, Direito ou Economia.



                                                                                                                                                Art. 37. O Diretor de Compliance e Controle Interno poderá ocupar o cargo por período de até 2 (dois) anos, permitida uma única recondução, para período subsequente, também por até 2 (dois) anos.



                                                                                                                                                Art. 38. Não poderá ser designado para o cargo de Diretor de Compliance e Controle Interno quem:

                                                                                                                                                I – exerça outra atividade profissional;

                                                                                                                                                II – tenha sofrido apenação administrativa, civil ou penal, transitada em julgado;

                                                                                                                                                III – realize atividade ou possua vínculos político-partidários.



                                                                                                                                                Art. 39. Constitui garantia do ocupante do cargo de Diretor de Compliance e Controle Interno do Poder Legislativo independência funcional para o desempenho das atividades.

                                                                                                                                                § 1.º Nenhum processo, documento ou informação poderá ser sonegado ao Diretor de Compliance e Controle Interno, no exercício de suas funções, sob pena de responsabilidade.

                                                                                                                                                § 2.º É assegurada ao Diretor de Compliance e Controle Interno a possibilidade de impugnar, mediante representação, atos sem fundamentação legal.



                                                                                                                                                Art. 40. Ao Serviço de Gestão de Dados Pessoais, diretamente subordinado à Diretoria de Compliance e Controle Interno, compete: exercer a função de encarregado pelo tratamento de dados pessoais no âmbito do Poder Legislativo, na forma da legislação pertinente; implementar mecanismos de tratamento e proteção dos dados pessoais no âmbito da Câmara Municipal, com vistas a garantir o cumprimento da Lei Geral de Proteção de Dados – LGPD; auxiliar a elaboração da Política de Privacidade e Proteção de Dados Pessoais da Câmara Municipal e as respectivas normas auxiliares, e proceder à sua revisão periódica; acompanhar a implantação e o cumprimento das ações regulamentadoras nos diversos órgãos e setores da Câmara Municipal; avaliar os procedimentos de tratamento e proteção de dados existentes e propor estratégias e metas em observância à LGPD; promover ações de sensibilização e orientação junto ao quadro de pessoal, aos órgãos administrativos e aos contratados da Câmara Municipal sobre a aplicação da política e das normas relacionadas à privacidade e proteção de dados pessoais; analisar os casos de descumprimento das normas referentes à Política de Privacidade e Proteção de Dados Pessoais, instruí-los com base nas normativas pertinentes e notificar os responsáveis; informar aos titulares de dados quanto a eventuais ocorrências de vazamento de dados pessoais; receber reclamações dos titulares de dados pessoais, prestar esclarecimentos e adotar providências necessárias; receber comunicações da Autoridade Nacional de Proteção de Dados (ANPD) bem como de outros órgãos e instituições que tenham poderes para requerer informações sobre o tratamento de dados pessoais e adotar as providências necessárias; articular o intercâmbio de informação sobre a proteção de dados pessoais com outros órgãos públicos; cumprir e fazer cumprir as determinações regulamentares emanadas da Diretoria; desempenhar outras funções correlatas que lhe forem atribuídas.



                                                                                                                                                DIRETORIA GERAL



                                                                                                                                                Art. 41. A Diretoria Geral, vinculada diretamente ao Presidente da Casa, tem como atribuições: a discussão de temas políticos; proporcionar e garantir os serviços administrativos, legislativos, de apoio e de ação comum à Câmara, Plenário, Mesa Executiva, Presidência, comissões permanentes, comissões temporárias, grupos de trabalho, frentes parlamentares, audiências públicas, Vereadores e demais organismos; conduzir, de acordo com as determinações superiores, o exercício das atividades institucionais da Casa e o atendimento público, zelando para que tais procedimentos assegurem o eficiente funcionamento do Legislativo.



                                                                                                                                                Art. 42. O Diretor Geral tem como atribuições: programar, supervisionar, dirigir, coordenar, orientar e controlar a execução de todos os serviços legislativos e administrativos da Câmara Municipal; autorizar a expedição e assinar as certidões requeridas; assinar os processos de pagamento das despesas da Câmara e encaminhar à Presidência para a competente autorização e pagamento; dar posse a todos os servidores efetivos e comissionados da Câmara Municipal, mediante termo em livro próprio; conhecer de todo expediente oriundo das diretorias; assinar ofícios, atestados, certidões, editais e outros documentos da Câmara Municipal; expedir ordens de serviços e demais atos necessários à execução dos trabalhos da Câmara Municipal, conforme instruções e decisões da Presidência; julgar justificadas ou não faltas ao serviço dos servidores, de acordo com a legislação vigente; autorizar a lotação do pessoal da Câmara Municipal; emitir despachos em processos cuja decisão caiba à autoridade superior; emitir despachos decisórios em processos de sua competência; encaminhar à Mesa Executiva, até o dia 30 de janeiro, o relatório anual circunstanciado das atividades desenvolvidas pela Câmara Municipal; propor medidas à Mesa Executiva que visem a facilitar os serviços da Câmara Municipal; apreciar e encaminhar os relatórios mensais e anuais apresentados pelos órgãos da Câmara Municipal e elaborar um relatório geral para a Mesa Executiva e a Presidência; despachar o expediente com o Presidente da Câmara Municipal; promover reuniões com os diretores e coordenadores das divisões, seções e outros setores, para tratar de assuntos relacionados com os serviços da Câmara; comunicar-se com outras repartições públicas, sempre que necessário, para a resolução de assuntos de interesse da Câmara; assinar os cheques em geral, juntamente com o Presidente ou outro membro da Mesa Executiva autorizado; conservar e zelar pelos bens patrimoniais da Câmara Municipal, sob sua responsabilidade e guarda; prestar esclarecimentos em plenário, quando solicitado; assessorar a Mesa Executiva nos atos e decisões de serviços da Câmara Municipal; assessorar a Mesa e os Vereadores em matéria de sua competência; autorizar a prestação de serviços extraordinários por parte dos servidores da Câmara, ouvidos os respectivos superiores; superintender, direta ou indiretamente, a fiscalização da execução dos contratos celebrados pela Câmara Municipal; fixar, por ato administrativo, a escala anual de férias dos servidores, ouvindo os respectivos superiores; encaminhar à Diretoria Financeira, por intermédio da Divisão de Finanças, Orçamento e Contabilidade, a elaboração da proposta orçamentária da Câmara, devidamente aprovada pela Mesa Executiva; desempenhar outras funções correlatas.



                                                                                                                                                Art. 43. À Divisão de Tecnologia da Informação compete cumprir e fazer cumprir as determinações regulamentares emanadas da Diretoria Geral; coordenar todo o sistema de processamento de dados da Câmara Municipal; articular com os demais órgãos da Administração a melhor utilização dos equipamentos; programar a execução dos serviços necessários à modernização do sistema; acompanhar a implantação de todos os sistemas programados; apresentar estudos para melhoria do sistema, quando for o caso; adotar sistema de segurança adequado para a guarda dos arquivos, para evitar a sua violação ou qualquer ação que possa prejudicá-los; manter atualizados os dados disponíveis; realizar estudos de viabilidade técnico-econômica sobre a utilização de softwares e equipamentos, emitindo parecer quanto à conveniência de sua aquisição; executar e coordenar a confecção de normas e procedimentos para utilização dos softwares instalados; pesquisar todos os recursos dos equipamentos, proporcionando um suporte técnico e treinamento da equipe da Divisão de Tecnologia da Informação, visando à otimização e racionalização de sistemas em desenvolvimento e produção; sanar as dúvidas de quaisquer setores técnicos, quando solicitado; interagir nas áreas de desenvolvimento e produção, visando detectar problemas e dificuldades e propondo solução no sentido de obter melhor aproveitamento de equipamentos e recursos humanos; proporcionar esquemas de backups eficientes, bem como esquemas de recuperação e segurança, em caso de falhas operacionais e sinistros; oferecer treinamento e reciclagem aos servidores usuários do sistema; estabelecer intercâmbios, com órgãos de pesquisa ou detentores de informações, que possam ser de interesse da Câmara Municipal; desempenhar outras funções que lhe forem regularmente atribuídas.



                                                                                                                                                Art. 44. Compete à Seção de Suporte Técnico, Dados e Manutenção, subordinada diretamente à Divisão de Tecnologia da Informação: prestar suporte técnico aos usuários dos equipamentos de informática; detectar e solucionar falhas nos equipamentos de informática; substituir peças defeituosas dos equipamentos de informática; instalar, nos microcomputadores, sistema operacional ou qualquer outro sistema computacional que não esteja funcionando adequadamente; encaminhar a empresa de assistência técnica competente os equipamentos que necessitarem de reparos que não possam ser realizados no próprio local; executar os serviços de implantação, atualização, supervisão e manutenção da rede do sistema, bancos de dados e arquivos, dentre outros serviços de suporte técnico e de supervisão; preparar dispositivos para cópia de segurança dos dados armazenados nos microcomputadores e “servidores de dados”; proceder à cópia de segurança dos dados armazenados nos “servidores de dados”; manter cadastro atualizado das manutenções realizadas nos equipamentos de informática; desempenhar outras funções correlatas.



                                                                                                                                                DIRETORIA LEGISLATIVA



                                                                                                                                                Art. 45. A Diretoria Legislativa, vinculada ao Diretor Geral, tem as atribuições de iniciar, desenvolver e concluir os processos de propostas de emenda à Lei Orgânica, de projetos de leis, decretos legislativos e resoluções para apreciação do Plenário; proporcionar e dirigir os trabalhos de apoio às comissões permanentes, às comissões temporárias e grupos de trabalho administrativos; aprestar substitutivos, emendas, indicações e requerimentos em geral para serem apreciados pelo Plenário; compor a Ordem do Dia das sessões, conforme as instruções do Presidente da Câmara; implementar outras atividades voltadas à regularidade e à eficácia da atividade legislativa.



                                                                                                                                                Art. 46. O Diretor Legislativo tem as atribuições de participar da análise dos fatos políticos; com o concurso da Divisão de Assistência Legislativa, orientar, coordenar e dirigir a formação, o desenvolvimento e a conclusão dos processos das propostas de leis, decretos legislativos e resoluções; o aprestamento de substitutivos, emendas, requerimentos em geral e indicações, submetendo-os à consideração do Presidente, para integrarem a pauta da Ordem do Dia das sessões; coordenar as funções de apoio às comissões permanentes, às comissões temporárias e grupos de trabalho administrativos, das Seções de Redação e Processo Legislativo, de Comissões Permanentes e Temporárias, de Arquivo e Informações e de Protocolo Geral; cumprir e fazer cumprir as determinações superiores; firmar os documentos expedidos pela Diretoria em favor dos demais organismos da Casa; assessorar o Presidente, a Mesa Executiva, as comissões, os Vereadores e o Diretor Geral; executar tarefas correlatas.



                                                                                                                                                Art. 47. À Divisão de Assistência Legislativa compete desempenhar todos os passos do processo legislativo relativos à tramitação de propostas de emendas à Lei Orgânica do Município, de projetos de leis, de resolução e de decreto legislativo; elaborar a redação final dos projetos; controlar os prazos para sanção ou promulgação; manter o arquivo de leis, de emendas à Lei Orgânica do Município, de resoluções e de decretos legislativos com todos os documentos do processo legislativo do ano corrente; formatar o texto final de leis promulgadas, de emendas à Lei Orgânica do Município, de resoluções e de decretos legislativos, encaminhando-os para promulgação ao Diário Oficial, com cópia para o Executivo; controlar o prazo para publicação e conferir o texto de atos legislativos no Diário Oficial do Município; disponibilizar a íntegra de leis, de emendas à Lei Orgânica, de resoluções e de decretos legislativos na internet, com a formatação adequada para visualização; receber vetos aos projetos de leis, encaminhá-los para tramitação e controlar o prazo; manter arquivo auxiliar contendo documentos referentes às comissões, aos conselhos, aos comitês e aos órgãos criados por leis especiais com representação da Câmara (leis, decretos, ofícios e outros) e alimentar o respectivo cadastro no sistema informatizado (com controle de mandatos); apoiar a realização das sessões ordinárias, extraordinárias, solenes, especiais e comemorativas, elaborando as pautas, fornecendo todos os documentos necessários e/ou solicitados em plenário; acompanhar a discussão das matérias, dar encaminhamento e alimentar o sistema informatizado de acordo com o despacho da Mesa; providenciar o controle de frequência dos Vereadores e o respectivo relatório mensal; secretariar as comissões permanentes e temporárias (elaborar ofícios, relatórios, controlar o prazo destas e tomar outras providências que se fizerem necessárias); alimentar e manter atualizado, no sistema informatizado, o cadastro de decretos do Executivo, da legislatura, da Mesa Executiva, de partidos, de Vereadores e de comissões; elaborar, com dados colhidos em plenário, ata sucinta das sessões e anais do Poder Legislativo, na forma regimental; elaborar e digitar certidões, pronunciamentos e outras matérias relevantes, pertinentes às sessões, reuniões e outros eventos ligados diretamente à atividade legislativa; organizar, em volumes, os anais da Câmara Municipal, acompanhados de índice analítico e remissivo; desempenhar outras funções que lhe forem regularmente atribuídas.



                                                                                                                                                Art. 48. Compete à Seção de Protocolo Geral da Câmara Municipal, diretamente subordinada à Coordenadoria da Divisão de Assistência Legislativa: cumprir e fazer cumprir as determinações regulamentares emanadas da respectiva coordenadoria; a manutenção do protocolo geral do expediente; a remessa, recebimento, triagem e distribuição da correspondência externa e interna, conforme determinação superior; os serviços de mensageiro; protocolizar as solicitações de serviços dos Vereadores, efetuando sua triagem e encaminhamento aos setores responsáveis; elaborar a súmula do expediente recebido, para fins de leitura em plenário; remeter à publicação, mediante protocolo, todos os atos e demais matérias sujeitas a esta finalidade; distribuir, mediante protocolo, relatórios e outros documentos; acompanhar as atividades realizadas por meio do processo eletrônico de tramitação de documentos; desempenhar outras atividades correlatas.



                                                                                                                                                Art. 49. À Seção de Redação e Processo Legislativo, subordinada diretamente à Coordenadoria da Divisão de Assistência Legislativa, compete: cumprir e fazer cumprir as determinações regulamentares emanadas da respectiva coordenadoria; atender aos trabalhos nas sessões da Câmara Municipal; elaborar e digitar as proposições oficiais dos Vereadores e da Mesa Executiva; assessorar a Mesa Executiva, no decorrer das sessões da Câmara Municipal, sobre matéria técnico-legislativa; controlar as matérias em tramitação na Seção; digitar os autógrafos de emendas à Lei Orgânica, projetos de lei, resoluções, decretos legislativos; redigir, revisar quanto à ortografia e digitar os expedientes oficiais, especialmente requerimentos, indicações e correspondências, afetos à competência da Diretoria Legislativa; enviar, via e-mail, quando possível, ao Gabinete do Prefeito Municipal, os autógrafos dos projetos de lei submetidos à sanção prefeitoral; auxiliar na elaboração das proposições em geral; manter registro e controle, bem como zelar pela guarda das solicitações de serviço encaminhadas pelos senhores Vereadores, destinadas a orientar a elaboração de proposições; instruir, com o auxílio da Seção de Arquivo e Informações, as solicitações de serviço apresentadas pelos senhores Vereadores, posteriormente destinando-as para os procedimentos de praxe; sempre que possível, prestar colaboração aos serviços desenvolvidos pelas demais seções da Divisão; desempenhar outras atividades correlatas.



                                                                                                                                                Art. 50. À Gerência de Apoio às Comissões, diretamente subordinada à Coordenadoria da Divisão de Assistência Legislativa, compete planejar, organizar e supervisionar as atividades realizadas pela Seção de Comissões Permanentes e Temporárias, garantindo a eficiência e a qualidade dos serviços prestados; coordenar a equipe subordinada, distribuindo tarefas, orientando processos e avaliando o desempenho dos servidores, com vistas ao alcance das metas institucionais; garantir o cumprimento dos prazos e das determinações regulamentares relacionadas às atividades das comissões, articulando-se com outros setores da Câmara Municipal quando necessário; representar o setor junto à Diretoria Geral, à Diretoria Legislativa, à Mesa Executiva e às comissões, articulando demandas e propondo soluções para o aprimoramento das atividades; estabelecer fluxos e procedimentos internos para otimizar a execução das atividades da Seção de Comissões Permanentes e Temporárias, garantindo alinhamento com as diretrizes da Câmara Municipal; promover a integração entre a Seção de Comissões Permanentes e Temporárias e outros setores da Câmara, facilitando a troca de informações e a resolução de eventuais demandas conjuntas; identificar necessidades de capacitação da equipe subordinada e propor ações de treinamento ou desenvolvimento profissional, em conformidade com as diretrizes institucionais; exercer a liderança de forma estratégica, assegurando a harmonia e a motivação da equipe, além do alinhamento com os objetivos da Gestão e da Câmara Municipal; submeter relatórios periódicos à Diretoria Legislativa ou à autoridade superior, apresentando os resultados alcançados, dificuldades enfrentadas e sugestões de melhoria; cumprir e fazer cumprir as determinações superiores, assegurando o alinhamento das atividades do setor com os princípios e objetivos institucionais; desempenhar outras funções que lhe forem atribuídas por autoridade superior, sempre observando os limites de sua competência.

                                                                                                                                                Parágrafo único. As atribuições descritas no caput deste artigo serão exercidas pelo Gerente de Apoio às Comissões.



                                                                                                                                                Art. 51. À Seção de Comissões Permanentes e Temporárias, diretamente subordinada à Gerência de Apoio às Comissões, compete: cumprir e fazer cumprir as determinações regulamentares emanadas da respectiva gerência; elaborar parecer, por escrito, em matéria ou proposição, quando solicitado pela Mesa Executiva, com auxílio da Procuradoria Jurídica; elaborar parecer, por escrito, quando solicitado pelas comissões permanentes da Câmara, em matérias que exijam apreciação técnico-legislativa; assessorar as comissões temporárias e grupos de trabalho constituídos na Câmara, em matéria técnico-legislativa, com a orientação da Procuradoria Jurídica, quando necessário; elaborar parecer, quando solicitado pela Mesa Executiva, sobre a proposta do Orçamento-Programa do Município, Plano Plurianual de Investimentos e outras matérias de natureza orçamentária, com a orientação do Núcleo de Assessoramento Técnico Superior; elaborar parecer, quando solicitado pela Mesa Executiva, sobre a Prestação de Contas do Município, depois de recebido o Parecer Prévio ou Acórdão do Tribunal de Contas do Estado, também com o auxílio previsto no item anterior; assessorar os Vereadores, a Mesa Executiva, as comissões permanentes e temporárias e os grupos de trabalho, em assuntos de sua competência; assessorar os Vereadores na apreciação do Orçamento-Programa do Município, prestações de contas e outras matérias pertinentes; assessorar, quando solicitado, a Diretoria Geral e a Diretoria Legislativa, sobre matéria técnico-legislativa; controlar os prazos das matérias encaminhadas às comissões; numerar e rubricar todos os processos em tramitação no âmbito das comissões; controlar, por sistema próprio, as matérias em tramitação nas comissões; desempenhar outras funções correlatas que lhe forem regularmente atribuídas pela Coordenadoria da Divisão de Assistência Legislativa ou superiores hierárquicos.



                                                                                                                                                Art. 52. À Seção de Arquivo e Informações, diretamente subordinada à Coordenadoria da Divisão de Assistência Legislativa, compete: cumprir e fazer cumprir as determinações regulamentares emanadas da Divisão de Assistência Legislativa; manter registro e controle de todos os processos e demais expedientes destinados ao arquivo; preservar atualizado e em boa ordem, em livro, fichas ou outro sistema adotado, o registro das matérias, de forma a assegurar localização rápida e eficiente de qualquer documento recolhido ao arquivo; organizar a coletânea das leis municipais, resoluções e decretos legislativos, requerimentos, indicações e outras matérias, anotando as alterações ou transformações havidas; realizar controle sistemático sobre o cumprimento das leis, decretos legislativos e resoluções, e as razões de sua inobservância, quando ocorrer; conservar arquivo com informações sobre as leis, decretos legislativos e resoluções em desuso, revogadas ou derrogadas; promover, periodicamente, a coletânea de leis, decretos legislativos e resoluções análogos ou afins, para efeito de consolidação de seus textos, conforme critérios e sistemas determinados pela Mesa Executiva; manter sob sua guarda e conservação os livros, revistas, publicações, coleções diversas e outras matérias de interesse da Câmara Municipal, classificando-os convenientemente; atender a consultas e requisições dos órgãos da Câmara Municipal, no que concerne à literatura técnico-legislativa e jurídica, mantendo, para tanto, fichários organizados e atualizados; manter arquivo especial, devidamente cadastrado, para documentos considerados sigilosos ou secretos; adotar sistema de segurança adequado para a guarda dos arquivos da Câmara Municipal, para evitar sua violação ou qualquer ação que possa destruí-los ou inutilizá-los; efetuar, anualmente, a triagem da documentação que se destina ao arquivo morto da Câmara Municipal; promover a microfilmagem de documentos oficiais da Câmara, de conformidade com as determinações da Mesa Executiva; expedir, quando autorizado, cópias ou fotocópias de documentos arquivados ou sob sua responsabilidade; controlar o envio de correspondências oficiais da Câmara Municipal; proceder à entrega, mediante registro, de expedientes, relatórios e outros documentos; prestar informações gerais quanto à tramitação de processos e expedientes na Câmara Municipal, quando solicitadas pelas chefias competentes; encaminhar para publicação todos os atos da Mesa Executiva e demais matérias sujeitas a esta formalidade; elaborar, mensalmente, relatório das atividades legislativas; controlar os prazos dos pedidos de informações ou de documentos encaminhados ao Executivo Municipal; extrair e fazer distribuir avulsos das matérias dadas à Ordem do Dia; organizar, em conjunto com a Divisão de Recursos Humanos, a relação dos suplentes de Vereadores, a apostilagem dos títulos de nomeação dos servidores, bem como os termos de posse dos Vereadores; desempenhar outras funções correlatas.



                                                                                                                                                Art. 53. À Divisão de Acompanhamento e Execução das Leis e Projetos Especiais compete o levantamento das leis municipais em vigor, realizando estudos alusivos à sua criação, redação, promulgação e cumprimento; a fiscalização do efetivo cumprimento da norma jurídica; a produção de notas técnicas e pareceres sobre a motivação, criação e regulamentação de todas as leis municipais, sempre que solicitado; a gerência das atividades da Escola do Legislativo, da Câmara Mirim, da Revista do Legislativo Maringaense, da Biblioteca da Câmara Municipal de Maringá e de outros assuntos relacionados aos projetos especiais propostos pela Presidência, Mesa Executiva ou por Vereadores.



                                                                                                                                                Art. 54. Ao Núcleo de Assessoramento Técnico Superior, órgão diretamente vinculado à Diretoria Legislativa, compete o fornecimento de suporte técnico contínuo e especializado aos Vereadores e às comissões permanentes ou temporárias da Câmara Municipal, nas áreas de contabilidade pública, urbanismo, engenharia, planejamento urbano, infraestrutura e outras questões pertinentes à gestão pública; a realização de análises técnicas detalhadas sobre projetos de lei, emendas, proposições e outros documentos legislativos, emitindo pareceres que avaliem sua viabilidade, impacto financeiro, orçamentário e técnico, e sua conformidade com a legislação vigente; a elaboração, revisão e acompanhamento de emendas ao orçamento municipal, assegurando que as propostas atendam aos requisitos legais e fiscais, e que estejam alinhadas às necessidades e prioridades do Município; o acompanhamento da execução do orçamento municipal, emitindo relatórios periódicos sobre a gestão financeira e orçamentária e identificando eventuais desvios ou necessidades de ajustes nas propostas legislativas; a contribuição com análises técnicas na formulação, implementação e avaliação de políticas públicas municipais, oferecendo subsídios sobre a viabilidade financeira, social e urbanística das propostas legislativas; a realização de estudos e pesquisas técnicas sobre temas relevantes para o Município, fornecendo dados e informações que possam subsidiar a elaboração de novas proposições legislativas ou a revisão das existentes.



                                                                                                                                                Art. 55. O Coordenador do Núcleo de Assessoramento Técnico Superior tem as atribuições de coordenar, supervisionar e orientar as atividades dos assessores especializados, garantindo que as demandas e solicitações dos Vereadores e comissões sejam atendidas com eficiência e qualidade técnica; definir, em conjunto com a Diretoria Legislativa, as prioridades e metas do núcleo, estabelecendo critérios para o planejamento, execução e acompanhamento das tarefas e projetos em andamento; acompanhar e garantir a execução das atividades de assessoria técnica nas áreas de contabilidade pública, urbanismo, engenharia e arquitetura, conforme as necessidades legislativas e orçamentárias da Câmara Municipal; coordenar as ações de integração e desenvolvimento da equipe técnica do núcleo, promovendo a distribuição adequada de tarefas, o acompanhamento do desempenho e a resolução de questões internas de trabalho; avaliar periodicamente o desempenho dos assessores técnicos, identificar necessidades de capacitação e propor treinamentos para melhorar o desempenho da equipe; realizar o planejamento e o controle de recursos humanos dentro do núcleo, incluindo a alocação de pessoal para atender às demandas das comissões e dos Vereadores; coordenar a elaboração e a análise de pareceres técnicos, relatórios e estudos especializados solicitados pelas comissões e pelos Vereadores, garantindo que os documentos estejam em conformidade com a legislação vigente e com as melhores práticas técnicas; prestar assessoria estratégica à Presidência da Câmara e à Mesa Executiva, fornecendo informações técnicas e orientações sobre questões complexas relacionadas ao orçamento público, à gestão de recursos e ao planejamento urbano; aconselhar sobre a viabilidade e os impactos técnicos de projetos de lei, emendas e outras proposições, bem como sugerir alternativas para a melhoria da legislação e da gestão pública municipal; organizar e controlar os fluxos de trabalho do núcleo, garantindo o cumprimento dos prazos e a entrega das demandas dentro dos parâmetros estabelecidos; estabelecer um sistema eficiente de acompanhamento das solicitações feitas pelos Vereadores e comissões, monitorando a progressão das atividades e ajustando as prioridades conforme necessário; representar o núcleo junto aos outros órgãos da Câmara Municipal, ao Executivo e a entidades externas, quando solicitado, garantindo que as demandas sejam bem compreendidas e atendidas; propor e implementar melhorias nos processos e metodologias de trabalho do núcleo, fomentar a cultura de capacitação contínua, pesquisa e atualização técnica, para que o núcleo esteja sempre alinhado às melhores práticas e às exigências legais mais recentes.

                                                                                                                                                Parágrafo único. O ocupante do cargo de Coordenador do Núcleo de Assessoramento Técnico Superior deverá possuir habilitação em curso superior de graduação em uma das seguintes áreas: Administração, Direito, Ciências Contábeis, Gestão Pública, Engenharia Civil ou Arquitetura e Urbanismo.



                                                                                                                                                Art. 56. Ao Assessor Especial para Assuntos Contábeis e Orçamentários, diretamente vinculado ao Núcleo de Assessoramento Técnico Superior, compete o exercício das seguintes atribuições: prestar assessoramento técnico e estratégico aos Vereadores e comissões da Câmara Municipal em matérias relacionadas a planejamento orçamentário, finanças públicas e controle fiscal; assessorar os Vereadores e comissões da Câmara Municipal na análise de projetos de lei, emendas e proposições relacionadas ao orçamento municipal, à gestão fiscal e à destinação de recursos públicos, fornecendo subsídios técnicos de forma estratégica; assessorar os Vereadores na formulação de emendas ao orçamento municipal, propondo ajustes na alocação de recursos de acordo com as demandas estratégicas do Município e as prioridades políticas; fornecer orientação direta aos Vereadores sobre a compatibilidade de proposições legislativas com o Plano Plurianual (PPA), a Lei de Diretrizes Orçamentárias (LDO) e a Lei Orçamentária Anual (LOA), com foco em garantir alinhamento estratégico e fiscal; elaborar notas técnicas e pareceres sucintos sobre o impacto orçamentário e financeiro de proposições legislativas, priorizando análises estratégicas e viáveis para a tomada de decisão política; acompanhar a tramitação de proposições que envolvam a alocação de recursos públicos, identificando riscos e oportunidades que impactem o planejamento orçamentário e as políticas públicas do Município; realizar estudos estratégicos sobre a execução orçamentária e financeira do Município, apresentando aos Vereadores análises que contribuam para a definição de prioridades legislativas; participar de reuniões, audiências públicas e debates promovidos pela Câmara Municipal sobre temas orçamentários, representando o alinhamento necessário para assessorar os Vereadores; monitorar alterações na legislação fiscal, tributária e contábil que possam impactar o orçamento municipal, assessorando os Vereadores na proposição de ajustes ou novos projetos de lei; estabelecer articulação com órgãos técnicos e entidades externas para obter informações relevantes sobre gestão orçamentária e fiscal, garantindo suporte estratégico à atuação legislativa; apoiar os Vereadores na elaboração de políticas públicas relacionadas ao planejamento orçamentário, à arrecadação de tributos e à execução de investimentos, assegurando a adequação às demandas sociais e ao equilíbrio fiscal; oferecer subsídios estratégicos e técnicos aos Vereadores sobre o cumprimento das normas de responsabilidade fiscal, auxiliando na identificação de ajustes necessários ao orçamento municipal.



                                                                                                                                                Art. 57. Ao Assessor Especial para Assuntos Urbanísticos, diretamente vinculado ao Núcleo de Assessoramento Técnico Superior, compete o exercício das seguintes atribuições: prestar assessoramento técnico e estratégico aos Vereadores e comissões da Câmara Municipal em matérias relacionadas a urbanismo, planejamento territorial e infraestrutura urbana; assessorar os Vereadores e comissões da Câmara Municipal na análise de proposições legislativas, projetos de lei, emendas e outros documentos relacionados a urbanismo, planejamento territorial e infraestrutura urbana, fornecendo subsídios técnicos de forma estratégica; fornecer suporte técnico e orientação direta aos Vereadores na tomada de decisões relacionadas a políticas públicas de planejamento urbano, desenvolvimento habitacional, mobilidade e sustentabilidade, em alinhamento com os interesses do Município; elaborar notas técnicas e pareceres sucintos para subsidiar o debate e a deliberação legislativa em temas relacionados a engenharia, urbanismo e arquitetura; participar de reuniões, audiências públicas e debates promovidos pela Câmara Municipal sobre temas urbanísticos, atuando como interlocutor de confiança para os Vereadores e comissões; identificar, em conjunto com os Vereadores, pontos de aprimoramento técnico e político em projetos e proposições legislativas, propondo soluções alinhadas aos objetivos do planejamento urbano e às demandas da população; acompanhar a tramitação de proposições legislativas relacionadas a infraestrutura urbana e ordenamento territorial, articulando informações relevantes com agentes políticos e técnicos; realizar pesquisas e levantar dados estratégicos sobre temas urbanísticos e de infraestrutura, apresentando sínteses e análises que contribuam para o planejamento e a atuação legislativa; monitorar inovações legislativas, normativas e tecnológicas que possam impactar a política urbana do Município, assessorando os Vereadores na proposição de soluções alinhadas às melhores práticas; estabelecer articulação com órgãos técnicos e entidades externas, visando colher informações relevantes e garantir que as proposições legislativas sejam compatíveis com os objetivos do desenvolvimento urbano sustentável; apoiar os Vereadores na elaboração de políticas públicas urbanísticas, com foco em atender às necessidades estratégicas do Município e da população, reforçando a confiança e o alinhamento entre as ações técnicas e políticas.



                                                                                                                                                DIRETORIA ADMINISTRATIVA



                                                                                                                                                Art. 58. A Diretoria Administrativa, vinculada ao Diretor Geral, tem como atribuições a realização, com a participação e concurso de suas divisões, seções e serviços, das atividades de Administração, Recursos Humanos, Licitações e Compras; Almoxarifado; Portaria, Vigilância e Segurança; Controle do Uso e da Manutenção de Veículos; Manutenção Geral e Jardinagem; Copa e Limpeza; e Telefonia.



                                                                                                                                                Art. 59. O Diretor Administrativo tem as atribuições de superintender, orientar, dirigir, controlar e coordenar as atividades das divisões e seções integrantes da Diretoria Administrativa; o desenvolvimento de esforços para que as atividades sob sua direção realizem suas competências e funções mediante projetos previamente aprovados, destacando a relação custo/benefício de seus atos administrativos, cumprindo os princípios estabelecidos pelo artigo 37 da Constituição Federal; determinar estudos e, com base neles, propor ao Diretor Geral medidas de aprimoramento dos serviços e atuações de competência da Diretoria de Administração e seus órgãos subordinados; expedir autorização para a instauração dos processos licitatórios e de aquisição; exigir relatório de conservação geral e de veículos com demonstração estatística mensal, quadrimestral e anual e outros dados que se fizerem necessários; relatar ao Diretor Geral o desempenho global das atividades e serviços sob a responsabilidade da Diretoria Administrativa e seus órgãos subordinados; executar atividades correlatas.



                                                                                                                                                Art. 60. Ao Serviço de Gestão de Contratos, diretamente subordinado à Diretoria Administrativa, compete: acompanhar e apoiar as atividades relacionadas à fiscalização contratual com vistas à formalização dos procedimentos de gestão administrativa relacionados às contratações do Poder Legislativo; conduzir os procedimentos de prorrogação de prazos, alterações contratuais, reequilíbrio econômico-financeiro e extinção contratual; acompanhar o desenvolvimento da execução contratual através de relatórios de fiscalização e demais documentos relativos ao objeto contratado; manifestar-se por escrito às unidades responsáveis a respeito da necessidade de adoção de providências visando à prorrogação do prazo contratual, antecipadamente ao término de sua vigência, observados os prazos exigíveis para cada situação, nunca inferiores a 60 (sessenta) dias; manifestar-se por escrito às unidades responsáveis, acerca da necessidade de adoção de providências visando à deflagração de novo procedimento licitatório, antecipadamente ao término da vigência contratual, observadas as peculiaridades de cada objeto e os prazos exigíveis para cada situação, nunca inferiores a 120 (cento e vinte) dias; fiscalizar a obrigação do contratado e do subcontratado, se houver, de manter, durante toda a execução do contrato, em compatibilidade com as obrigações assumidas, as condições de habilitação e qualificação exigidas na licitação; notificar o contratado sobre irregularidades não saneadas e sobre a abertura de processo administrativo sancionador; dar imediata ciência formal a seus superiores dos incidentes e das ocorrências da execução que possam acarretar a imposição de sanções ou a rescisão contratual; conduzir os processos administrativos sancionatórios; recomendar a suspensão provisória da entrega de bens ou a realização de serviços; cumprir e fazer cumprir as determinações regulamentares emanadas da Diretoria; desempenhar outras funções correlatas que lhe forem atribuídas.



                                                                                                                                                Art. 61. À Divisão de Administração compete cumprir e fazer cumprir as determinações regulamentares emanadas da Diretoria Administrativa; supervisionar a execução de serviços de reparo e manutenção do prédio, das instalações e do mobiliário da Câmara; zelar pela manutenção, conservação e recuperação do edifício do Poder Legislativo, excetuando bens e serviços em garantia ou que exijam mão-de-obra técnica ou especializada; responsabilizar-se pelo controle, guarda e uso adequado de equipamentos, ferramentas, utensílios e produtos utilizados nos serviços da Câmara; manter contato com empresas prestadoras de serviços para manutenção e conserto de máquinas, móveis e equipamentos, sempre que solicitado; controlar e fiscalizar a execução de contratos celebrados pela Câmara na área de sua competência, assegurando o cumprimento dos serviços contratados; manter sistema de controle da utilização do plenário e das salas de reuniões da Câmara; realizar o deslocamento de bens móveis e utensílios entre as dependências da Casa, quando necessário; hastear e arriar as bandeiras da Câmara; supervisionar a organização e uso dos espaços físicos da Câmara, garantindo que estejam adequados às necessidades institucionais; elaborar relatórios e propor soluções para demandas relacionadas à infraestrutura e logística da Câmara; desempenhar outras funções administrativas atribuídas pela Diretoria Administrativa.



                                                                                                                                                Art. 62. À Seção de Portaria, Vigilância e Segurança, diretamente subordinada à Coordenadoria da Divisão de Administração, compete o atendimento dos trabalhos de manutenção e controle da portaria; atendimento ao público, recepção, credenciamento, controle, frequência e encaminhamento de pessoas; recebimento, ordenação, classificação e encaminhamento de correspondências, jornais, revistas e publicações recebidos e a serem encaminhados; atendimento ao plenário e galeria de visitantes, aos gabinetes, repartições administrativas e garagens; controle e vigilância das dependências internas e externas do Legislativo; zelar pela ordem e segurança da Casa, sobretudo no decorrer das sessões; desempenhar outras funções que lhe forem regularmente atribuídas pela Coordenadoria da Divisão; desenvolver outras atribuições correlatas.



                                                                                                                                                Art. 63. À Seção de Copa e Limpeza, diretamente subordinada à Coordenadoria da Divisão de Administração, compete: as atividades de atendimento ao plenário, gabinetes e órgãos da Administração; atividades de controle do consumo e a responsabilidade da guarda dos materiais de limpeza e conservação colocados à disposição da unidade; limpeza e conservação dos móveis, utensílios e materiais vinculados às atividades institucionais da Câmara Municipal; desempenhar outras funções regulamentares que lhe forem atribuídas pela Coordenadoria da Divisão.



                                                                                                                                                Art. 64. À Seção de Telefonia, diretamente subordinada à Divisão de Administração, compete: coordenar o atendimento aos usuários internos e externos no tocante aos serviços da central telefônica, garantindo a execução dos serviços e rotinas operacionais; executar a configuração da plataforma; gerenciar a manutenção das linhas fixas (abrir chamado junto à empresa de telefonia, se necessário); coordenar as atividades de controle, instalação, adequação, monitoração e análise do desempenho dos equipamentos de telefonia utilizados pelos usuários finais e dos programas e sistemas básicos que controlam seu funcionamento; manter base de dados contendo registro dos problemas e erros ocorridos nos programas e equipamentos, bem como das medidas tomadas para sua solução, documentando, em relatório estatístico, o tipo de atendimento efetuado; providenciar e analisar relatórios de atendimentos para apresentar propostas de soluções compatíveis, prevenindo e corrigindo eventuais falhas; atender às solicitações, devidamente autorizadas, para instalação de ramais e aparelhos; realizar, diretamente ou por intermédio de terceiros, a manutenção dos recursos de telefonia e comunicação; controlar a movimentação e o estado de conservação dos equipamentos de telefonia e comunicação; gerir o(s) contrato(s) com a empresa de telefonia e os contratos de manutenção preventiva e corretiva dos recursos de telefonia e comunicação; controlar a agenda telefônica digital; atualizar a lista de ramais do site do Legislativo; elaborar relatórios por meio do sistema de tarifação telefônica; desempenhar outras funções regulamentares que lhe forem atribuídas pela Coordenadoria da Divisão.



                                                                                                                                                Art. 65. À Seção de Controle do Uso e da Manutenção de Veículos, diretamente subordinada à Divisão de Administração, compete: zelar pela manutenção, conservação e recuperação dos veículos do Poder Legislativo, responsabilizando-se, também, pela regularidade da documentação dos mesmos; manter sistema de controle mensal do uso e da manutenção dos veículos, através de planilhas próprias; promover a lavratura de termos de ocorrência e, quando necessário, solicitar a abertura de procedimentos destinados a apurar responsabilidades quanto ao uso irregular e indevido dos veículos e danos eventualmente provocados nos mesmos, por parte de seus condutores ou usuários; organizar a escala dos motoristas, bem como plano de atendimento das atividades a serem executadas; executar, em geral, os demais atos e medidas relacionados com suas finalidades, inclusive quanto ao preparo de expedientes próprios; promover a identificação dos veículos do Poder Legislativo, nos termos da legislação pertinente; desempenhar outras funções correlatas que lhe forem atribuídas pela Coordenadoria da Divisão.



                                                                                                                                                Art. 66. À Seção de Manutenção Predial e Jardinagem, diretamente subordinada à Divisão de Administração, compete: zelar pela manutenção, conservação e recuperação das instalações prediais do Poder Legislativo, incluindo sistemas elétricos, hidráulicos, sanitários, de climatização e demais estruturas físicas; planejar e executar atividades de jardinagem e paisagismo, assegurando o cuidado e a manutenção das áreas verdes e jardins; supervisionar e realizar reparos e serviços de manutenção corretiva e preventiva em bens e equipamentos instalados no prédio do Poder Legislativo; elaborar cronogramas de manutenção preventiva para garantir a funcionalidade e segurança das instalações prediais; acompanhar serviços de manutenção e reparos realizados por empresas terceirizadas, fiscalizando o cumprimento dos contratos e padrões de qualidade; manter registros atualizados dos serviços realizados, materiais utilizados e demandas de manutenção; promover a limpeza e organização das áreas externas e verdes, cuidando do manejo adequado de resíduos provenientes das atividades de jardinagem; realizar inspeções periódicas para identificar necessidades de manutenção e reparos, tomando providências para sua execução; desempenhar outras funções correlatas que lhe forem atribuídas pela Coordenadoria da Divisão.



                                                                                                                                                Art. 67. Ao Serviço de Almoxarifado, diretamente subordinado à Divisão de Administração, compete: cumprir e fazer cumprir as determinações regulamentares emanadas da Coordenadoria da Divisão; receber, conferir e atestar o material entregue pelos fornecedores, e aqueles devolvidos ao estoque; acompanhar e fiscalizar o prazo de fornecimento do material adquirido, comunicando eventuais atrasos ao responsável técnico do contrato, para as providências cabíveis; manter rigoroso controle do material sob sua guarda, registrando todas as entradas e saídas, de forma que se possa, a qualquer momento, proceder ao inventário dos bens em estoque; zelar pela perfeita conservação do material sob sua guarda, promovendo sua estocagem, observadas as várias classificações, bem como sugerir a destinação do material que se tenha tornado inservível; contabilizar as entradas e as saídas dos bens de consumo; elaborar inventário anual do material em estoque; evitar a saída de material desacompanhado de documentação; executar, em geral, os demais atos e medidas relacionados com as suas finalidades; desempenhar outras funções correlatas que lhe forem atribuídas pela Coordenadoria da Divisão.



                                                                                                                                                Art. 68. À Divisão de Recursos Humanos compete cumprir e fazer cumprir as determinações regulamentares emanadas da Diretoria Administrativa; manter atualizados os documentos dos servidores nas respectivas pastas funcionais; elaborar os atos relativos à admissão, readmissão, aproveitamento, posse, exercício, progressão funcional, afastamento, remoção, transferência, substituição, exoneração e demissão do pessoal; verificar, no momento da admissão de pessoal, a regularidade dos documentos apresentados; orientar os servidores da Câmara Municipal sobre atos ou normas de pessoal baixados pela Mesa Executiva; elaborar e supervisionar o registro de frequência dos servidores, de acordo com o sistema de cartão-ponto, bem como manter o controle e verificação do uso do relógio de ponto; organizar a escala de férias dos servidores, respeitando os períodos de recesso legislativo, sempre que possível; instruir e informar os processos administrativos relacionados a pessoal, quando solicitado; emitir certidões referentes a assentamentos funcionais dos servidores; elaborar instruções e programas de concursos públicos para provimento de cargos na Câmara e manter o arquivo organizado dos concursos realizados; supervisionar a remessa de informações ao Tribunal de Contas do Estado relacionadas ao pessoal, através de sistema próprio daquele órgão; desempenhar outras funções relacionadas à gestão de pessoal, conforme orientação da Diretoria Administrativa.



                                                                                                                                                Art. 69. Ao Serviço de Folha de Pagamentos, subordinado à Divisão de Recursos Humanos, compete: cumprir e fazer cumprir as determinações regulamentares emanadas da Coordenadoria da Divisão; manter cadastro dos servidores da Casa, bem como dos Vereadores; lançar no sistema próprio os atos relativos à admissão, readmissão, aproveitamento, posse, exercício, remoção, transferência, substituição, exoneração e demissão do pessoal, etc.; atribuir número de matrícula e expedir carteira de identidade funcional aos servidores, bem como aos Vereadores; elaborar as folhas de pagamento, mensalmente, dos servidores da Casa, bem como a respectiva ficha financeira; elaborar as folhas de subsídios dos Vereadores, bem como a respectiva ficha financeira; efetuar e controlar o desconto das consignações nas folhas de pagamento, quando devidamente autorizado; preparar e conferir os documentos de informações fiscais, encaminhando-os aos órgãos competentes; fornecer informações pertinentes a sua área de atuação, exceto em casos de sigilo, hipótese em que o pedido será submetido à autoridade competente; executar, em geral, os demais atos e medidas relacionados com suas finalidades, inclusive quanto ao preparo de expediente próprio; desempenhar outras funções que lhe forem regularmente atribuídas pela Coordenadoria da Divisão.



                                                                                                                                                Art. 70. À Divisão de Licitações e Compras compete cumprir e fazer cumprir as determinações regulamentares emanadas da Diretoria Administrativa; elaborar os instrumentos convocatórios das licitações; instruir os processos licitatórios; prestar apoio administrativo à Comissão Permanente de Licitações e ao Pregoeiro e Equipe de Apoio; realizar as compras de materiais e a contratação de serviços que dispensam licitações; aprimorar o planejamento, a execução e o controle das atividades de sua competência; acompanhar e registrar os preços praticados em relação a materiais e serviços; elaborar as justificativas legais nos casos de dispensa e inexigibilidade de licitação; elaborar as minutas dos instrumentos contratuais e seus aditamentos; organizar os diplomas legais e normas aplicáveis a licitações e compras; cadastrar os fornecedores de bens e materiais e de prestadores de serviços; desempenhar outras funções que lhe forem atribuídas pela Diretoria Administrativa.



                                                                                                                                                DIRETORIA FINANCEIRA



                                                                                                                                                Art. 71. A Diretoria Financeira, vinculada ao Diretor Geral, é responsável pela gestão das atividades financeiras da Casa, competindo-lhe: coordenar o planejamento orçamentário, supervisionar receitas e despesas, liderar e dirigir a equipe financeira, promovendo sua capacitação e otimização dos processos; assegurar a conformidade legal e a eficiência no uso de recursos; elaborar relatórios financeiros para subsidiar decisões estratégicas.



                                                                                                                                                Art. 72. O Diretor Financeiro tem como atribuições dirigir e supervisionar a gestão estratégica de todas as atividades financeiras da Câmara Municipal, incluindo o planejamento orçamentário, a execução de receitas e despesas, a contabilidade e o controle financeiro; estabelecer as metas e diretrizes de trabalho da área; supervisionar a Divisão de Finanças, Orçamento e Contabilidade e sua equipe; representar a Diretoria Financeira perante a Diretoria Geral, Presidência e órgãos externos; revisar as ações, atos, relatórios e procedimentos administrativos e operacionais dos setores de finanças, tesouraria e contabilidade; supervisionar, acompanhar e analisar a execução do Plano Plurianual, Lei de Diretrizes Orçamentárias e Lei Orçamentária Anual; acompanhar o cumprimento de prazos da área fiscal, previstos em lei, para a elaboração de relatórios e envio de documentação aos órgãos de controle e de tributação; observar e fazer cumprir as disposições do Tribunal de Contas do Estado do Paraná, no tocante à contabilidade pública e finanças, suas normas e medidas; acompanhar as atividades funcionais e os processos de trabalho dos servidores do departamento e dos setores, oferecendo suporte, controlando as ações e os requisitos funcionais para o exercício de cargo, além de manifestação sobre desempenho, inclusive durante o estágio probatório; articular, com a Diretoria Geral da Câmara, a designação de apoio técnico e operacional para as atividades da área financeira; indicar à Diretoria Geral da Câmara melhorias e inovações para a área financeira.

                                                                                                                                                Parágrafo único. O ocupante do cargo de Diretor Financeiro deverá possuir habilitação em curso superior de graduação em Ciências Contábeis e registro profissional no Conselho Regional de Contabilidade.



                                                                                                                                                Art. 73. À Divisão de Finanças, Orçamento e Contabilidade compete cumprir e fazer cumprir as determinações regulamentares emanadas da Diretoria Financeira; efetuar o controle contábil, mediante escrituração dos atos e fatos referentes a seu patrimônio, variação das dotações orçamentárias, despesas e todos os demais atos sujeitos à contabilização; proceder aos lançamentos contábeis da documentação, em conformidade com o plano de contabilidade previamente aprovado; elaborar, com os elementos fornecidos pelas Diretorias, a proposta orçamentária da Câmara Municipal de Maringá a ser encaminhada ao Executivo Municipal, no prazo previsto em lei; elaborar, mensalmente, balancetes e demonstrativos; elaborar, mensalmente, o balancete financeiro a ser encaminhado ao Tribunal de Contas do Estado; elaborar a prestação de contas a ser encaminhada ao Executivo Municipal para posterior envio ao TCE, anualmente, com todos os documentos exigidos, dentro dos prazos legais; manter controle sobre o saldo das dotações orçamentárias, consignações ou subconsignações; atestar a identidade entre a fatura e a nota fiscal de fornecedores, referentes a aquisições feitas pela Divisão de Administração; elaborar o empenho prévio das despesas e ordens de pagamento; organizar as prestações de contas, bem como a documentação necessária à comprovação das despesas da Câmara Municipal; fornecer elementos para a abertura de créditos adicionais; emitir parecer, quando solicitado pela Mesa Executiva, sobre a proposta do Orçamento-Programa do Município e do Plano Plurianual de Investimentos e outros de natureza orçamentária; emitir parecer, quando solicitado, sobre a prestação de contas do Município, após o Parecer Prévio ou Acórdão do Tribunal de Contas do Estado; desempenhar outras funções que lhe forem atribuídas pela Diretoria Financeira.



                                                                                                                                                Art. 74. À Seção de Finanças, Orçamento e Contabilidade, diretamente subordinada à Divisão de Finanças, Orçamento e Contabilidade, compete: cumprir e fazer cumprir as determinações regulamentares emanadas da Coordenadoria da Divisão; efetuar o controle contábil, mediante escrituração dos atos e fatos referentes a seu patrimônio, variação das dotações orçamentárias, despesas e todos os demais atos sujeitos à contabilização; proceder aos lançamentos contábeis da documentação, em conformidade com o plano de contabilidade previamente aprovado; elaborar, com os elementos fornecidos pelas Divisões, a proposta orçamentária da Câmara Municipal de Maringá a ser encaminhada ao Executivo Municipal, no prazo previsto em lei; elaborar, mensalmente, balancetes e demonstrativos; elaborar, mensalmente, o balancete financeiro a ser encaminhado ao Tribunal de Contas do Estado; elaborar a prestação de contas a ser encaminhada ao Executivo Municipal para posterior envio ao TCE, anualmente, com todos os documentos exigidos, dentro dos prazos legais; manter controle sobre o saldo das dotações orçamentárias, consignações ou subconsignações; atestar a identidade entre a fatura e a nota fiscal de fornecedores, referentes a aquisições feitas pela Seção de Licitações e Compras; elaborar o empenho prévio das despesas e ordens de pagamento; efetuar conta corrente atualizada dos devedores temporários da Câmara Municipal, por adiantamentos concedidos, através de Portaria, para pequenas despesas, de modo a assegurar com exatidão os adiantamentos de cada servidor ou Vereador; organizar as prestações de contas, bem como a documentação necessária à comprovação das despesas da Câmara Municipal; fornecer elementos para a abertura de créditos adicionais;  emitir parecer, quando solicitado pela Mesa Executiva,  sobre  a  proposta  do  Orçamento-Programa  do  Município e do Plano Plurianual de Investimentos e outros de natureza orçamentária; emitir parecer, quando solicitado, sobre a prestação de contas do Município, após o Parecer Prévio ou Acórdão do Tribunal de Contas do Estado; desempenhar outras funções que lhe forem regularmente atribuídas pela Coordenadoria da Divisão de Finanças, Orçamento e Contabilidade.



                                                                                                                                                Art. 75. Ao Serviço de Tesouraria, diretamente subordinado à Divisão de Finanças, Orçamento e Contabilidade, compete: cumprir e fazer cumprir as determinações regulamentares emanadas da Coordenadoria da Divisão; registrar o recebimento, quando autorizado, do duodécimo da Câmara Municipal; efetuar o pagamento de despesas, quando regularmente processadas e autorizadas; manter registro do movimento referente às entradas e saídas de numerário; remeter, à Seção de Finanças, Orçamento e Contabilidade, uma via dos registros efetuados, juntamente com a documentação da despesa, quando paga; efetuar entrega, mediante recibo, de numerário, quando devidamente autorizada; efetuar depósitos e retiradas bancárias dos valores em poder da Câmara Municipal; manter registro de procurações para fins de pagamento; manter controle bancário, com a conferência mensal dos extratos bancários; desempenhar outras funções correlatas que lhe forem atribuídas pela Coordenadoria da Divisão.



                                                                                                                                                Art. 76. Ao Serviço de Patrimônio, diretamente subordinado à Divisão de Finanças, Orçamento e Contabilidade, compete: cumprir e fazer cumprir as determinações regulamentares emanadas da Coordenadoria da Divisão; executar as tarefas pertinentes ao recebimento, aceitação, guarda, distribuição, conservação, registro e controle dos bens patrimoniais da Câmara Municipal de Maringá; promover a identificação de cada peça de bem móvel através de marcação constante de ordem numérica, que deverá corresponder ao registro geral em todas as suas características; proceder regularmente à verificação dos móveis, utensílios e maquinários, quanto à sua permanência nos órgãos para os quais estiverem carregados, corrigindo as irregularidades encontradas; proceder regularmente à verificação do estado de conservação, funcionamento e utilização dos móveis, máquinas e utensílios do Legislativo, providenciando, de imediato, perante a Diretoria Administrativa, as medidas que se fizerem necessárias para reparações ou substituições; elaborar, anualmente, uma relação detalhada dos bens patrimoniais do Legislativo, para ser encaminhada ao Tribunal de Contas do Estado, juntamente com a prestação de contas; zelar pela guarda e conservação do patrimônio do Legislativo, alertando, de imediato, a Diretoria Geral quando constatados fatos que ponham em risco sua integridade; manter rigorosamente atualizadas as fichas cadastrais do material permanente; propor à Diretoria Geral a alienação ou doação de bens patrimoniais da Casa; executar, em geral, os demais atos e medidas relacionados com as suas finalidades; desempenhar outras funções correlatas que lhe forem atribuídas pela Coordenadoria da Divisão.



                                                                                                                                                DISPOSIÇÕES GERAIS



                                                                                                                                                Art. 77. Além das disposições já enunciadas, são obrigações comuns aos Diretores: coordenar a escala de férias dos servidores lotados na respectiva unidade; comunicar à Divisão responsável por tal controle a efetividade dos servidores; providenciar a requisição de materiais, equipamentos e utensílios necessários ao regular funcionamento da repartição; elaborar relatório anual das atividades, sempre que requisitado.



                                                                                                                                                Art. 78. Compete aos Coordenadores de Divisão, em caráter geral: dirigir, orientar e fiscalizar as atividades desenvolvidas pelos respectivos órgãos, bem como pelas seções e serviços que lhes são subordinados; proceder a estudos e sugerir medidas que visem ao aprimoramento dos trabalhos atinentes às unidades que dirigem; requisitar do serviço de almoxarifado o material necessário ao trabalho do órgão que dirige; zelar pela conservação dos bens patrimoniais da Câmara Municipal sob sua responsabilidade; despachar com a diretoria hierarquicamente superior; elaborar relatórios mensais e anuais das atividades desenvolvidas pelos órgãos que dirigem; encaminhar os elementos necessários à elaboração da proposta orçamentária, com relação ao órgão que dirige, para a Diretoria Financeira; dar informações em processos legislativos, quando solicitado; julgar justificadas ou não as faltas ao trabalho dos servidores, podendo abonar até três (03) por mês, quando se tratar de atraso na entrada ou saída do expediente; executar outras tarefas que lhe sejam regularmente atribuídas.



                                                                                                                                                Art. 79. Compete aos Coordenadores de Seção, em caráter geral, cumprir e fazer cumprir as determinações superiores e as disposições referentes à unidade, desempenhando as atribuições que lhe são conferidas; supervisionar os trabalhos da unidade, dirigindo e coordenando as atividades desenvolvidas, bem como estabelecendo os devidos controles sobre a eficiência dos aspectos operacionais relativos à execução das tarefas e à eficácia dos resultados do trabalho geral da Seção, tendo em vista, sempre, a consecução dos seus objetivos, representados pelo conjunto de suas funções.



                                                                                                                                                Art. 80. As disposições contrárias ficam revogadas.

                                                                                                                                                 

                                                                                                                                                Alteração feita pelo Artigo - Lei Ordinária nº 11.910, de 06 de janeiro de 2025.

                                                                                                                                                   

                                                                                                                                                  REGULAMENTO DOS ÓRGÃOS, DOS CARGOS DE PROVIMENTO EM
                                                                                                                                                  COMISSÃO E DAS FUNÇÕES GRATIFICADAS DA CÂMARA MUNICIPAL DE
                                                                                                                                                  MARINGÁ

                                                                                                                                                   

                                                                                                                                                  Art. 1.º Este Regulamento estabelece as funções e atribuições dos órgãos administrativos, dos cargos de provimento em comissão e das funções gratificadas da Câmara Municipal de Maringá.

                                                                                                                                                  Art. 2.º Os cargos de provimento em comissão e as funções gratificadas da Câmara Municipal de Maringá, observadas as disposições deste Regulamento, são de livre nomeação e exoneração do Presidente da Câmara e se destinam às atividades de direção, chefia e assessoramento do Poder Legislativo.
                                                                                                                                                  § 1.º
                                                                                                                                                  Para atender aos interesses do Legislativo, o horário de trabalho dos ocupantes de cargos de provimento em comissão poderá ser flexibilizado, para ajustar-se às necessidades dos seus vários organismos, mediante prévia decisão do Presidente da Casa, respeitada a carga horária de trabalho de 6 (seis) horas diárias e 30 (trinta) horas semanais.
                                                                                                                                                  § 2.º
                                                                                                                                                  Além das atribuições específicas de cada um, são obrigações comuns a todos os ocupantes de cargos ou funções: observar e fazer observar no âmbito da repartição e no exercício do múnus público os direitos e deveres inerentes
                                                                                                                                                  ao cargo ou função; utilizar, operar e administrar diligentemente os serviços, móveis
                                                                                                                                                  e equipamentos da repartição; desempenhar outras atividades-meio necessárias ao
                                                                                                                                                  cumprimento de suas atribuições, bem assim outras que lhes forem regularmente
                                                                                                                                                  atribuídas pela autoridade responsável, relacionadas ao exercício do mandato
                                                                                                                                                  parlamentar e aos objetivos institucionais do Legislativo.

                                                                                                                                                  Art. 3.º São órgãos administrativos da Câmara Municipal de Maringá:
                                                                                                                                                  1. Mesa Executiva;
                                                                                                                                                  2. Gabinete da Presidência;
                                                                                                                                                  3. Gabinete da Primeira Secretaria;
                                                                                                                                                  4. Gabinetes dos Vereadores;
                                                                                                                                                  5. Gabinete da Procuradoria da Mulher;
                                                                                                                                                  6. Gabinete da Ouvidoria Parlamentar;
                                                                                                                                                  7. Diretoria de Comunicação Social;
                                                                                                                                                  8. Coordenadoria de Comunicação Institucional;
                                                                                                                                                  9. Coordenadoria de Comunicação Digital;
                                                                                                                                                  10. Procuradoria Jurídica;
                                                                                                                                                  11. Diretoria de Compliance e Controle Interno;
                                                                                                                                                  12. Diretoria Geral;
                                                                                                                                                  13. Diretoria Executiva;
                                                                                                                                                  14. Divisão de Tecnologia da Informação;
                                                                                                                                                  15. Diretoria Legislativa;
                                                                                                                                                  16. Divisão de Assistência Legislativa;
                                                                                                                                                  17. Divisão de Acompanhamento e Execução das Leis e Projetos Especiais;
                                                                                                                                                  18. Núcleo de Assessoramento Técnico Superior;
                                                                                                                                                  19. Diretoria Administrativa;
                                                                                                                                                  20. Divisão de Administração;
                                                                                                                                                  21. Divisão de Recursos Humanos;
                                                                                                                                                  22. Divisão de Licitações e Compras;
                                                                                                                                                  23. Diretoria Financeira;
                                                                                                                                                  24. Divisão de Finanças, Orçamento e Contabilidade.

                                                                                                                                                   

                                                                                                                                                  MESA EXECUTIVA

                                                                                                                                                   

                                                                                                                                                  Art. 4.º A Mesa Executiva tem a composição determinada pela Lei Orgânica do Município e pelo Regimento Interno da Câmara.

                                                                                                                                                  Art. 5.º As atribuições da Mesa Executiva da Câmara Municipal são as definidas na Lei Orgânica do Município, no Regimento Interno e na legislação que disciplina a estruturação orgânico-administrativa da Casa.

                                                                                                                                                  Art. 6.º O Presidente é o representante da Câmara, judicial ou extrajudicialmente, competindo-lhe dirigir seus trabalhos legislativos e serviços administrativos, bem como fiscalizar sua ordem e disciplina.

                                                                                                                                                  Art. 7.º Compete ao Primeiro Secretário, sob a orientação do Presidente, superintender os serviços administrativos da Casa.

                                                                                                                                                   

                                                                                                                                                  GABINETE DA PRESIDÊNCIA

                                                                                                                                                   

                                                                                                                                                  Art. 8.º Ao Gabinete da Presidência, dirigido por ele próprio, com auxílio de seu Chefe de Gabinete e demais componentes do seu staff político-administrativo, compete a assistência e o encaminhamento dos assuntos do interesse da Presidência; organizar e dirigir a realização das audiências; a expedição e a recepção das correspondências do gabinete e o desempenho das demais funções burocráticas, a critério da Presidência, e as funções de representação do Poder Legislativo e de Administração da Casa.

                                                                                                                                                  Art. 9.º O Chefe de Gabinete da Presidência tem como atribuições, em síntese: a direção, orientação, controle, promoção e fiscalização das atividades inerentes ao Gabinete da Presidência; a manutenção do controle dos expedientes em tramitação no Gabinete; o recebimento, a distribuição e o encaminhamento de correspondência, ordens de serviços e demais trabalhos para execução; a supervisão da devida ordem no arquivo da Presidência; o encaminhamento ao protocolo, para distribuição, da documentação devidamente despachada; a recepção de autoridades e demais convidados e respectiva condução ao Presidente, sobretudo quando da realização de atos solenes.

                                                                                                                                                  Art. 10. O Assessor de Gabinete da Presidência tem como atribuições: prestar assessoramento direto ao Presidente da Câmara Municipal em temas estratégicos ou políticos, contribuindo com a análise e preparação de informações relevantes; representar o Presidente em reuniões e eventos, quando solicitado; elaborar relatórios, pareceres, notas técnicas e ofícios voltados para questões institucionais ou políticas, a partir das demandas apresentadas pelo Presidente; manter interlocução com órgãos externos, lideranças políticas e sociais, buscando subsidiar o Presidente com informações e posicionamentos estratégicos; apoiar na preparação de discursos, notas públicas e posicionamentos institucionais, de acordo com as orientações do Presidente; registrar e encaminhar para divulgação os atos de interesse do gabinete; auxiliar na organização e no acompanhamento das pautas e deliberações da Mesa Executiva, subsidiando o Presidente com informações relevantes para a tomada de decisões; sugerir encaminhamentos e pautas de interesse do mandato e relacionados à atuação da Presidência; revisar a documentação que requer a assinatura do Presidente, fornecendo orientações sobre precedentes e rotinas estabelecidas; auxiliar na organização e planejamento das agendas do Presidente, incluindo reuniões, audiências e compromissos oficiais; executar outras atividades que lhe sejam atribuídas pelo Presidente, desde que estejam relacionadas ao cargo.

                                                                                                                                                   

                                                                                                                                                  GABINETE DA PRIMEIRA SECRETARIA

                                                                                                                                                   

                                                                                                                                                  Art. 11. O Gabinete da Primeira Secretaria tem as atribuições determinadas pela Lei Orgânica e pelo Regimento Interno da Casa, destacando-se a superintendência dos serviços administrativos da Casa, sob a orientação do Presidente.

                                                                                                                                                  Art. 12. O Assessor de Gabinete da Primeira Secretaria tem como atribuições: a direção, orientação, controle, promoção e fiscalização das atividades inerentes ao Gabinete do Primeiro Secretário; a manutenção do controle dos expedientes em tramitação no Gabinete; o recebimento, a distribuição e o encaminhamento de correspondências, ordens de serviços e demais trabalhos para execução; a supervisão da devida ordem no arquivo geral da Primeira Secretaria; o encaminhamento ao protocolo, para distribuição, da documentação devidamente despachada; a recepção de autoridades e demais convidados e respectiva condução ao Primeiro Secretário, sobretudo quando da realização de atos solenes; assessorar o Primeiro Secretário nas ações de superintendência dos serviços administrativos da Casa, cumprindo a programação de trabalho estabelecida; diligenciar o andamento dos projetos, indicações e requerimentos nas comissões, com vistas a manter o Primeiro Secretário apto a responder a consultas relativas à composição da Ordem do Dia das sessões; diligenciar informações sobre ações e medidas com vistas a manter o Primeiro Secretário apto a discutir e analisar o andamento administrativo da Casa; organizar e dirigir as audiências; auxiliar, assistir e encaminhar os assuntos gerais de interesse do Gabinete; analisar a documentação destinada à assinatura do Primeiro Secretário, orientando-o sobre os precedentes e rotinas estabelecidas; manter controle dos expedientes, papéis e demais documentos em tramitação no Gabinete; realizar os serviços pertinentes à Primeira Secretaria, à agenda e ao atendimento ao público; sugerir pronunciamentos sobre matérias em tramitação no Legislativo ou sobre acontecimentos que afetem a vida da comunidade; encaminhar demandas e retornar aos cidadãos as medidas resolutivas ou respostas a suas solicitações; agendar e organizar reuniões e debates e assessorar o Primeiro Secretário em suas relações institucionais com os demais órgãos da Câmara Municipal e no relacionamento político-administrativo com os munícipes, órgãos e entidades públicas e privadas, associações de classe, entidades, organismos estaduais e federais; realizar contatos com autoridades públicas; representar o Primeiro Secretário em reuniões e eventos, sempre que assim determinado pelo mesmo; sugerir encaminhamentos e pautas políticas; o registro e encaminhamento, para divulgação, dos atos do titular do Gabinete; executar tarefas correlatas.

                                                                                                                                                   

                                                                                                                                                  GABINETES DOS VEREADORES

                                                                                                                                                   

                                                                                                                                                  Art. 13. Aos Gabinetes dos Vereadores, dirigidos por eles próprios, com auxílio de seus Chefes de Gabinete e demais assessores, compete o auxílio, a assistência e o encaminhamento dos assuntos gerais de interesse dos gabinetes; a organização e a direção das audiências dos Vereadores; a preparação e a expedição das correspondências; o registro e o encaminhamento, para divulgação, dos atos do titular do gabinete; a elaboração de proposições de iniciativa dos Vereadores, com as respectivas justificativas; e o desempenho de outros serviços burocráticos, a critério dos Vereadores, e das demais atividades correlatas.

                                                                                                                                                  Art. 14. São atribuições do Chefe de Gabinete: desempenhar funções internas e externas; prestar assessoramento e aconselhamento ao Vereador junto ao qual exerce as atribuições de seu cargo; realizar estudos e pesquisas para subsidiar assessoramento no exame de proposições e expedientes em geral que passem pela apreciação do Vereador; efetuar e elaborar trabalhos relacionados com o serviço e a assistência às bases, de interesse do Vereador; sugerir assuntos e temas para pronunciamento do Vereador; exercer atividades de divulgação dos trabalhos realizados e relações públicas do Vereador; controlar a assiduidade e frequência ao trabalho dos assessores lotados no respectivo gabinete, bem como as atividades por eles realizadas; supervisionar, coordenar e controlar as atividades diárias do gabinete, promovendo o ajuste das atividades ao plano de ações, atividades e programas.

                                                                                                                                                  Art. 15. São atribuições do Assessor Parlamentar: desempenhar funções internas e externas, segundo diretrizes e orientação superior; executar trabalhos de redação e resumo de acompanhamento de reuniões e comissões; auxiliar na realização de pesquisas, estudos e elaboração de informações de interesse do gabinete; verificar e acompanhar a tramitação de assuntos junto a repartições públicas e órgãos da Câmara; responsabilizar-se pelo recebimento e encaminhamento de pareceres de comissões que o parlamentar integre; colaborar na organização de audiências públicas ou reuniões que devam ser promovidas pelo Vereador; elaborar os projetos de lei de iniciativa do Vereador e as respectivas justificativas.

                                                                                                                                                  Art. 16. São atribuições do Assessor de Gabinete: desempenhar funções internas e externas, segundo diretrizes e orientação superior; efetuar serviços de recepção, redação, digitação, organização de arquivos e catalogação dos pedidos de informações e respectivas respostas; controlar prazos e diligenciar respostas às proposições, indicações e pedidos do Vereador; colaborar na agenda política do parlamentar; manter arquivo de documentos e papéis em caráter particular endereçados ao Vereador; expedir convites e anotar todas as providências necessárias ao assessoramento do parlamentar; promover o registro de nome e endereço completo de autoridades, lideranças e cidadãos de interesse do Vereador.

                                                                                                                                                  Art. 17. Os ocupantes dos cargos a que se referem os artigos 14 a 16 deverão, preferencialmente, possuir o seguinte nível mínimo de escolaridade:

                                                                                                                                                  I – Chefe de Gabinete: ensino superior;

                                                                                                                                                  II – Assessor Parlamentar: ensino médio;

                                                                                                                                                  III – Assessor de Gabinete: ensino médio.

                                                                                                                                                  Art. 18. O controle da assiduidade, da frequência ao trabalho e do cumprimento da jornada laboral dos assessores lotados no respectivo gabinete, bem como das atividades por eles realizadas, será exercido pelo Chefe de Gabinete, sob a supervisão do Vereador.

                                                                                                                                                  Parágrafo único. O controle de que trata o caput referente ao Chefe de Gabinete será exercido direta e exclusivamente pelo Vereador.

                                                                                                                                                  Art. 19. As atividades externas realizadas pelos assessores lotados no respectivo gabinete deverão ser controladas por meio de apresentação de justificativa própria, contendo data, horário, local, tempo de permanência e assunto tratado, que deverá ser validada pelo Chefe de Gabinete e entregue ao setor de recursos humanos, com a anuência do Vereador, no prazo de até 3 (três) dias úteis da ocorrência, para fins de justificação de ausência do servidor do local de trabalho.

                                                                                                                                                  Art. 20. Todas as atividades do gabinete serão de responsabilidade exclusiva do Vereador, inclusive aquelas realizadas em expediente externo, observadas as disposições legais.

                                                                                                                                                   

                                                                                                                                                  GABINETE DA PROCURADORIA DA MULHER

                                                                                                                                                   

                                                                                                                                                  Art. 21. O Gabinete da Procuradoria da Mulher tem as atribuições determinadas pelo Regimento Interno da Casa, destacando-se a atuação autônoma e independente em benefício da população feminina.

                                                                                                                                                  Art. 22. O Assessor de Gabinete da Procuradoria da Mulher tem como atribuições: cumprir e fazer cumprir as determinações regularmente emanadas do gabinete; propor e implementar ações que estejam alinhadas aos objetivos e ao foco do mandato da Procuradora da Mulher; propor pronunciamentos e discursos sobre matérias em tramitação e eventos relacionados às atribuições da Procuradoria da Mulher; representar a Procuradora da Mulher em atos, eventos e compromissos relacionados às respectivas atribuições, mediante expressa designação da Procuradora; registrar e encaminhar para divulgação os atos de interesse do mandato; acompanhar e assessorar a Procuradora em eventos e atividades externas; acompanhar a execução de programas e campanhas do Executivo Municipal que visem à promoção da igualdade de gênero; realizar estudos e pesquisas para subsidiar a formulação e a proposição de políticas públicas voltadas para as mulheres; facilitar o relacionamento entre a titular da Procuradoria e órgãos da Câmara Municipal, munícipes e entidades públicas e privadas; sugerir encaminhamentos e pautas políticas de interesse do mandato; planejar e dirigir audiências, garantindo que as pautas sejam tratadas de forma eficiente; revisar a documentação que requer a assinatura da Procuradora, fornecendo orientações sobre precedentes e rotinas estabelecidas; planejar e coordenar reuniões e debates, além de assessorar a Procuradora em suas interações institucionais; prestar esclarecimentos e orientações a cidadãos que busquem atendimento na Procuradoria da Mulher; elaborar relatórios detalhados e apresentações sobre as atividades da Procuradoria, destacando conquistas, desafios e propostas; desempenhar outras funções correlatas que lhe forem regularmente atribuídas pela Procuradora da Mulher, desde que estejam relacionadas ao cargo.

                                                                                                                                                   

                                                                                                                                                  GABINETE DA OUVIDORIA PARLAMENTAR

                                                                                                                                                   

                                                                                                                                                  Art. 23. O Gabinete da Ouvidoria Parlamentar tem as atribuições determinadas pela Lei Orgânica e pelo Regimento Interno da Casa, destacando-se o exercício das funções do Ouvidor Parlamentar.

                                                                                                                                                  Art. 24. O Assessor de Gabinete da Ouvidoria Parlamentar tem como atribuições: prestar assessoramento direto ao Ouvidor Parlamentar em assuntos institucionais, administrativos e políticos, subsidiando-o com informações, análises e recomendações estratégicas; sugerir e executar medidas que se alinhem aos objetivos e às diretrizes do mandato; representar o Ouvidor em reuniões e eventos, quando solicitado; auxiliar na elaboração de normas e procedimentos internos, garantindo que estejam alinhados com as diretrizes do gabinete; facilitar a comunicação entre a Ouvidoria e outros órgãos governamentais, promovendo uma atuação colaborativa em questões de interesse do gabinete; avaliar e analisar processos e denúncias, oferecendo recomendações ao titular do gabinete que considerem o contexto legal, jurídico e político envolvido, bem como as repercussões das ações do Ouvidor Parlamentar; registrar e encaminhar para divulgação os atos de interesse do mandato; revisar a documentação que requer a assinatura do Ouvidor, fornecendo orientações sobre precedentes e rotinas estabelecidas; fornecer orientações sobre a condução de casos sob competência da ouvidoria, avaliando aspectos legais, éticos e políticos envolvidos; sugerir encaminhamentos e pautas de interesse do mandato e relacionados à atuação do Ouvidor; elaborar relatórios detalhados sobre as atividades da Ouvidoria Parlamentar, apresentando análises e recomendações ao Ouvidor para a melhoria dos processos internos; supervisionar as atividades do gabinete, assegurando a eficiência na promoção e fiscalização das ações da Ouvidoria; planejar, dirigir e coordenar reuniões e audiências, além de assessorar o Ouvidor em suas interações institucionais; executar outras atividades que lhe sejam atribuídas pelo Ouvidor, desde que estejam relacionadas ao cargo.

                                                                                                                                                   

                                                                                                                                                  DIRETORIA DE COMUNICAÇÃO SOCIAL

                                                                                                                                                   

                                                                                                                                                  Art. 25. A Diretoria de Comunicação Social, vinculada diretamente ao Presidente da Casa, é o órgão responsável pela direção, coordenação e supervisão das atividades de comunicação da Câmara Municipal, integrando as ações de comunicação digital e institucional, com o objetivo de garantir uma gestão estratégica e eficaz da imagem institucional, a transparência e o relacionamento com a sociedade, competindo-lhe, em especial: coordenar as ações e estratégias de comunicação institucional da Câmara Municipal; definir as diretrizes de comunicação tanto para os canais digitais quanto para os tradicionais; garantir a integração e o alinhamento das atividades entre os setores de comunicação digital e comunicação institucional; supervisionar a produção de conteúdo, campanhas e ações de comunicação da Câmara Municipal; promover a transparência das atividades legislativas, aproximando a Casa dos cidadãos; gerir e coordenar a equipe de comunicação, promovendo sua capacitação contínua; monitorar e avaliar os resultados das estratégias de comunicação, ajustando as ações conforme necessário.

                                                                                                                                                  Art. 26. O Diretor de Comunicação Social tem como atribuições: definir, em conjunto com a Presidência, as diretrizes, políticas e estratégias globais de comunicação institucional da Câmara Municipal, alinhando-as aos objetivos da gestão e da Mesa Executiva; supervisionar as atividades dos setores de comunicação institucional e comunicação digital, garantindo que todas as ações de comunicação estejam integradas e coerentes com o planejamento estratégico da Câmara; coordenar as equipes dos dois setores de comunicação, promovendo o desenvolvimento profissional contínuo e a capacitação dos servidores, assegurando que todos os colaboradores compreendam suas responsabilidades e atendam às expectativas de qualidade; representar a Câmara Municipal em eventos, reuniões e outras situações externas de natureza institucional, mantendo e promovendo a imagem pública da Câmara junto à sociedade e à imprensa; tomar decisões estratégicas em situações críticas de comunicação e imagem, incluindo crises de mídia e gestão de controvérsias, garantindo uma comunicação transparente e eficaz; planejar, executar e monitorar o orçamento destinado à comunicação social, assegurando a utilização eficiente dos recursos; avaliar periodicamente os resultados das estratégias de comunicação por meio de indicadores de desempenho e relatórios, propondo ajustes ou novos direcionamentos, quando necessário; estimular a inovação no campo da comunicação, buscando novas tecnologias, canais e formas de interação com a população.

                                                                                                                                                  Art. 27. A Coordenadoria de Comunicação Institucional, órgão diretamente vinculado à Diretoria de Comunicação Social, tem como objetivo garantir a presença e a visibilidade da Câmara Municipal nos meios tradicionais de comunicação (impressos, rádio e TV), promovendo a transparência, a credibilidade e o relacionamento com o público, competindo-lhe, em especial: produzir e distribuir releases, notas oficiais e comunicados à imprensa local (jornais, rádios, TVs, portais de notícias), garantindo ampla divulgação das atividades da Câmara Municipal; estabelecer e manter o relacionamento com jornalistas e veículos de comunicação, organizando coletivas de imprensa e entrevistas e dando suporte a solicitações de informação; produzir e divulgar materiais impressos, como boletins informativos, folders, cartilhas e materiais institucionais, para distribuir à população e aos veículos de comunicação; desenvolver campanhas de comunicação para reforçar a imagem da Câmara Municipal junto à sociedade, abordando temas como projetos de lei, ações da Mesa Executiva, cidadania, transparência e outros; planejar e coordenar eventos presenciais da Câmara, como audiências públicas, seminários, palestras, conferências e outras ações institucionais, com foco na interação direta com o público; produzir materiais de comunicação institucional para veiculação em rádio e TV, como spots, jingles, anúncios e comerciais, com foco na divulgação das atividades legislativas e ações públicas; trabalhar no fortalecimento da imagem institucional da Câmara Municipal, gerenciando a percepção pública sobre o trabalho legislativo e a transparência das ações.

                                                                                                                                                  Art. 28. O Coordenador de Comunicação Institucional tem como atribuições: coordenar as atividades do setor, supervisionando a produção de conteúdo institucional, materiais impressos e campanhas de comunicação, garantindo que todas as ações estejam alinhadas com as diretrizes estabelecidas pela Diretoria de Comunicação Social; gerenciar a equipe do setor, distribuindo tarefas, monitorando prazos e qualidade do trabalho, garantindo que as entregas sejam feitas de maneira eficiente e conforme os padrões estabelecidos; coordenar a produção de releases, notas à imprensa, artigos e matérias jornalísticas, garantindo que as informações institucionais da Câmara sejam veiculadas corretamente pela mídia local; supervisionar as relações com jornalistas, portais de notícias, rádio e TV, acompanhando entrevistas, coletivas de imprensa e ações de visibilidade para promover as atividades da Câmara; coordenar a organização e a execução de eventos de comunicação da Câmara, como audiências públicas, seminários, palestras e encontros com a sociedade; acompanhar a percepção pública da Câmara Municipal, coordenando ações de fortalecimento e reposicionamento da imagem institucional, em conjunto com a Diretoria de Comunicação Social; avaliar o impacto e a eficácia das campanhas de comunicação institucional, propondo melhorias nos processos e ajustando estratégias conforme necessário.

                                                                                                                                                  Art. 29. À Seção de Cerimonial, diretamente subordinada ao Coordenador de Comunicação Institucional, compete: cumprir e fazer cumprir as determinações regularmente emanadas da Coordenadoria de Comunicação Institucional; executar os serviços de cerimonial em geral, bem assim a recepção de autoridades, convidados e visitantes oficiais; organizar o cerimonial das sessões plenárias; organizar o calendário de eventos da Câmara; elaborar e encaminhar convites para solenidades oficiais do Legislativo; promover as relações sociais entre a Câmara e outros poderes e entidades; manter cadastro atualizado de autoridades, em nível municipal, estadual e federal; elaborar roteiros de atos solenes e de audiências públicas; proceder à divulgação de informações institucionais via internet; executar outras atividades correlatas.

                                                                                                                                                  Art. 30. A Coordenadoria de Comunicação Digital, órgão diretamente vinculado à Diretoria de Comunicação Social, tem como objetivo gerir e promover a presença online da Câmara Municipal, utilizando as ferramentas digitais para informar, engajar e aproximar a população das atividades legislativas, competindolhe, em especial: criar, publicar e monitorar conteúdo nas principais plataformas digitais, interagindo com o público e promovendo a Câmara Municipal; produzir conteúdo multimídia, como vídeos, infográficos, podcasts e newsletters, com foco em engajamento digital e disseminação de informações sobre as atividades da Câmara; manter e atualizar, em conjunto com a Divisão de Tecnologia da Informação, o site oficial da Câmara Municipal, garantindo que ele contenha informações relevantes, atualizadas e de fácil acesso à população; organizar e realizar transmissões ao vivo das sessões plenárias, comissões e eventos institucionais, além de outras iniciativas de engajamento digital; fomentar o diálogo com a população por meio das redes sociais, respondendo dúvidas, recebendo sugestões e promovendo ações de engajamento; planejar e executar campanhas digitais de divulgação sobre projetos, leis, atividades legislativas e eventos da Câmara; e gerar relatórios periódicos sobre o desempenho das ações de comunicação digital, propondo melhorias contínuas.

                                                                                                                                                  Art. 31. O Coordenador de Comunicação Digital tem como atribuições: coordenar as ações do setor, supervisionando a criação de conteúdo digital, campanhas nas redes sociais e demais iniciativas de comunicação online; supervisionar a presença da Câmara Municipal nas plataformas digitais, garantindo que a comunicação esteja alinhada com os objetivos estratégicos da Câmara e atenda às expectativas do público; gerenciar a equipe do setor, distribuindo tarefas, monitorando prazos e qualidade do trabalho, garantindo que as entregas sejam feitas de maneira eficiente e conforme os padrões estabelecidos; acompanhar e analisar métricas de desempenho das plataformas digitais, gerando relatórios sobre os resultados das campanhas digitais e propondo ajustes ou otimizações; coordenar e supervisionar a equipe responsável pelas transmissões ao vivo das sessões plenárias, comissões e outros eventos da Câmara Municipal, garantindo a qualidade técnica e a interação com o público durante os eventos digitais; planejar, coordenar e supervisionar campanhas de marketing digital e outras ações para aumentar o alcance da Câmara nas plataformas digitais.

                                                                                                                                                  Art. 32. À Seção de Audiovisual, diretamente subordinada ao Coordenador de Comunicação Digital, compete: cumprir e fazer cumprir as determinações regularmente emanadas da Coordenadoria de Comunicação Digital; desenvolver as atividades relacionadas à TV Câmara, cooperando para a execução da política de comunicação adotada pelo Poder Legislativo e a observância da legislação pertinente; colaborar na definição de estratégias e ações que visem à ampla divulgação das atividades legislativas, como forma de valorização institucional da Câmara; acompanhar as atividades de planejamento e obtenção dos elementos necessários à produção dos programas, bem como as operações relativas à execução dos programas; acompanhar e informar à respectiva coordenadoria a repercussão da programação veiculada pela TV Câmara junto aos órgãos de imprensa e à população em geral; executar outras atividades correlatas.

                                                                                                                                                   

                                                                                                                                                  PROCURADORIA JURÍDICA

                                                                                                                                                   

                                                                                                                                                  Art. 33. A Procuradoria Jurídica, órgão vinculado diretamente ao Presidente da Casa, tem como atribuições a representação em qualquer foro ou instância da Câmara Municipal, nos feitos de que ela participe; o estudo e as providências alusivas à declaração de inconstitucionalidade; a participação na análise de temas políticos; apreciação de propostas de alteração de entendimentos de natureza jurídica, dos recursos ao Plenário, dos Recursos de Revista e/ou outros questionamentos; a manifestação nas propostas de adoção de precedentes firmados na aplicação do Regimento Interno; a promoção, direta ou indireta, do assessoramento às comissões especiais de estudos, comissões parlamentares de inquérito, comissões processantes, à Presidência, aos organismos da Casa e aos Vereadores.

                                                                                                                                                  Art. 34. O Procurador Jurídico tem como atribuições: a representação em qualquer foro ou instância da Câmara Municipal, nos feitos que ela integre, inclusive em mandado de segurança proposto contra ocupantes de cargos da Mesa; o estudo e as providências alusivas à declaração de inconstitucionalidade; a participação na análise de temas políticos; estudar e minutar contratos, termos de compromisso e responsabilidade, convênios e outros atos; emitir pareceres singulares ou relatar pareceres coletivos; responder a consulta sobre interpretação de textos legais de interesse da Câmara Municipal; apreciação de propostas de alteração de entendimentos de natureza jurídica formulados pelos advogados, dos recursos ao Plenário, dos Recursos de Revista e/ou outros questionamentos; a manifestação nas propostas de adoção de precedentes firmados quanto à aplicação do Regimento Interno; o assessoramento, direto ou indireto, de comissões especiais de estudos, comissões parlamentares de inquérito, comissões processantes, da Presidência, dos organismos da Casa e dos Vereadores; o esclarecimento ao Plenário, à Mesa Executiva, aos Vereadores e aos organismos da Casa das dúvidas remanescentes; a supervisão das atividades da Procuradoria; a manifestação nos relatórios de comissões, audiências públicas, seminários, simpósios e de grupos de trabalho; a composição da escala de férias; dirigir equipes auxiliares no âmbito das atividades próprias do cargo; a execução de atividades correlatas.

                                                                                                                                                  Parágrafo único. O Procurador Jurídico, durante o período da investidura, é exclusivamente legitimado para o exercício da advocacia vinculado às
                                                                                                                                                  atribuições do cargo.

                                                                                                                                                  Art. 35. O Subprocurador Jurídico tem como atribuições: representar a Câmara Municipal de Maringá administrativamente, requerendo ou oficiando em procedimentos de caráter administrativo em que ela for autora, ré, interveniente ou, por qualquer forma, interessada; manter contatos, quando designado pela Presidência, com outros órgãos públicos, federais, estaduais ou municipais, para obtenção de dados relativos às atividades legislativas; executar levantamentos na legislação municipal, federal e estadual, para instruir pareceres a serem exarados pela Procuradoria Jurídica nas matérias em tramitação, ou a pedido da Presidência, dos Vereadores ou de diretores; manifestar-se, sempre que possível, através de pareceres escritos e fundamentados na Constituição Federal, na Constituição do Estado, na Lei Orgânica do Município, no Regimento Interno da Câmara, na legislação vigente, na doutrina e na jurisprudência que regem a matéria; assessorar a Presidência, no desempenho de suas atribuições e funções, nas questões de natureza jurídica; assessorar a Mesa Executiva e seus integrantes, no exercício de suas atribuições regimentais, nas questões de natureza jurídica; assessorar os Vereadores, no exercício de suas atribuições e na defesa de suas prerrogativas, nas questões de natureza jurídica; assessorar as comissões da Câmara Municipal, permanentes ou temporárias, nas questões de natureza jurídica; assessorar o Procurador Jurídico na supervisão das atividades da Procuradoria; exercer outras atividades e tarefas correlatas que forem determinadas pelo superior imediato.

                                                                                                                                                  Parágrafo único. O ocupante do cargo de Subprocurador Jurídico deverá
                                                                                                                                                  possuir graduação em Direito e inscrição ativa no órgão de classe.

                                                                                                                                                   

                                                                                                                                                  DIRETORIA DE COMPLIANCE E CONTROLE INTERNO

                                                                                                                                                   

                                                                                                                                                  Art. 36. À Diretoria de Compliance e Controle interno compete fiscalizar o cumprimento das metas previstas no Plano Plurianual e a execução dos programas orçamentários, no âmbito do Poder Legislativo; acompanhar a gestão contábil, financeira, orçamentária, operacional e patrimonial do Poder Legislativo Municipal, em apoio ao exercício do controle externo do Tribunal de Contas do Estado do Paraná; atuar preventivamente, concomitante e posteriormente aos atos administrativos, visando detectar irregularidades, erros ou falhas, por meio de auditorias comuns, de caráter contínuo, rotineiro e sistemático, previamente programadas, ou em caráter especial ou extraordinário, para apurar denúncias ou suspeitas, segundo os princípios da legalidade, impessoalidade, moralidade, publicidade, razoabilidade, eficiência e economicidade; promover o incremento da transparência na gestão pública; administrar as informações e dados do Portal da Transparência; implantar o programa de integridade, com normas de conduta, procedimentos e ações com o objetivo de prevenir, detectar, sanar, remediar e punir desvios, fraudes, irregularidades e atos ilícitos praticados contra a Administração Pública Municipal; desenvolver treinamentos periódicos sobre o programa de integridade; elaborar e realizar procedimentos específicos para prevenir fraudes e ilícitos no âmbito de processos licitatórios, na execução de contratos administrativos ou em qualquer interação com o Poder Legislativo Municipal, ainda que intermediada por terceiros; elaborar e realizar procedimentos que assegurem a pronta interrupção de irregularidades ou infrações detectadas e a tempestiva remediação dos danos gerados; monitorar continuamente o programa de integridade, visando ao seu aperfeiçoamento na prevenção, detecção e combate à ocorrência dos atos lesivos previstos no artigo 5.º da Lei n. 12.846/2013; coordenar as atividades de auditoria e controle interno do Poder Legislativo Municipal; proceder à análise periódica de riscos para realizar adaptações necessárias ao programa de integridade; implementar, manter e ampliar os canais de denúncia de irregularidades, que deverão ser amplamente divulgados a servidores e terceiros, assegurando-se a existência de mecanismos destinados à proteção de denunciantes de boa-fé; desempenhar todos os atos necessários ao bom e eficaz funcionamento do compliance e do controle interno, visando ao cumprimento de suas finalidades; desempenhar outras atividades que lhe sejam atribuídas pelo Presidente da Câmara Municipal, no âmbito de sua área de atuação.

                                                                                                                                                  Art. 37. O Diretor de Compliance e Controle Internodeverá possuir habilitação em curso superior de graduação, preferencialmente em Administração, Ciências Contábeis, Direito ou Economia.

                                                                                                                                                  Art. 38. O Diretor de Compliance e Controle Interno poderá ocupar o cargo por período de até 2 (dois) anos, permitida uma única recondução, para período subsequente, também por até 2 (dois) anos.

                                                                                                                                                  Art. 39. Não poderá ser designado para o cargo de Diretor de Compliance e Controle Interno quem:

                                                                                                                                                  I – exerça outra atividade profissional;

                                                                                                                                                  II – tenha sofrido apenação administrativa, civil ou penal, transitada em julgado;

                                                                                                                                                  III – realize atividade ou possua vínculos político-partidários.

                                                                                                                                                  Art. 40. Constitui garantia do ocupante do cargo de Diretor de Compliance
                                                                                                                                                  e Controle Interno do Poder Legislativo independência funcional para o desempenho
                                                                                                                                                  das atividades.

                                                                                                                                                  § 1.º Nenhum processo, documento ou informação poderá ser sonegado ao Diretor de Compliance e Controle Interno, no exercício de suas funções, sob pena de responsabilidade.

                                                                                                                                                  § 2.º É assegurada ao Diretor de Compliance e Controle Interno a possibilidade de impugnar, mediante representação, atos sem fundamentação legal.

                                                                                                                                                  Art. 41. Ao Serviço de Gestão de Dados Pessoais, diretamente subordinado à Diretoria de Compliance e Controle Interno, compete: exercer a função de encarregado pelo tratamento de dados pessoais no âmbito do Poder Legislativo, na forma da legislação pertinente; implementar mecanismos de tratamento e proteção dos dados pessoais no âmbito da Câmara Municipal, com vistas a garantir o cumprimento da Lei Geral de Proteção de Dados – LGPD; auxiliar a elaboração da Política de Privacidade e Proteção de Dados Pessoais da Câmara Municipal e as respectivas normas auxiliares, e proceder à sua revisão periódica; acompanhar a implantação e o cumprimento das ações regulamentadoras nos diversos órgãos e setores da Câmara Municipal; avaliar os procedimentos de tratamento e proteção de dados existentes e propor estratégias e metas em observância à LGPD; promover ações de sensibilização e orientação junto ao quadro de pessoal, aos órgãos administrativos e aos contratados da Câmara Municipal sobre a aplicação da política e das normas relacionadas à privacidade e proteção de dados pessoais; analisar os casos de descumprimento das normas referentes à Política de Privacidade e Proteção de Dados Pessoais, instruí-los com base nas normativas pertinentes e notificar os responsáveis; informar aos titulares de dados quanto a eventuais ocorrências de vazamento de dados pessoais; receber reclamações dos titulares de dados pessoais, prestar esclarecimentos e adotar providências necessárias; receber comunicações da Autoridade Nacional de Proteção de Dados (ANPD) bem como de outros órgãos e instituições que tenham poderes para requerer informações sobre o tratamento de dados pessoais e adotar as providências necessárias; articular o intercâmbio de informação sobre a proteção de dados pessoais com outros órgãos públicos; cumprir e fazer cumprir as determinações regulamentares emanadas da Diretoria; desempenhar outras funções correlatas que lhe forem atribuídas.

                                                                                                                                                  DIRETORIA GERAL

                                                                                                                                                   

                                                                                                                                                  Art. 42. A Diretoria Geral, vinculada diretamente ao Presidente da Casa,tem como atribuições: a discussão de temas políticos; auxiliar a Mesa Executiva nadefinição das diretrizes da gestão e nas demais questões de sua competência;proporcionar e garantir os serviços administrativos, legislativos, de apoio e de ação comum à Câmara, Plenário, Mesa Executiva, Presidência, comissões permanentes,comissões temporárias, Ouvidoria Parlamentar, Procuradoria da Mulher, grupos detrabalho, frentes parlamentares, audiências públicas, Vereadores e demaisorganismos; auxiliar na articulação entre o Poder Executivo e o Legislativo Municipal, para consecução de suas finalidades institucionais; conduzir, de acordocom as determinações superiores, o exercício das atividades institucionais da Casae o atendimento público, zelando para que tais procedimentos assegurem o eficientefuncionamento do Legislativo.


                                                                                                                                                  Art. 43. O Diretor Geral tem como atribuições: programar, supervisionar, dirigir, coordenar, orientar e controlar a execução de todos os serviços legislativos eadministrativos da Câmara Municipal; autorizar a expedição e assinar as certidõesrequeridas; assinar os processos de pagamento das despesas da Câmara eencaminhar à Presidência para a competente autorização e pagamento; dar posse atodos os servidores efetivos e comissionados da Câmara Municipal, mediante termoem livro próprio; conhecer de todo expediente oriundo das diretorias; assinar ofícios,atestados, certidões, editais e outros documentos da Câmara Municipal; expedirordens de serviços e demais atos necessários à execução dos trabalhos da CâmaraMunicipal, conforme instruções e decisões da Presidência; julgar justificadas ou não faltas ao serviço dos servidores, de acordo com a legislação vigente; autorizar alotação do pessoal da Câmara Municipal; emitir despachos em processos cujadecisão caiba à autoridade superior; emitir despachos decisórios em processos desua competência; encaminhar à Mesa Executiva, até o dia 30 de janeiro, o relatório anual circunstanciado das atividades desenvolvidas pela Câmara Municipal; propormedidas à Mesa Executiva que visem a facilitar os serviços da Câmara Municipal; apreciar e encaminhar os relatórios mensais e anuais apresentados pelos órgãos da Câmara Municipal e elaborar um relatório geral para a Mesa Executiva e a Presidência; despachar o expediente com o Presidente da Câmara Municipal; promover reuniões com os diretores e coordenadores das divisões, seções e outros setores, para tratar de assuntos relacionados com os serviços da Câmara; comunicar-se com outras repartições públicas, sempre que necessário, para a resolução de assuntos de interesse da Câmara; assinar os cheques em geral, juntamente com o Presidente ou outro membro da Mesa Executiva autorizado; conservar e zelar pelos bens patrimoniais da Câmara Municipal, sob sua responsabilidade e guarda; prestar esclarecimentos em plenário, quando solicitado; assessorar a Mesa Executiva nos atos e decisões de serviços da Câmara Municipal; assessorar a Mesa e os Vereadores em matéria de sua competência; autorizar a prestação de serviços extraordinários por parte dos servidores da Câmara, ouvidos os respectivos superiores; superintender, direta ou indiretamente, a fiscalização da execução dos contratos celebrados pela Câmara Municipal; fixar, por ato administrativo, a escala anual de férias dos servidores, ouvindo os respectivos superiores; encaminhar à Diretoria Financeira, por intermédio da Divisão de Finanças, Orçamento e Contabilidade, a elaboração da proposta orçamentária da Câmara, devidamente aprovada pela Mesa Executiva; desempenhar outras funções correlatas.

                                                                                                                                                  DIRETORIA EXECUTIVA


                                                                                                                                                  Art. 44. A Diretoria Executiva, vinculada diretamente ao Diretor Geral, é o órgão responsável por assessorar o Diretor Geral na supervisão estratégica das unidades subordinadas, alinhando ações aos objetivos institucionais; atuar como elo de comunicação entre o Diretor Geral e as demais unidades administrativas; zelar pela preservação do patrimônio institucional, promovendo medidas de controle e eficiência; garantir a continuidade e qualidade dos serviços administrativos essenciais; fiscalizar a correta aplicação de recursos públicos, em conformidade com a legislação vigente; supervisionar e integrar as atividades das diretorias, divisões e setores subordinados; prestar orientações técnicas e administrativas às unidades sob sua jurisdição; avaliar periodicamente a execução das atividades administrativas, propondo melhorias; dirigir, coordenar e avaliar o desempenho dos servidores sob sua subordinação; promover a capacitação continuada das equipes em sua área de atuação; representar o órgão perante instâncias internas e externas, quando designado pelo Diretor Geral; responder pelas unidades administrativas sob sua responsabilidade; identificar oportunidades de otimização de processos administrativos; elaborar pareceres técnicos e propor inovações em sua área de competência; assegurar o cumprimento de determinações superiores e normas institucionais; implementar políticas e diretrizes estabelecidas pela alta administração; desempenhar outras atribuições afins à natureza do cargo, conforme demandado pela administração.

                                                                                                                                                  Art. 45. O Diretor Executivo tem como atribuições: assessorar o Diretor-Geral no planejamento, coordenação e supervisão das atividades administrativas e operacionais do órgão; substituir o Diretor Geral em suas ausências e impedimentos, quando designado; coordenar, supervisionar e integrar as ações das diretorias, divisões e setores subordinados, assegurando o alinhamento com as diretrizes institucionais; propor melhorias nos processos administrativos, visando à eficiência, economicidade e qualidade dos serviços; zelar pela correta aplicação dos recursos públicos, em conformidade com as normas legais e regulamentares; garantir a preservação e a gestão adequada do patrimônio institucional; orientar e esclarecer dúvidas das unidades administrativas sob sua jurisdição, promovendo a padronização e a otimização de procedimentos; avaliar
                                                                                                                                                  periodicamente a execução das atividades, identificando gargalos e propondo soluções; dirigir, coordenar e avaliar o desempenho dos servidores lotados na Diretoria Executiva e nas unidades vinculadas; promover o desenvolvimento técnico e gerencial das equipes sob sua supervisão; representar o órgão em assuntos administrativos, quando autorizado pelo Diretor Geral; articular-se com outras áreas da administração pública para resolver questões de interesse institucional; assegurar o cumprimento das decisões superiores, das normas internas e da legislação aplicável; implementar políticas, programas e ações determinadas pela alta administração; elaborar pareceres, relatórios e propostas para aprimoramento da gestão administrativa; identificar e implementar boas práticas de gestão pública em sua área de atuação; exercer outras atribuições compatíveis com a natureza do cargo, conforme determinação do Diretor Geral.

                                                                                                                                                  Art. 46. À Divisão de Tecnologia da Informação compete cumprir e fazer cumprir as determinações regulamentares emanadas da Diretoria Executiva; coordenar todo o sistema de processamento de dados da Câmara Municipal; articular com os demais órgãos da Administração a melhor utilização dos equipamentos; programar a execução dos serviços necessários à modernização do sistema; acompanhar a implantação de todos os sistemas programados; apresentar estudos para melhoria do sistema, quando for o caso; adotar sistema de segurança adequado para a guarda dos arquivos, para evitar a sua violação ou qualquer ação que possa prejudicá-los; manter atualizados os dados disponíveis; realizar estudos de viabilidade técnico-econômica sobre a utilização de softwares e equipamentos, emitindo parecer quanto à conveniência de sua aquisição; executar e coordenar a confecção de normas e procedimentos para utilização dos softwares instalados; pesquisar todos os recursos dos equipamentos, proporcionando um suporte técnico e treinamento da equipe da Divisão de Tecnologia da Informação, visando à otimização e racionalização de sistemas em desenvolvimento e produção; sanar as dúvidas de quaisquer setores técnicos, quando solicitado; interagir nas áreas de desenvolvimento e produção, visando detectar problemas e dificuldades e propondo solução no sentido de obter melhor aproveitamento de equipamentos e recursos humanos; proporcionar esquemas de backup’s eficientes, bem como esquemas de recuperação e segurança, em caso de falhas operacionais e sinistros; oferecer treinamento e reciclagem aos servidores usuários do sistema; estabelecer intercâmbios, com órgãos de pesquisa ou detentores de informações, que possam ser de interesse da Câmara Municipal; desempenhar outras funções que lhe forem regularmente atribuídas.

                                                                                                                                                  Art. 47. Compete à Seção de Suporte Técnico, Dados e Manutenção, subordinada diretamente à Divisão de Tecnologia da Informação: prestar suporte técnico aos usuários dos equipamentos de informática; detectar e solucionar falhas nos equipamentos de informática; substituir peças defeituosas dos equipamentos de informática; instalar, nos microcomputadores, sistema operacional ou qualquer outro sistema computacional que não esteja funcionando adequadamente; encaminhar a empresa de assistência técnica competente os equipamentos que necessitarem de reparos que não possam ser realizados no próprio local; executar os serviços de implantação, atualização, supervisão e manutenção da rede do sistema, bancos de dados e arquivos, dentre outros serviços de suporte técnico e de supervisão; preparar dispositivos para cópia de segurança dos dados armazenados nos microcomputadores e “servidores de dados”; proceder à cópia de segurança dos dados armazenados nos “servidores de dados”; manter cadastro atualizado das manutenções realizadas nos equipamentos de informática; desempenhar outras funções correlatas.

                                                                                                                                                   

                                                                                                                                                  DIRETORIA LEGISLATIVA


                                                                                                                                                  Art. 48. A Diretoria Legislativa, vinculada ao Diretor Executivo, tem as atribuições de iniciar, desenvolver e concluir os processos de propostas de emenda à Lei Orgânica, de projetos de leis, decretos legislativos e resoluções para apreciação do Plenário; proporcionar e dirigir os trabalhos de apoio às comissões permanentes, às comissões temporárias e grupos de trabalho administrativos; aprestar substitutivos, emendas, indicações e requerimentos em geral para serem apreciados pelo Plenário; compor a Ordem do Dia das sessões, conforme as instruções do Presidente da Câmara; implementar outras atividades voltadas à regularidade e à eficácia da atividade legislativa.

                                                                                                                                                  Art. 49. O Diretor Legislativo tem as atribuições de participar da análise dos fatos políticos; com o concurso da Divisão de Assistência Legislativa, orientar, coordenar e dirigir a formação, o desenvolvimento e a conclusão dos processos das propostas de leis, decretos legislativos e resoluções; o aprestamento de substitutivos, emendas, requerimentos em geral e indicações, submetendo-os à consideração do Presidente, para integrarem a pauta da Ordem do Dia das sessões; coordenar as funções de apoio às comissões permanentes, às comissões temporárias e grupos de trabalho administrativos, das Seções de Redação e Processo Legislativo, de Comissões Permanentes e Temporárias, de Arquivo e Informações e de Protocolo Geral; cumprir e fazer cumprir as determinações superiores; firmar os documentos expedidos pela Diretoria em favor dos demais organismos da Casa; assessorar o Presidente, a Mesa Executiva, as comissões, os Vereadores, o Diretor Geral e o Diretor Executivo; executar tarefas correlatas.

                                                                                                                                                  Art. 50. À Divisão de Assistência Legislativa compete desempenhar todos os passos do processo legislativo relativos à tramitação de propostas de emendas à Lei Orgânica do Município, de projetos de leis, de resolução e de decreto legislativo; elaborar a redação final dos projetos; controlar os prazos para sanção ou promulgação; manter o arquivo de leis, de emendas à Lei Orgânica do Município, de resoluções e de decretos legislativos com todos os documentos do processo legislativo do ano corrente; formatar o texto final de leis promulgadas, de emendas à Lei Orgânica do Município, de resoluções e de decretos legislativos, encaminhandoos para promulgação ao Diário Oficial, com cópia para o Executivo; controlar o prazo para publicação e conferir o texto de atos legislativos no Diário Oficial do Município; disponibilizar a íntegra de leis, de emendas à Lei Orgânica, de resoluções e de decretos legislativos na internet, com a formatação adequada para visualização; receber vetos aos projetos de leis, encaminhá-los para tramitação e controlar o prazo; manter arquivo auxiliar contendo documentos referentes às comissões, aos conselhos, aos comitês e aos órgãos criados por leis especiais com representação da Câmara (leis, decretos, ofícios e outros) e alimentar o respectivo cadastro no sistema informatizado (com controle de mandatos); apoiar a realização das sessões ordinárias, extraordinárias, solenes, especiais e comemorativas, elaborando as pautas, fornecendo todos os documentos necessários e/ou solicitados em plenário; acompanhar a discussão das matérias, dar encaminhamento e alimentar o sistema informatizado de acordo com o despacho da Mesa; providenciar o controle de frequência dos Vereadores e o respectivo relatório mensal; secretariar as comissões permanentes e temporárias (elaborar ofícios, relatórios, controlar o prazo destas e tomar outras providências que se fizerem necessárias); alimentar e manter atualizado, no sistema informatizado, o cadastro de decretos do Executivo, da legislatura, da Mesa Executiva, de partidos, de Vereadores e de comissões; elaborar, com dados colhidos em plenário, ata sucinta das sessões e anais do Poder Legislativo, na forma regimental; elaborar e digitar certidões, pronunciamentos e outras matérias relevantes, pertinentes às sessões, reuniões e outros eventos ligados diretamente à atividade legislativa; organizar, em volumes, os anais da Câmara Municipal, acompanhados de índice analítico e remissivo; desempenhar outras funções que lhe forem regularmente atribuídas.

                                                                                                                                                  Art. 51. Compete à Seção de Protocolo Geral da Câmara Municipal, diretamente subordinada à Coordenadoria da Divisão de Assistência Legislativa: cumprir e fazer cumprir as determinações regulamentares emanadas da respectiva coordenadoria; a manutenção do protocolo geral do expediente; a remessa, recebimento, triagem e distribuição da correspondência externa e interna, conforme determinação superior; os serviços de mensageiro; protocolizar as solicitações de serviços dos Vereadores, efetuando sua triagem e encaminhamento aos setores responsáveis; elaborar a súmula do expediente recebido, para fins de leitura em plenário; remeter à publicação, mediante protocolo, todos os atos e demais matérias sujeitas a esta finalidade; distribuir, mediante protocolo, relatórios e outros documentos; acompanhar as atividades realizadas por meio do processo eletrônico de tramitação de documentos; desempenhar outras atividades correlatas.

                                                                                                                                                  Art. 52. À Seção de Redação e Processo Legislativo, subordinada diretamente à Coordenadoria da Divisão de Assistência Legislativa, compete: cumprir e fazer cumprir as determinações regulamentares emanadas da respectiva coordenadoria; atender aos trabalhos nas sessões da Câmara Municipal; elaborar e digitar as proposições oficiais dos Vereadores e da Mesa Executiva; assessorar a Mesa Executiva, no decorrer das sessões da Câmara Municipal, sobre matéria técnico-legislativa; controlar as matérias em tramitação na Seção; digitar os autógrafos de emendas à Lei Orgânica, projetos de lei, resoluções, decretos legislativos; redigir, revisar quanto à ortografia e digitar os expedientes oficiais, especialmente requerimentos, indicações e correspondências, afetos à competência da Diretoria Legislativa; enviar, via e-mail, quando possível, ao Gabinete do Prefeito Municipal, os autógrafos dos projetos de lei submetidos à sanção prefeitoral; auxiliar na elaboração das proposições em geral; manter registro e controle, bem como zelar pela guarda das solicitações de serviço encaminhadas pelos senhores Vereadores, destinadas a orientar a elaboração de proposições; instruir, com o auxílio da Seção de Arquivo e Informações, as solicitações de serviço apresentadas pelos senhores Vereadores, posteriormente destinando-as para os procedimentos de praxe; sempre que possível, prestar colaboração aos serviços desenvolvidos pelas demais seções da Divisão; desempenhar outras atividades correlatas.

                                                                                                                                                  Art. 53. À Gerência de Apoio às Comissões, diretamente subordinada à Coordenadoria da Divisão de Assistência Legislativa, compete planejar, organizar e supervisionar as atividades realizadas pela Seção de Comissões Permanentes e Temporárias, garantindo a eficiência e a qualidade dos serviços prestados; coordenar a equipe subordinada, distribuindo tarefas, orientando processos e avaliando o desempenho dos servidores, com vistas ao alcance das metas institucionais; garantir o cumprimento dos prazos e das determinações regulamentares relacionadas às atividades das comissões, articulando-se com outros setores da Câmara Municipal quando necessário; representar o setor junto à Diretoria Geral, à Diretoria Executiva, à Diretoria Legislativa, à Mesa Executiva e às comissões, articulando demandas e propondo soluções para o aprimoramento das atividades; estabelecer fluxos e procedimentos internos para otimizar a execução das atividades da Seção de Comissões Permanentes e Temporárias, garantindo alinhamento com as diretrizes da Câmara Municipal; promover a integração entre a Seção de Comissões Permanentes e Temporárias e outros setores da Câmara, facilitando a troca de informações e a resolução de eventuais demandas conjuntas; identificar necessidades de capacitação da equipe subordinada e propor ações de treinamento ou desenvolvimento profissional, em conformidade com as diretrizes institucionais; exercer a liderança de forma estratégica, assegurando a harmonia e a motivação da equipe, além do alinhamento com os objetivos da Gestão e da Câmara Municipal; submeter relatórios periódicos à Diretoria Legislativa ou à autoridade superior, apresentando os resultados alcançados, dificuldades enfrentadas e sugestões de melhoria; cumprir e fazer cumprir as determinações superiores, assegurando o alinhamento das atividades do setor com os princípios e objetivos institucionais; desempenhar outras funções que lhe forem atribuídas por autoridade superior, sempre observando os limites de sua competência.

                                                                                                                                                  Parágrafo único. As atribuições descritas no caput deste artigo serão exercidas pelo Gerente de Apoio às Comissões.

                                                                                                                                                  Art. 54. À Seção de Comissões Permanentes e Temporárias, diretamente subordinada à Gerência de Apoio às Comissões, compete: cumprir e fazer cumprir as determinações regulamentares emanadas da respectiva gerência; elaborar parecer, por escrito, em matéria ou proposição, quando solicitado pela Mesa Executiva, com auxílio da Procuradoria Jurídica; elaborar parecer, por escrito, quando solicitado pelas comissões permanentes da Câmara, em matérias que exijam apreciação técnico-legislativa; assessorar as comissões temporárias e grupos de trabalho constituídos na Câmara, em matéria técnico-legislativa, com a orientação da Procuradoria Jurídica, quando necessário; elaborar parecer, quando solicitado pela Mesa Executiva, sobre a proposta do Orçamento-Programa do Município, Plano Plurianual de Investimentos e outras matérias de natureza orçamentária, com a orientação da Núcleo de Assessoramento Técnico Superior; elaborar parecer, quando solicitado pela Mesa Executiva, sobre a Prestação de Contas do Município, depois de recebido o Parecer Prévio ou Acórdão do Tribunal de Contas do Estado, também com o auxílio previsto no item anterior; assessorar os Vereadores, a Mesa Executiva, as comissões permanentes e temporárias e os grupos de trabalho, em assuntos de sua competência; assessorar os Vereadores na apreciação do Orçamento-Programa do Município, prestações de contas e outras matérias pertinentes; assessorar, quando solicitado, a Diretoria Geral, a Diretoria Executiva e a Diretoria Legislativa, sobre matéria técnico-legislativa; controlar os prazos das matérias encaminhadas às comissões; numerar e rubricar todos os processos em tramitação no âmbito das comissões; controlar, por sistema próprio, as matérias em tramitação nas comissões; desempenhar outras funções correlatas que lhe forem regularmente atribuídas pela Coordenadoria da Divisão de Assistência Legislativa ou superiores hierárquicos.

                                                                                                                                                  Art. 55. À Seção de Arquivo e Informações, diretamente subordinada à Coordenadoria da Divisão de Assistência Legislativa, compete: cumprir e fazer cumprir as determinações regulamentares emanadas da Divisão de Assistência Legislativa; manter registro e controle de todos os processos e demais expedientes destinados ao arquivo; preservar atualizado e em boa ordem, em livro, fichas ou outro sistema adotado, o registro das matérias, de forma a assegurar localização rápida e eficiente de qualquer documento recolhido ao arquivo; organizar a coletânea das leis municipais, resoluções e decretos legislativos, requerimentos, indicações e outras matérias, anotando as alterações ou transformações havidas; realizar controle sistemático sobre o cumprimento das leis, decretos legislativos e resoluções, e as razões de sua inobservância, quando ocorrer; conservar arquivo com informações sobre as leis, decretos legislativos e resoluções em desuso, revogadas ou derrogadas; promover, periodicamente, a coletânea de leis, decretos legislativos e resoluções análogos ou afins, para efeito de consolidação de seus textos, conforme critérios e sistemas determinados pela Mesa Executiva; manter sob sua guarda e conservação os livros, revistas, publicações, coleções diversas e outras matérias de interesse da Câmara Municipal, classificando-os convenientemente; atender a consultas e requisições dos órgãos da Câmara Municipal, no que concerne à literatura técnico-legislativa e jurídica, mantendo, para tanto, fichários organizados e atualizados; manter arquivo especial, devidamente cadastrado, para documentos considerados sigilosos ou secretos; adotar sistema de segurança adequado para a guarda dos arquivos da Câmara Municipal, para evitar sua violação ou qualquer ação que possa destruí-los ou inutilizá-los; efetuar, anualmente, a triagem da documentação que se destina ao arquivo morto da Câmara Municipal; promover a microfilmagem de documentos oficiais da Câmara, de conformidade com as determinações da Mesa Executiva; expedir, quando autorizado, cópias ou fotocópias de documentos arquivados ou sob sua responsabilidade; controlar o envio de correspondências oficiais da Câmara Municipal; proceder à entrega, mediante registro, de expedientes, relatórios e outros documentos; prestar informações gerais quanto à tramitação de processos e expedientes na Câmara Municipal, quando solicitadas pelas chefias competentes; encaminhar para publicação todos os atos da Mesa Executiva e demais matérias sujeitas a esta formalidade; elaborar, mensalmente, relatório das atividades legislativas; controlar os prazos dos pedidos de informações ou de documentos encaminhados ao Executivo Municipal; extrair e fazer distribuir avulsos das matérias dadas à Ordem do Dia; organizar, em conjunto com a Divisão de Recursos Humanos, a relação dos suplentes de Vereadores, a apostilagem dos títulos de nomeação dos servidores, bem como os termos de posse dos Vereadores; desempenhar outras funções correlatas.

                                                                                                                                                  Art. 56. À Divisão de Acompanhamento e Execução das Leis e Projetos Especiais compete o levantamento das leis municipais em vigor, realizando estudos alusivos à sua criação, redação, promulgação e cumprimento; a fiscalização do efetivo cumprimento da norma jurídica; a produção de notas técnicas e pareceres sobre a motivação, criação e regulamentação de todas as leis municipais, sempre que solicitado; a gerência das atividades da Escola do Legislativo, da Câmara Mirim, da Revista do Legislativo Maringaense, da Biblioteca da Câmara Municipal de Maringá e de outros assuntos relacionados aos projetos especiais propostos pela Presidência, Mesa Executiva ou por Vereadores.

                                                                                                                                                  Art. 57. Ao Núcleo de Assessoramento Técnico Superior, órgão diretamente vinculado à Diretoria Legislativa, compete o fornecimento de suporte técnico contínuo e especializado aos Vereadores e às comissões permanentes ou temporárias da Câmara Municipal, nas áreas de contabilidade pública, urbanismo, engenharia, planejamento urbano, infraestrutura e outras questões pertinentes à gestão pública; a realização de análises técnicas detalhadas sobre projetos de lei, emendas, proposições e outros documentos legislativos, emitindo pareceres que avaliem sua viabilidade, impacto financeiro, orçamentário e técnico, e sua conformidade com a legislação vigente; a elaboração, revisão e acompanhamento de emendas ao orçamento municipal, assegurando que as propostas atendam aos requisitos legais e fiscais, e que estejam alinhadas às necessidades e prioridades do Município; o acompanhamento da execução do orçamento municipal, emitindo relatórios periódicos sobre a gestão financeira e orçamentária e identificando eventuais desvios ou necessidades de ajustes nas propostas legislativas; a contribuição com análises técnicas na formulação, implementação e avaliação de políticas públicas municipais, oferecendo subsídios sobre a viabilidade financeira, social e urbanística das propostas legislativas; a realização de estudos e pesquisas técnicas sobre temas relevantes para o Município, fornecendo dados e informações que possam subsidiar a elaboração de novas proposições legislativas ou a revisão das existentes.

                                                                                                                                                  Art. 58. O Coordenador do Núcleo de Assessoramento Técnico Superior tem as atribuições de coordenar, supervisionar e orientar as atividades dos assessores especializados, garantindo que as demandas e solicitações dos Vereadores e comissões sejam atendidas com eficiência e qualidade técnica; definir, em conjunto com a Diretoria Legislativa, as prioridades e metas do núcleo, estabelecendo critérios para o planejamento, execução e acompanhamento das tarefas e projetos em andamento; acompanhar e garantir a execução das atividades de assessoria técnica nas áreas de contabilidade pública, urbanismo, engenharia e arquitetura, conforme as necessidades legislativas e orçamentárias da Câmara Municipal; coordenar as ações de integração e desenvolvimento da equipe técnica do núcleo, promovendo a distribuição adequada de tarefas, o acompanhamento do desempenho e a resolução de questões internas de trabalho; avaliar periodicamente o desempenho dos assessores técnicos, identificar necessidades de capacitação e propor treinamentos para melhorar o desempenho da equipe; realizar o planejamento e o controle de recursos humanos dentro do núcleo, incluindo a alocação de pessoal para atender às demandas das comissões e dos Vereadores; coordenar a elaboração e a análise de pareceres técnicos, relatórios e estudos especializados solicitados pelas comissões e pelos Vereadores, garantindo que os documentos estejam em conformidade com a legislação vigente e com as melhores práticas técnicas; prestar assessoria estratégica à Presidência da Câmara e à Mesa Executiva, fornecendo informações técnicas e orientações sobre questões complexas relacionadas ao orçamento público, à gestão de recursos e ao planejamento urbano; aconselhar sobre a viabilidade e os impactos técnicos de projetos de lei, emendas e outras proposições, bem como sugerir alternativas para a melhoria da legislação e da gestão pública municipal; organizar e controlar os fluxos de trabalho do núcleo, garantindo o cumprimento dos prazos e a entrega das demandas dentro dos parâmetros estabelecidos; estabelecer um sistema eficiente de acompanhamento das solicitações feitas pelos Vereadores e comissões, monitorando a progressão das atividades e ajustando as prioridades conforme necessário; representar o núcleo junto aos outros órgãos da Câmara Municipal, ao Executivo e a entidades externas, quando solicitado, garantindo que as demandas sejam bem compreendidas e atendidas; propor e implementar melhorias nos processos e metodologias de trabalho do núcleo, fomentar a cultura de capacitação contínua, pesquisa e atualização técnica, para que o núcleo esteja sempre alinhado às melhores práticas e às exigências legais mais recentes.

                                                                                                                                                  Parágrafo único. O ocupante do cargo de Coordenador do Núcleo de Assessoramento Técnico Superior deverá possuir habilitação em curso superior de graduação em uma das seguintes áreas: Administração, Direito, Ciências Contábeis, Gestão Pública, Engenharia Civil ou Arquitetura e Urbanismo.

                                                                                                                                                  Art. 59. Ao Assessor Especial para Assuntos Contábeis e Orçamentários, diretamente vinculado ao Núcleo de Assessoramento Técnico Superior, compete o exercício das seguintes atribuições: prestar assessoramento técnico e estratégico aos Vereadores e comissões da Câmara Municipal em matérias relacionadas a planejamento orçamentário, finanças públicas e controle fiscal; assessorar os Vereadores e comissões da Câmara Municipal na análise de projetos de lei, emendas e proposições relacionadas ao orçamento municipal, à gestão fiscal e à destinação de recursos públicos, fornecendo subsídios técnicos de forma estratégica; assessorar os Vereadores na formulação de emendas ao orçamento municipal, propondo ajustes na alocação de recursos de acordo com as demandas estratégicas do Município e as prioridades políticas; fornecer orientação direta aos Vereadores sobre a compatibilidade de proposições legislativas com o Plano Plurianual (PPA), a Lei de Diretrizes Orçamentárias (LDO) e a Lei Orçamentária Anual (LOA), com foco em garantir alinhamento estratégico e fiscal; elaborar notas técnicas e pareceres sucintos sobre o impacto orçamentário e financeiro de proposições legislativas, priorizando análises estratégicas e viáveis para a tomada de decisão política; acompanhar a tramitação de proposições que envolvam a alocação de recursos públicos, identificando riscos e oportunidades que impactem o planejamento orçamentário e as políticas públicas do Município; realizar estudos estratégicos sobre a execução orçamentária e financeira do Município, apresentando aos Vereadores análises que contribuam para a definição de prioridades legislativas; participar de reuniões, audiências públicas e debates promovidos pela Câmara Municipal sobre temas orçamentários, representando o alinhamento necessário para assessorar os Vereadores; monitorar alterações na legislação fiscal, tributária e contábil que possam impactar o orçamento municipal, assessorando os Vereadores na proposição de ajustes ou novos projetos de lei; estabelecer articulação com órgãos técnicos e entidades externas para obter informações relevantes sobre gestão orçamentária e fiscal, garantindo suporte estratégico à atuação legislativa; apoiar os Vereadores na elaboração de políticas públicas relacionadas ao planejamento orçamentário, à arrecadação de tributos e à execução de investimentos, assegurando a adequação às demandas sociais e ao equilíbrio fiscal; oferecer subsídios estratégicos e técnicos aos Vereadores sobre o cumprimento das normas de responsabilidade fiscal, auxiliando na identificação de ajustes necessários ao orçamento municipal.

                                                                                                                                                  Art. 60. Ao Assessor Especial para Assuntos Urbanísticos, diretamente vinculado ao Núcleo de Assessoramento Técnico Superior, compete o exercício das seguintes atribuições: prestar assessoramento técnico e estratégico aos Vereadores e comissões da Câmara Municipal em matérias relacionadas a urbanismo, planejamento territorial e infraestrutura urbana; assessorar os Vereadores e comissões da Câmara Municipal na análise de proposições legislativas, projetos de lei, emendas e outros documentos relacionados a urbanismo, planejamento territorial e infraestrutura urbana, fornecendo subsídios técnicos de forma estratégica; fornecer suporte técnico e orientação direta aos Vereadores na tomada de decisões relacionadas a políticas públicas de planejamento urbano, desenvolvimento habitacional, mobilidade e sustentabilidade, em alinhamento com os interesses do Município; elaborar notas técnicas e pareceres sucintos para subsidiar o debate e a deliberação legislativa em temas relacionados a engenharia, urbanismo e arquitetura; participar de reuniões, audiências públicas e debates promovidos pela Câmara Municipal sobre temas urbanísticos, atuando como interlocutor de confiança para os Vereadores e comissões; identificar, em conjunto com os Vereadores, pontos de aprimoramento técnico e político em projetos e proposições legislativas, propondo soluções alinhadas aos objetivos do planejamento urbano e às demandas da população; acompanhar a tramitação de proposições legislativas relacionadas a infraestrutura urbana e ordenamento territorial, articulando informações relevantes com agentes políticos e técnicos; realizar pesquisas e levantar dados estratégicos sobre temas urbanísticos e de infraestrutura, apresentando sínteses e análises que contribuam para o planejamento e a atuação legislativa; monitorar inovações legislativas, normativas e tecnológicas que possam impactar a política urbana do Município, assessorando os Vereadores na proposição de soluções alinhadas às melhores práticas; estabelecer articulação com órgãos técnicos e entidades externas, visando colher informações relevantes e garantir que as proposições legislativas sejam compatíveis com os objetivos do desenvolvimento urbano sustentável; apoiar os Vereadores na elaboração de políticas públicas urbanísticas, com foco em atender às necessidades estratégicas do Município e da população, reforçando a confiança e o alinhamento entre as ações técnicas e políticas.

                                                                                                                                                   

                                                                                                                                                  DIRETORIA ADMINISTRATIVA


                                                                                                                                                  Art. 61. A Diretoria Administrativa, vinculada à Diretoria Executiva, tem como atribuições a realização, com a participação e concurso de suas divisões, seções e serviços, das atividades de Administração, Recursos Humanos, Licitações e Compras; Almoxarifado; Portaria, Vigilância e Segurança; Controle do Uso e da Manutenção de Veículos; Manutenção Geral e Jardinagem; Copa e Limpeza; e Telefonia.

                                                                                                                                                  Art. 62. O Diretor Administrativo tem as atribuições de superintender, orientar, dirigir, controlar e coordenar as atividades das divisões e seções integrantes da Diretoria Administrativa; o desenvolvimento de esforços para que as atividades sob sua direção realizem suas competências e funções mediante projetos previamente aprovados, destacando a relação custo/benefício de seus atos administrativos, cumprindo os princípios estabelecidos pelo artigo 37 da Constituição Federal; determinar estudos e, com base neles, propor ao Diretor Executivo medidas de aprimoramento dos serviços e atuações de competência da Diretoria de Administração e seus órgãos subordinados; expedir autorização para a instauração dos processos licitatórios e de aquisição; exigir relatório de conservação geral e de veículos com demonstração estatística mensal, quadrimestral e anual e outros dados que se fizerem necessários; relatar ao Diretor Executivo o desempenho global das atividades e serviços sob a responsabilidade da Diretoria Administrativa e seus órgãos subordinados; executar atividades correlatas.

                                                                                                                                                  Art. 63. Ao Serviço de Gestão de Contratos, diretamente subordinado à Diretoria Administrativa, compete: acompanhar e apoiar as atividades relacionadas à fiscalização contratual com vistas à formalização dos procedimentos de gestão administrativa relacionados às contratações do Poder Legislativo; conduzir os procedimentos de prorrogação de prazos, alterações contratuais, reequilíbrio econômico-financeiro e extinção contratual; acompanhar o desenvolvimento da execução contratual através de relatórios de fiscalização e demais documentos relativos ao objeto contratado; manifestar-se por escrito às unidades responsáveis a respeito da necessidade de adoção de providências visando à prorrogação do prazo contratual, antecipadamente ao término de sua vigência, observados os prazos exigíveis para cada situação, nunca inferiores a 60 (sessenta) dias; manifestar-se por escrito às unidades responsáveis, acerca da necessidade de adoção de providências visando à deflagração de novo procedimento licitatório, antecipadamente ao término da vigência contratual, observadas as peculiaridades de cada objeto e os prazos exigíveis para cada situação, nunca inferiores a 120 (cento e vinte) dias; fiscalizar a obrigação do contratado e do subcontratado, se houver, de manter, durante toda a execução do contrato, em compatibilidade com as obrigações assumidas, as condições de habilitação e qualificação exigidas na licitação; notificar o contratado sobre irregularidades não saneadas e sobre a abertura de processo administrativo sancionador; dar imediata ciência formal a seus superiores dos incidentes e das ocorrências da execução que possam acarretar a imposição de sanções ou a rescisão contratual; conduzir os processos administrativos sancionatórios; recomendar a suspensão provisória da entrega de bens ou a realização de serviços; cumprir e fazer cumprir as determinações regulamentares emanadas da Diretoria; desempenhar outras funções correlatas que lhe forem atribuídas.

                                                                                                                                                  Art. 64. À Divisão de Administração compete cumprir e fazer cumprir as determinações regulamentares emanadas da Diretoria Administrativa; supervisionar a execução de serviços de reparo e manutenção do prédio, das instalações e do mobiliário da Câmara; zelar pela manutenção, conservação e recuperação do edifício do Poder Legislativo, excetuando bens e serviços em garantia ou que exijam mão- de-obra técnica ou especializada; responsabilizar-se pelo controle, guarda e uso adequado de equipamentos, ferramentas, utensílios e produtos utilizados nos serviços da Câmara; manter contato com empresas prestadoras de serviços para manutenção e conserto de máquinas, móveis e equipamentos, sempre que
                                                                                                                                                  solicitado; controlar e fiscalizar a execução de contratos celebrados pela Câmara na área de sua competência, assegurando o cumprimento dos serviços contratados; manter sistema de controle da utilização do plenário e das salas de reuniões da Câmara; realizar o deslocamento de bens móveis e utensílios entre as dependências da Casa, quando necessário; hastear e arriar as bandeiras da Câmara; supervisionar a organização e uso dos espaços físicos da Câmara, garantindo que estejam adequados às necessidades institucionais; elaborar relatórios e propor soluções para demandas relacionadas à infraestrutura e logística da Câmara; desempenhar outras funções administrativas atribuídas pela Diretoria Administrativa.

                                                                                                                                                  Art. 65. À Seção de Portaria, Vigilância e Segurança, diretamente subordinada à Coordenadoria da Divisão de Administração, compete o atendimento dos trabalhos de manutenção e controle da portaria; atendimento ao público, recepção, credenciamento, controle, frequência e encaminhamento de pessoas; recebimento, ordenação, classificação e encaminhamento de correspondências, jornais, revistas e publicações recebidos e a serem encaminhados; atendimento ao plenário e galeria de visitantes, aos gabinetes, repartições administrativas e garagens; controle e vigilância das dependências internas e externas do Legislativo; zelar pela ordem e segurança da Casa, sobretudo no decorrer das sessões; desempenhar outras funções que lhe forem regularmenteatribuídas pela Coordenadoria da Divisão; desenvolver outras atribuições correlatas.

                                                                                                                                                  Art. 66. À Seção de Copa e Limpeza, diretamente subordinada à Coordenadoria da Divisão de Administração, compete: as atividades de atendimento ao plenário, gabinetes e órgãos da Administração; atividades de controle do consumo e a responsabilidade da guarda dos materiais de limpeza e conservação colocados à disposição da unidade; limpeza e conservação dos móveis, utensílios e materiais vinculados às atividades institucionais da Câmara Municipal; desempenhar outras funções regulamentares que lhe forem atribuídas pela Coordenadoria da Divisão.

                                                                                                                                                  Art. 67. À Seção de Telefonia, diretamente subordinada à Divisão de Administração, compete: coordenar o atendimento aos usuários internos e externos no tocante aos serviços da central telefônica, garantindo a execução dos serviços e rotinas operacionais; executar a configuração da plataforma; gerenciar a manutenção das linhas fixas (abrir chamado junto à empresa de telefonia, se necessário); coordenar as atividades de controle, instalação, adequação, monitoração e análise do desempenho dos equipamentos de telefonia utilizados pelos usuários finais e dos programas e sistemas básicos que controlam seu funcionamento; manter base de dados contendo registro dos problemas e erros ocorridos nos programas e equipamentos, bem como das medidas tomadas para sua solução, documentando, em relatório estatístico, o tipo de atendimento efetuado; providenciar e analisar relatórios de atendimentos para apresentar propostas de soluções compatíveis, prevenindo e corrigindo eventuais falhas; atender às solicitações, devidamente autorizadas, para instalação de ramais e aparelhos; realizar, diretamente ou por intermédio de terceiros, a manutenção dos recursos de telefonia e comunicação; controlar a movimentação e o estado de conservação dos equipamentos de telefonia e comunicação; gerir o(s) contrato(s) com a empresa de telefonia e os contratos de manutenção preventiva e corretiva dos recursos de telefonia e comunicação; controlar a agenda telefônica digital; atualizar a lista de ramais do site do Legislativo; elaborar relatórios por meio do sistema de tarifação telefônica; desempenhar outras funções regulamentares que lhe forem atribuídas pela Coordenadoria da Divisão.

                                                                                                                                                  Art. 68. À Seção de Controle do Uso e da Manutenção de Veículos, diretamente subordinada à Divisão de Administração, compete: zelar pela manutenção, conservação e recuperação dos veículos do Poder Legislativo, responsabilizando-se, também, pela regularidade da documentação dos mesmos; manter sistema de controle mensal do uso e da manutenção dos veículos, através de planilhas próprias; promover a lavratura de termos de ocorrência e, quando necessário, solicitar a abertura de procedimentos destinados a apurar responsabilidades quanto ao uso irregular e indevido dos veículos e danos eventualmente provocados nos mesmos, por parte de seus condutores ou usuários; organizar a escala dos motoristas, bem como plano de atendimento das atividades a serem executadas; executar, em geral, os demais atos e medidas relacionados com suas finalidades, inclusive quanto ao preparo de expedientes próprios; promover a identificação dos veículos do Poder Legislativo, nos termos da legislação pertinente; desempenhar outras funções correlatas que lhe forem atribuídas pela Coordenadoria da Divisão.

                                                                                                                                                  Art. 69. À Seção de Manutenção Predial e Jardinagem, diretamente subordinada à Divisão de Administração, compete: zelar pela manutenção, conservação e recuperação das instalações prediais do Poder Legislativo, incluindo sistemas elétricos, hidráulicos, sanitários, de climatização e demais estruturas físicas; planejar e executar atividades de jardinagem e paisagismo, assegurando o cuidado e a manutenção das áreas verdes e jardins; supervisionar e realizar reparos e serviços de manutenção corretiva e preventiva em bens e equipamentos instalados no prédio do Poder Legislativo; elaborar cronogramas de manutenção preventiva para garantir a funcionalidade e segurança das instalações prediais; acompanhar serviços de manutenção e reparos realizados por empresas terceirizadas, fiscalizando o cumprimento dos contratos e padrões de qualidade; manter registros atualizados dos serviços realizados, materiais utilizados e demandas de manutenção; promover a limpeza e organização das áreas externas e verdes, cuidando do manejo adequado de resíduos provenientes das atividades de jardinagem; realizar inspeções periódicas para identificar necessidades de manutenção e reparos, tomando providências para sua execução; desempenhar outras funções correlatas que lhe forem atribuídas pela Coordenadoria da Divisão.

                                                                                                                                                  Art. 70. Ao Serviço de Almoxarifado, diretamente subordinado à Divisão de Administração, compete: cumprir e fazer cumprir as determinações regulamentares emanadas da Coordenadoria da Divisão; receber, conferir e atestar o material entregue pelos fornecedores, e aqueles devolvidos ao estoque; acompanhar e fiscalizar o prazo de fornecimento do material adquirido, comunicando eventuais atrasos ao responsável técnico do contrato, para as providências cabíveis; manter rigoroso controle do material sob sua guarda, registrando todas as entradas
                                                                                                                                                  e saídas, de forma que se possa, a qualquer momento, proceder ao inventário dos bens em estoque; zelar pela perfeita conservação do material sob sua guarda, promovendo sua estocagem, observadas as várias classificações, bem como sugerir a destinação do material que se tenha tornado inservível; contabilizar as entradas e as saídas dos bens de consumo; elaborar inventário anual do material em estoque; evitar a saída de material desacompanhado de documentação; executar, em geral, os demais atos e medidas relacionados com as suas finalidades; desempenhar outras funções correlatas que lhe forem atribuídas pela Coordenadoria da Divisão.

                                                                                                                                                  Art. 71. À Divisão Recursos Humanos compete cumprir e fazer cumprir as determinações regulamentares emanadas da Diretoria Administrativa; manter atualizados os documentos dos servidores nas respectivas pastas funcionais; elaborar os atos relativos à admissão, readmissão, aproveitamento, posse, exercício, progressão funcional, afastamento, remoção, transferência, substituição, exoneração e demissão do pessoal; verificar, no momento da admissão de pessoal, a regularidade dos documentos apresentados; orientar os servidores da Câmara Municipal sobre atos ou normas de pessoal baixados pela Mesa Executiva; elaborar e supervisionar o registro de frequência dos servidores, de acordo com o sistema de cartão-ponto, bem como manter o controle e verificação do uso do relógio de ponto; organizar a escala de férias dos servidores, respeitando os períodos de recesso legislativo, sempre que possível; instruir e informar os processos administrativos relacionados a pessoal, quando solicitado; emitir certidões referentes a assentamentos funcionais dos servidores; elaborar instruções e programas de concursos públicos para provimento de cargos na Câmara e manter o arquivo organizado dos concursos realizados; supervisionar a remessa de informações ao Tribunal de Contas do Estado relacionadas ao pessoal, através de sistema próprio daquele órgão; desempenhar outras funções relacionadas à gestão de pessoal, conforme orientação da Diretoria Administrativa.

                                                                                                                                                  Art. 72. Ao Serviço de Folha de Pagamentos, subordinado à Divisão de Recursos Humanos, compete: cumprir e fazer as determinações regulamentares emanadas da Coordenadoria da Divisão; manter cadastro dos servidores da Casa, bem como dos Vereadores; lançar no sistema próprio os atos relativos à admissão, readmissão, aproveitamento, posse, exercício, remoção, transferência, substituição, exoneração e demissão do pessoal, etc.; atribuir número de matrícula e expedir carteira de identidade funcional aos servidores, bem como aos Vereadores; elaborar as folhas de pagamento, mensalmente, dos servidores da Casa, bem como a respectiva ficha financeira; elaborar as folhas de subsídios dos Vereadores, bem como a respectiva ficha financeira; efetuar e controlar o desconto das consignações nas folhas de pagamento, quando devidamente autorizado; preparar e conferir os documentos de informações fiscais, encaminhando-os aos órgãos competentes; fornecer informações pertinentes a sua área de atuação, exceto em casos de sigilo, hipótese em que o pedido será submetido à autoridade competente; executar, em geral, os demais atos e medidas relacionados com suas finalidades, inclusive quanto ao preparo de expediente próprio; desempenhar outras funções que lhe forem regularmente atribuídas pela Coordenadoria da Divisão.

                                                                                                                                                  Art. 73. À Divisão de Licitações e Compras compete cumprir e fazer cumprir as determinações regulamentares emanadas da Diretoria Administrativa; elaborar os instrumentos convocatórios das licitações; instruir os processos licitatórios; prestar apoio administrativo à Comissão Permanente de Licitações e ao Pregoeiro e Equipe de Apoio; realizar as compras de materiais e a contratação de serviços que dispensam licitações; aprimorar o planejamento, a execução e o controle das atividades de sua competência; acompanhar e registrar os preços praticados em relação a materiais e serviços; elaborar as justificativas legais nos casos de dispensa e inexigibilidade de licitação; elaborar as minutas dos instrumentos contratuais e seus aditamentos; organizar os diplomas legais e normas aplicáveis a licitações e compras; cadastrar os fornecedores de bens e materiais e de prestadores de serviços; desempenhar outras funções que lhe forem atribuídas pela Diretoria Administrativa.

                                                                                                                                                  DIRETORIA FINANCEIRA

                                                                                                                                                  Art. 74. A Diretoria Financeira, vinculada à Diretoria Executiva, é responsável pela gestão das atividades financeiras da Casa, competindo-lhe: coordenar o planejamento orçamentário, supervisionar receitas e despesas, liderar e dirigir a equipe financeira, promovendo sua capacitação e otimização dos processos; assegurar a conformidade legal e a eficiência no uso de recursos; elaborar relatórios financeiros para subsidiar decisões estratégicas.

                                                                                                                                                  Art. 75. O Diretor Financeiro tem como atribuições dirigir e supervisionar a gestão estratégica de todas as atividades financeiras da Câmara Municipal, incluindo o planejamento orçamentário, a execução de receitas e despesas, a contabilidade e o controle financeiro; estabelecer as metas e diretrizes de trabalho da área; supervisionar a Divisão de Finanças, Orçamento e Contabilidade e sua equipe; representar a Diretoria Financeira perante a Diretoria Executiva, a Diretoria Geral, a Presidência e os órgãos externos; revisar as ações, atos, relatórios e procedimentos administrativos e operacionais dos setores de finanças, tesouraria e contabilidade; supervisionar, acompanhar e analisar a execução do Plano Plurianual, Lei de Diretrizes Orçamentárias e Lei Orçamentária Anual; acompanhar o cumprimento de prazos da área fiscal, previstos em lei, para a elaboração de relatórios e envio de documentação aos órgãos de controle e de tributação; observar e fazer cumprir as disposições do Tribunal de Contas do Estado do Paraná, no tocante à contabilidade pública e finanças, suas normas e medidas; acompanhar as atividades funcionais e os processos de trabalho dos servidores do departamento e dos setores, oferecendo suporte, controlando as ações e os requisitos funcionais para o exercício de cargo, além de manifestação sobre desempenho, inclusive durante o estágio probatório; articular, com a Diretoria Executiva, a designação de apoio técnico e operacional para as atividades da área financeira; indicar à Diretoria Executiva da Câmara melhorias e inovações para a área financeira.

                                                                                                                                                  Parágrafo único. O ocupante do cargo de Diretor Financeiro deverá possuir habilitação em curso superior de graduação em Ciências Contábeis e
                                                                                                                                                  registro profissional no Conselho Regional de Contabilidade.

                                                                                                                                                  Art. 76. À Divisão de Finanças, Orçamento e Contabilidade compete cumprir e fazer cumprir as determinações regulamentares emanadas da Diretoria Financeira; efetuar o controle contábil, mediante escrituração dos atos e fatos referentes a seu patrimônio, variação das dotações orçamentárias, despesas e todos os demais atos sujeitos à contabilização; proceder aos lançamentos contábeis da documentação, em conformidade com o plano de contabilidade previamente aprovado; elaborar, com os elementos fornecidos pelas Diretorias, a proposta orçamentária da Câmara Municipal de Maringá a ser encaminhada ao Executivo Municipal, no prazo previsto em lei; elaborar, mensalmente, balancetes e demonstrativos; elaborar, mensalmente, o balancete financeiro a ser encaminhado ao Tribunal de Contas do Estado; elaborar a prestação de contas a ser encaminhada ao Executivo Municipal para posterior envio ao TCE, anualmente, com todos os documentos exigidos, dentro dos prazos legais; manter controle sobre o saldo das dotações orçamentárias, consignações ou subconsignações; atestar a identidade entre a fatura e a nota fiscal de fornecedores, referentes a aquisições feitas pela Divisão de Administração; elaborar o empenho prévio das despesas e ordens de pagamento; organizar as prestações de contas, bem como a documentação necessária à comprovação das despesas da Câmara Municipal; fornecer elementos para a abertura de créditos adicionais; emitir parecer, quando solicitado pela Mesa Executiva, sobre a proposta do Orçamento-Programa do Município e do Plano Plurianual de Investimentos e outros de natureza orçamentária; emitir parecer, quando solicitado, sobre a prestação de contas do Município, após o Parecer Prévio ou Acórdão do Tribunal de Contas do Estado; desempenhar outras funções que lhe forem atribuídas pela Diretoria Financeira.

                                                                                                                                                  Art. 77. À Seção de Finanças, Orçamento e Contabilidade, diretamente subordinada à Divisão de Finanças, Orçamento e Contabilidade, compete: cumprir e fazer cumprir as determinações regulamentares emanadas da Coordenadoria da Divisão; efetuar o controle contábil, mediante escrituração dos atos e fatos referentes a seu patrimônio, variação das dotações orçamentárias, despesas e todos os demais atos sujeitos à contabilização; proceder aos lançamentos contábeis da documentação, em conformidade com o plano de contabilidade previamente aprovado; elaborar, com os elementos fornecidos pelas Divisões, a proposta orçamentária da Câmara Municipal de Maringá a ser encaminhada ao Executivo Municipal, no prazo previsto em lei; elaborar, mensalmente, balancetes e demonstrativos; elaborar, mensalmente, o balancete financeiro a ser encaminhado ao Tribunal de Contas do Estado; elaborar a prestação de contas a ser encaminhada ao Executivo Municipal para posterior envio ao TCE, anualmente, com todos os documentos exigidos, dentro dos prazos legais; manter controle sobre o saldo das dotações orçamentárias, consignações ou subconsignações; atestar a identidade entre a fatura e a nota fiscal de fornecedores, referentes a aquisições feitas pela Seção de Licitações e Compras; elaborar o empenho prévio das despesas e ordens de pagamento; efetuar conta corrente atualizada dos devedores temporários da Câmara Municipal, por adiantamentos concedidos, através de Portaria, para pequenas despesas, de modo a assegurar com exatidão os adiantamentos de cada servidor ou Vereador; organizar as prestações de contas, bem como a documentação necessária à comprovação das despesas da Câmara Municipal; fornecer elementos para a abertura de créditos adicionais; emitir parecer, quando solicitado pela Mesa Executiva, sobre a proposta do Orçamento-Programa do Município e do Plano Plurianual de Investimentos e outros de natureza orçamentária; emitir parecer, quando solicitado, sobre a prestação de contas do Município, após o Parecer Prévio ou Acórdão do Tribunal de Contas do Estado; desempenhar outras funções que lhe forem regularmente atribuídas pela Coordenadoria da Divisão de Finanças, Orçamento e Contabilidade.

                                                                                                                                                  Art. 78. Ao Serviço de Tesouraria, diretamente subordinado à Divisão de Finanças, Orçamento e Contabilidade, compete: cumprir e fazer cumprir as determinações regulamentares emanadas da Coordenadoria da Divisão; registrar o recebimento, quando autorizado, do duodécimo da Câmara Municipal; efetuar o pagamento de despesas, quando regularmente processadas e autorizadas; manter registro do movimento referente às entradas e saídas de numerário; remeter, à Seção de Finanças, Orçamento e Contabilidade, uma via dos registros efetuados, juntamente com a documentação da despesa, quando paga; efetuar entrega, mediante recibo, de numerário, quando devidamente autorizada; efetuar depósitos e retiradas bancárias dos valores em poder da Câmara Municipal; manter registro de procurações para fins de pagamento; manter controle bancário, com a conferência mensal dos extratos bancários; desempenhar outras funções correlatas que lhe forem atribuídas pela Coordenadoria da Divisão.

                                                                                                                                                  Art. 79. Ao Serviço de Patrimônio, diretamente subordinado à Divisão de Finanças, Orçamento e Contabilidade, compete: cumprir e fazer cumprir as determinações regulamentares emanadas da Coordenadoria da Divisão; executar as tarefas pertinentes ao recebimento, aceitação, guarda, distribuição, conservação, registro e controle dos bens patrimoniais da Câmara Municipal de Maringá; promover a identificação de cada peça de bem móvel através de marcação constante de ordem numérica, que deverá corresponder ao registro geral em todas as suas características; proceder regularmente à verificação dos móveis, utensílios e maquinários, quanto à sua permanência nos órgãos para os quais estiverem carregados, corrigindo as irregularidades encontradas; proceder regularmente à verificação do estado de conservação, funcionamento e utilização dos móveis, máquinas e utensílios do Legislativo, providenciando, de imediato, perante a Diretoria Administrativa, as medidas que se fizerem necessárias para reparações ou substituições; elaborar, anualmente, uma relação detalhada dos bens patrimoniais do Legislativo, para ser encaminhada ao Tribunal de Contas do Estado, juntamente com a prestação de contas; zelar pela guarda e conservação do patrimônio do Legislativo, alertando, de imediato, a Diretoria Executiva quando constatados fatos que ponham em risco sua integridade; manter rigorosamente atualizadas as fichas cadastrais do material permanente; propor à Diretoria Executiva a alienação ou doação de bens patrimoniais da Casa; executar, em geral, os demais atos e medidas relacionados com as suas finalidades; desempenhar outras funções correlatas que lhe forem atribuídas pela Coordenadoria da Divisão.

                                                                                                                                                   

                                                                                                                                                  DISPOSIÇÕES GERAIS

                                                                                                                                                   

                                                                                                                                                  Art. 80. Além das disposições já enunciadas, são obrigações comuns aos Diretores: coordenar a escala de férias dos servidores lotados na respectiva unidade; comunicar à Divisão responsável por tal controle a efetividade dos servidores; providenciar a requisição de materiais, equipamentos e utensílios necessários ao regular funcionamento da repartição; elaborar relatório anual das atividades, sempre que requisitado.

                                                                                                                                                  Art. 81. Compete aos Coordenadores de Divisão, em caráter geral: dirigir, orientar e fiscalizar as atividades desenvolvidas pelos respectivos órgãos, bem como pelas seções e serviços que lhes são subordinados; proceder a estudos e sugerir medidas que visem ao aprimoramento dos trabalhos atinentes às unidades que dirigem; requisitar do serviço de almoxarifado o material necessário ao trabalho do órgão que dirige; zelar pela conservação dos bens patrimoniais da Câmara Municipal sob sua responsabilidade; despachar com a diretoria hierarquicamente superior; elaborar relatórios mensais e anuais das atividades desenvolvidas pelos órgãos que dirigem; encaminhar os elementos necessários à elaboração da proposta orçamentária, com relação ao órgão que dirige, para a Diretoria Financeira; dar informações em processos legislativos, quando solicitado; julgar justificadas ou não as faltas ao trabalho dos servidores, podendo abonar até três (03) por mês, quando se tratar de atraso na entrada ou saída do expediente; executar outras tarefas que lhe sejam regularmente atribuídas.

                                                                                                                                                  Art. 82. Compete aos Coordenadores de Seção, em caráter geral, cumprir e fazer cumprir as determinações superiores e as disposições referentes à unidade, desempenhando as atribuições que lhe são conferidas; supervisionar os trabalhos da unidade, dirigindo e coordenando as atividades desenvolvidas, bem como estabelecendo os devidos controles sobre a eficiência dos aspectos operacionais relativos à execução das tarefas e à eficácia dos resultados do trabalho geral da Seção, tendo em vista, sempre, a consecução dos seus objetivos, representados pelo conjunto de suas funções.

                                                                                                                                                  Art. 83. As disposições contrárias ficam revogadas.

                                                                                                                                                  Alteração feita pelo Artigo - Lei Ordinária nº 11.997, de 13 de agosto de 2025.
                                                                                                                                                    Anexo IX
                                                                                                                                                    FUNÇÕES E ATRIBUIÇÕES DOS CARGOS DE PROVIMENTO EFETIVO

                                                                                                                                                      I – GRUPO OCUPACIONAL DE NÍVEL BÁSICO – GB1 E GB2.


                                                                                                                                                        CARGO:
                                                                                                                                                        ALMOXARIFE.

                                                                                                                                                         

                                                                                                                                                        DESCRIÇÃO SUMÁRIA: organizar e/ou executar os trabalhos de almoxarifado, como recebimento, estocagem, distribuição, registro e inventário de produtos e mercadorias comprados, observando normas e instruções ou dando orientações a respeito do desenvolvimento desses trabalhos, para manter o estoque em condições de atender às unidades.

                                                                                                                                                         

                                                                                                                                                        DESCRIÇÃO DETALHADA: verificar a posição do estoque, examinando periodicamente o volume de mercadorias e calculando as necessidades futuras, para preparar pedidos de reposição; auxiliar no controle de recebimento do material comprado, confrontando as notas de pedidos e as especificações com o material entregue, para assegurar sua perfeita correspondência aos dados anotados; auxiliar na organização do armazenamento de material e produtos, identificando-os e acomodando de forma adequada, para garantir uma estocagem racional e ordenada; zelar pela conservação do material estocado, providenciando as condições necessárias para evitar deterioramento e perda; auxiliar no registro dos materiais em guarda no depósito e das atividades realizadas, lançando os dados em livros, fichas e mapas apropriados, para facilitar consultas; auxiliar no arrolamento dos materiais estocados ou em movimento, verificando periodicamente os registros e outros dados pertinentes, para obter informações exatas sobre a situação real do almoxarifado; executar outras atividades afins.


                                                                                                                                                          CARGO:
                                                                                                                                                          AUXILIAR ADMINISTRATIVO.

                                                                                                                                                           

                                                                                                                                                          DESCRIÇÃO SUMÁRIA: executar atividades na área administrativa de caráter rotineiro.

                                                                                                                                                           

                                                                                                                                                          DESCRIÇÃO DETALHADA: executar tarefas padronizadas na área administrativa e financeira, com orientação e supervisão da chefia correspondente; organizar as cópias xerográficas, montando e encadernando apostilas, manuais, blocos e outros; manusear e manter organizados e/ou atualizar arquivos, fichários e outros, classificando documentos; digitar ofícios, cartas, memorandos, quadros demonstrativos e outros documentos administrativos, classificando-os conforme critério preestabelecido; executar cálculos simples e conferências numéricas de tabelas, quadros comparativos, fichas e outros, operando máquinas de calcular, quando necessário; providenciar materiais de expediente, observando quantidade, tipo, tamanho e demais especificações contidas na requisição, para manter o nível de material necessário ao setor de trabalho; organizar, separar, classificar, endereçar e/ou protocolar documentos e correspondências, procedendo ao seu arquivamento, quando necessário; atender pessoas e chamadas telefônicas, anotando ou enviando recados, para obter ou fornecer informações; efetuar a reprodução de cópias, operando a máquina copiadora, controlando o serviço de triagem, abastecendo e regulando a máquina e encadernando pequenos volumes; executar outras tarefas correlatas.


                                                                                                                                                            CARGO:
                                                                                                                                                            AUXILIAR DE MANUTENÇÃO.

                                                                                                                                                             

                                                                                                                                                            DESCRIÇÃO SUMÁRIA: proceder à manutenção do edifício da Câmara, providenciando todos os reparos e prevenção necessários à sua conservação.

                                                                                                                                                             

                                                                                                                                                            DESCRIÇÃO DETALHADA: proceder à manutenção do edifício da Câmara, providenciando todos os reparos e prevenção necessários à sua conservação; responsabilizar-se pelo controle, guarda e uso adequado dos equipamentos, ferramentas, utensílios e produtos utilizados nos serviços da Câmara; manter limpo e arrumado o local de trabalho; requisitar o material necessário das atribuições típicas de classe; manter contato com empresas prestadoras de serviços com vistas à manutenção e conserto de máquinas, móveis e equipamentos; controlar e fiscalizar a execução dos contratos celebrados pela Câmara, sob o aspecto do cumprimento dos serviços contratados; controlar a utilização do Plenário e das salas de reuniões da Câmara; hastear e arriar as bandeiras; executar outras tarefas correlatas.


                                                                                                                                                              CARGO:
                                                                                                                                                              COPEIRO.

                                                                                                                                                               

                                                                                                                                                              DESCRIÇÃO SUMÁRIA: executar atividades relacionadas aos serviços de copa, tais como: preparar e servir café, chá, água e outros, entre as repartições da Câmara Municipal, zelando pela ordem e limpeza da cozinha.

                                                                                                                                                               

                                                                                                                                                              DESCRIÇÃO DETALHADA: preparar e servir lanches ou pequenas refeições, chá, café e outros, utilizando os materiais necessários; arrumar mesas, colocando toalhas, pratos, talheres e outros e recolhendo-os após sua utilização; conservar a copa/cozinha em boas condições de trabalho e higiene, procedendo à limpeza e arrumação do respectivo local; auxiliar no controle da quantidade dos produtos utilizados na copa/cozinha, informando ao setor competente a necessidade de reposição de estoque; executar outras tarefas correlatas.


                                                                                                                                                                CARGO:
                                                                                                                                                                MOTORISTA.

                                                                                                                                                                 

                                                                                                                                                                DESCRIÇÃO SUMÁRIA: dirigir veículos leves da Câmara Municipal de Maringá, transportando pessoas e materiais, zelando pela manutenção e conservação dos veículos.

                                                                                                                                                                 

                                                                                                                                                                DESCRIÇÃO DETALHADA: conduzir veículo automotor, obedecendo à sinalização, os limites de velocidade indicados e as normas de segurança; manter o veículo em perfeitas condições de funcionamento, zelando pela sua conservação, providenciando o abastecimento de combustível, lubrificação, observando níveis de água e de óleo, efetuando trocas segundo recomendações técnicas, calibragem dos pneus, limpeza, checagem do sistema elétrico, etc.; comunicar ao superior imediato quaisquer anormalidades observadas no veículo, não transitando com o mesmo sem que elas sejam sanadas; observar e controlar os períodos de revisão e manutenção recomendados previamente, para assegurar a plena condição de utilização do veículo; fazer pequenos reparos de emergência, preservadas as condições de segurança do veículo; transportar materiais, correspondências e equipamentos, garantindo a segurança dos mesmos; zelar pela segurança dos passageiros, transeuntes e demais veículos; executar o serviço de transporte que lhe for atribuído e, no caso de materiais, encarregar-se de sua carga e descarga; realizar anotações, segundo as normas estabelecidas e orientações recebidas, da quilometragem, viagens realizadas, objeto ou pessoas transportadas, itinerários percorridos, além de outras ocorrências, a fim de manter a boa organização e controle da administração; recolher o veículo após sua utilização, em local previamente determinado, deixando-o corretamente estacionado e fechado; operar, eventualmente, rádio transceptor; executar outras tarefas correlatas.


                                                                                                                                                                  CARGO:
                                                                                                                                                                  OFICIAL DE SEGURANÇA.

                                                                                                                                                                   

                                                                                                                                                                  DESCRIÇÃO SUMÁRIA: fiscalizar as dependências internas e externas da Câmara Municipal, zelando pela manutenção do decoro, da ordem e da disciplina e pela preservação da segurança das pessoas no âmbito desta, na forma regulamentada.

                                                                                                                                                                   

                                                                                                                                                                  DESCRIÇÃO DETALHADA: executar, sob a direção do Presidente e orientação do Corregedor da Casa, o policiamento do edifício da Câmara Municipal e de suas dependências externas, zelando pela manutenção do decoro, da ordem e da disciplina no âmbito desta; preservar a segurança dos vereadores, funcionários e visitantes em geral, de forma a garantir sua integridade física e moral; zelar para que os trabalhos desenvolvidos no âmbito do Poder Legislativo não sofram interferências ou restrições de ordem externa; observar a entrada e a saída de pessoas nos recintos da Câmara Municipal, exigindo, quando necessário, identificação ou autorização, para evitar que estranhos possam causar transtornos e tumultos; atender e prestar informações ao público; investigar quaisquer condições anormais que tenha observado; comunicar à autoridade competente irregularidades verificadas; receber e transmitir mensagens; elaborar relatórios para controle de supervisão; executar outras tarefas correlatas.


                                                                                                                                                                    CARGO:
                                                                                                                                                                    PORTEIRO.

                                                                                                                                                                     

                                                                                                                                                                    DESCRIÇÃO SUMÁRIA: controlar e fiscalizar a entrada e a saída de pessoas e veículos nas dependências internas da Câmara Municipal.

                                                                                                                                                                     

                                                                                                                                                                    DESCRIÇÃO DETALHADA: controlar a entrada e a saída de pessoas nos recintos de trabalho, exigindo, quando necessário, identificação ou autorização, para registro em livro apropriado; controlar a entrada e a saída de veículos no pátio e garagem, abrindo e fechando portões, exigindo identificação e registrando o movimento diário; encaminhar visitantes aos locais solicitados, prestando-lhes informações; atender e prestar informações ao público; recolher, guardar e devolver objetos pessoais de terceiros deixados no seu posto de trabalho ou em outro recinto da Câmara Municipal; abrir e fechar as dependências do prédio, responsabilizando-se pelo quadro geral de chaves; zelar pela ordem, segurança e limpeza da área sob sua responsabilidade; comunicar à autoridade competente irregularidades verificadas; receber e transmitir mensagens; executar outras tarefas correlatas.


                                                                                                                                                                      CARGO:
                                                                                                                                                                      RECEPCIONISTA.

                                                                                                                                                                       

                                                                                                                                                                      DESCRIÇÃO SUMÁRIA: atender o público em geral, identificando e averiguando suas necessidades, para prestar-lhe informações e/ou encaminhar-lhe às pessoas ou unidades administrativas solicitadas.

                                                                                                                                                                       

                                                                                                                                                                      DESCRIÇÃO DETALHADA: atender visitantes, averiguando suas necessidades, para orientá-los e encaminhá-los às pessoas ou setores requisitados; identificar os visitantes, solicitando documentos, preenchendo registros e orientando o uso de crachá, quando necessário, para possibilitar o controle da entrada e saída de pessoas; organizar o acesso de pessoas de acordo com normas estabelecidas; inteirar-se dos trabalhos desenvolvidos em cada setor, visando a orientar e facilitar a obtenção de dados, documentos ou outras solicitações dos visitantes; executar tarefas de apoio administrativo; executar outras tarefas correlatas.


                                                                                                                                                                        CARGO:
                                                                                                                                                                        TELEFONISTA.

                                                                                                                                                                         

                                                                                                                                                                        DESCRIÇÃO SUMÁRIA: receber e realizar ligações telefônicas através da central telefônica.

                                                                                                                                                                         

                                                                                                                                                                        DESCRIÇÃO DETALHADA: operar mesas e aparelhos telefônicos e mesas de ligação, para estabelecer comunicações internas, locais ou interurbanas; prestar informações e localizar pessoas, consultando listas telefônicas e rol de números úteis para o órgão; realizar controle de ligações telefônicas efetuadas, anotando dados em formulários apropriados; prestar informações relativas ao setor; responsabilizar-se pela manutenção e conservação dos equipamentos utilizados; executar outras tarefas correlatas.


                                                                                                                                                                          CARGO:
                                                                                                                                                                          VIGIA.

                                                                                                                                                                           

                                                                                                                                                                          DESCRIÇÃO SUMÁRIA: executar serviços de vigilância, segurança e recepção dos bens públicos municipais, baseando-se em regras de conduta predeterminadas, para assegurar a ordem do prédio e a segurança do local.

                                                                                                                                                                           

                                                                                                                                                                          DESCRIÇÃO DETALHADA: executar a ronda diurna ou noturna nas dependências da Câmara Municipal, verificando se as portas, janelas, portões e outras vias de acesso estão fechadas corretamente, devendo, se constatadas irregularidades, tomar as providências necessárias no sentido de evitar roubos e outros danos; controlar a entrada e a saída de pessoas, veículos e materiais pelos portões de acesso sob sua vigilância, verificando, quando necessário, a autorização de ingresso; zelar pelo prédio e suas instalações (pátios, jardins, cercas, muros, portões, sistema de iluminação, etc.); investigar quaisquer condições anormais que tenha observado; comunicar ao chefe imediato qualquer irregularidade verificada; acompanhar funcionários, quando necessário, no exercício de suas funções, fora do expediente normal de trabalho; responder às chamadas telefônicas ocorridas fora do horário de expediente do órgão, anotando recados; atender pessoas e fornecer informações; encaminhar o público aos setores competentes; recolher, guardar e devolver objetos deixados por terceiros; entregar relatórios para controle de supervisão; executar outras tarefas correlatas.


                                                                                                                                                                            CARGO:
                                                                                                                                                                            ZELADOR.

                                                                                                                                                                             

                                                                                                                                                                            DESCRIÇÃO SUMÁRIA: executar serviços de zeladoria, conservação e manutenção do prédio da Câmara Municipal, garantindo o bom funcionamento, assegurando-lhe as condições de higiene e segurança.

                                                                                                                                                                             

                                                                                                                                                                            DESCRIÇÃO DETALHADA: executar serviços de limpeza e/ou manutenção em geral, providenciando produtos e materiais necessários para manter as condições de conservação e higiene, em conformidade com o planejamento definido pelo setor competente; executar serviços gerais em setores designados pela chefia; transportar material de um local para outro, inclusive carregando e descarregando veículos; executar serviços de jardinagem, poda de árvores, limpeza de pátios e outros; executar tarefas manuais e rotineiras que exigem esforço físico; realizar todos os tipos de movimentação de móveis, equipamentos e outros elementos; executar, em caso de necessidade, tarefas inerentes ao serviço de copa, como preparo de lanches, refeições, café, chá e outros; executar serviços de lavagem, secagem e engomadura de roupas de mesa e similares, operando máquina ou ferro de passar, conforme sua especificação; executar outras tarefas correlatas.

                                                                                                                                                                              II – GRUPO OCUPACIONAL DE NÍVEL MÉDIO – GM


                                                                                                                                                                                CARGO:
                                                                                                                                                                                ASSISTENTE ADMINISTRATIVO.

                                                                                                                                                                                 

                                                                                                                                                                                DESCRIÇÃO SUMÁRIA: prestar assistência à unidade de atuação, emitindo pareceres, bem como controlar os serviços gerais de escritório, compatibilizando os programas administrativos com as demais medidas.

                                                                                                                                                                                 

                                                                                                                                                                                DESCRIÇÃO DETALHADA: executar tarefas variáveis da área administrativa e financeira que exijam elaboração de textos e soluções em algumas fases do trabalho; orientar e proceder à tramitação de processos, orçamentos, contratos e demais assuntos administrativos, consultando e mantendo atualizados os documentos em arquivos e fichários; redigir, revisar, encaminhar documentos, seguindo orientação; elaborar e digitar cartas, ofícios, portarias, atas, circulares, tabelas, gráficos, instruções, normas, memorandos e outros; elaborar, organizar e atualizar quadros demonstrativos, tabelas, registros, relatórios, material bibliográfico e outros documentos; codificar dados, documentos e outras informações e proceder à indexação de artigos e periódicos, fichas, manuais, relatórios e outros; participar de estudos e projetos a serem elaborados e desenvolvidos por técnicos, na área administrativa; efetuar cálculos e conferências numéricas; organizar e/ou atualizar arquivos, fichários e outros; efetuar registro e preenchimento de documentos, formulários e outros; montar e acompanhar processos referentes aos assuntos relacionados com as atividades do órgão; participar em estudos, projetos, eventos e pesquisas, preparando materiais e/ou locais, efetuando levantamentos e desenvolvendo controles administrativos; coletar, compilar e consolidar dados diversos, consultando pessoas, documentos, publicações oficiais, arquivos e fichários para obter informações; coletar dados diversos, revisando documentos, transcrições, publicações oficiais e fornecendo informações necessárias ao cumprimento da rotina administrativa; executar outras tarefas correlatas, tais como distribuição de correspondências e documentos e fixação de editais e outros; operar e zelar pelo uso adequado de equipamentos diversos, como máquinas calculadoras, de datilografia, microcomputadores, processadores de texto, terminais de vídeo e outros; emitir listagens e relatórios, quando necessário; executar outras tarefas correlatas.

                                                                                                                                                                                  CARGO: ASSISTENTE LEGISLATIVO.

                                                                                                                                                                                   

                                                                                                                                                                                  DESCRIÇÃO SUMÁRIA: executar tarefas na área legislativa de caráter rotineiro e de relativa complexidade.

                                                                                                                                                                                   

                                                                                                                                                                                  DESCRIÇÃO DETALHADA: a) na qualidade de agente responsável pelas atividades de protocolo e informações: receber, numerar, distribuir e controlar a movimentação de papéis nos órgãos da Câmara Municipal; protocolar todas as propostas de emenda à Lei Orgânica do Município, os projetos de lei, de decreto legislativo, de resolução, requerimentos, indicações, substitutivos, emendas, subemendas, etc.; organizar as pastas que formam os processos e os documentos recebidos para protocolo; registrar a tramitação de proposições e demais papéis, seu despacho final e data do respectivo arquivamento; digitar os expedientes relativos aos serviços de protocolo da Câmara Municipal; executar outras tarefas correlatas; b) na qualidade de agente responsável pelas atividades de arquivo e biblioteca: organizar os sistemas de referência e de índices necessários à pronta consulta de qualquer documento arquivado; realizar o colecionamento, a encadernação e o arquivamento de jornais e publicações de interesse do Poder Legislativo e manter, em arquivo, jornais e publicações oficiais sobre o Município; informar os interessados a respeito de processos, papéis e outros documentos arquivados e realizar empréstimos, mediante recibo; registrar, catalogar, guardar e conservar todas as publicações da Casa, mantendo atualizado o sistema de fichários; executar outras tarefas correlatas; c) na qualidade de agente responsável por atividades de cunho legislativo: redigir ofícios, cartas, despachos, requerimentos, indicações e demais expedientes, de acordo com normas preestabelecidas; redigir atos administrativos de natureza simples, seguindo modelos específicos; conferir, anotar e informar expediente que exija algum discernimento e capacidade crítica e analítica; observar a tramitação de papéis e fiscalizar o cumprimento das normas referentes a protocolo; digitar e conferir a digitação de mapas, tabelas, quadros estatísticos, relatórios, exposições de motivos, justificativas, propostas de emenda à Lei Orgânica do Município, projetos de lei, projetos de decreto legislativo, projetos de resolução e seus autógrafos, e de correspondências e documentos diversos, manuscritos ou não; marcar entrevistas e reuniões; ler, selecionar, registrar e arquivar, quando for o caso, leis, resoluções, decretos legislativos e outros documentos e publicações de interesse da unidade administrativa onde exerce suas funções; receber, classificar, registrar, guardar e conservar processos, livros e demais documentos, mediante normas preestabelecidas; verificar as necessidades de material da unidade e preencher ou solicitar o preenchimento da requisição de material; receber materiais e conferir sua especificação, quantidade e qualidade com os documentos de entrega; assessorar e secretariar as comissões permanentes, as comissões temporárias e grupos de trabalho administrativo da Casa, quando designado; minutar projetos e pareceres que não demandem conhecimentos muito aprofundados sobre a matéria; zelar pela regular tramitação das proposições; elaborar, quando designado, a pauta da ordem do dia das sessões, na forma determinada pelo Presidente do Legislativo; elaborar ata das sessões realizadas pela Câmara; elaborar os anais da Câmara; extrair das gravações os pronunciamentos e/ou discussões dos Vereadores, em especial para fins de elaboração de ata e/ou certidão; executar outras tarefas correlatas.

                                                                                                                                                                                    CARGO: FOTÓGRAFO.

                                                                                                                                                                                     

                                                                                                                                                                                    DESCRIÇÃO SUMÁRIA: executar trabalhos fotográficos relacionados com a divulgação das atividades da Câmara Municipal; prestar apoio e assessoramento à Mesa Executiva, à Presidência, às Comissões, aos Vereadores e à Direção Geral da Casa em assuntos relacionados à sua atividade profissional.

                                                                                                                                                                                     

                                                                                                                                                                                    DESCRIÇÃO DETALHADA: realizar registros, coberturas e levantamentos fotográficos de atividades da Câmara Municipal, de seus organismos e Vereadores, no interior de sua sede ou externamente; executar, diretamente ou em colaboração com outrem, os procedimentos necessários à produção de material fotográfico, em seus variados meios, técnicas e qualidades; preparar o material que produzir ou capturado por outrem para a alimentação do acervo de multimídia; selecionar, identificar, organizar e sistematizar o material fotográfico em arquivo, com regras técnicas de localização; solicitar regular e tempestivamente os materiais e insumos necessários à execução de suas atividades; zelar pela conservação e manutenção de seu material de trabalho, inclusive realizando, quanto possível, pequenas reparações nos equipamentos; prestar apoio e assessoramento à Mesa Executiva, à Presidência, às Comissões Permanentes e Temporárias, a Grupos Administrativos de Trabalho, aos Vereadores e à Direção Geral da Casa em assuntos ligados à esfera de sua competência; executar outras atividades correlatas.

                                                                                                                                                                                      CARGO: OPERADOR DE AUDIOVISUAL.

                                                                                                                                                                                       

                                                                                                                                                                                      DESCRIÇÃO SUMÁRIA: operar equipamentos de áudio e vídeo utilizados nas atividades voltadas ao registro, gravação, transmissão e divulgação dos trabalhos legislativos.

                                                                                                                                                                                       

                                                                                                                                                                                      DESCRIÇÃO DETALHADA: operar equipamentos de áudio e vídeo utilizados nas atividades voltadas ao registro, gravação, transmissão e divulgação dos trabalhos legislativos; preparar o material produzido no exercício da atividade para fins de alimentação do acervo de multimídia; selecionar, identificar, organizar e sistematizar o material gerado em arquivo, com regras técnicas de localização; solicitar, através da respectiva chefia, os materiais e insumos necessários à execução de suas atividades; zelar pela conservação e manutenção de seu material de trabalho, inclusive realizando, quanto possível, pequenos reparos nos equipamentos; monitorar, sempre que determinado, os equipamentos e sistemas utilizados pela área, identificando problemas e propondo soluções; auxiliar na administração dos serviços de sonorização da Câmara; fornecer, sempre que requisitado, subsídios aos processos de aquisição de equipamentos e sistemas a serem utilizados em seus trabalhos; auxiliar na supervisão da implantação e da manutenção de equipamentos e sistemas relativos às atividades da área; realizar a operação de câmeras de vídeo; colaborar na iluminação dos cenários ou quaisquer outros recintos utilizados para a produção de programas de TV, ao vivo ou gravados; auxiliar na gravação, edição e reprodução de programas em videoteipe, documentários e trabalhos audiovisuais; colaborar na execução de atividades voltadas à edição de TV, à edição de imagens e supervisão de áudio; prestar apoio e assessoramento à Mesa Executiva, à Presidência, às Comissões Permanentes e Temporárias, a Grupos Administrativos de Trabalho, aos Vereadores e à Direção Geral da Casa em assuntos afeitos às suas atribuições; executar outras atividades correlatas.

                                                                                                                                                                                        CARGO: OPERADOR DE COMPUTADOR.

                                                                                                                                                                                         

                                                                                                                                                                                        DESCRIÇÃO SUMÁRIA: operar microcomputadores, acionando os dispositivos de comando, observando e controlando seu funcionamento, para processar programas elaborados.

                                                                                                                                                                                         

                                                                                                                                                                                        DESCRIÇÃO DETALHADA: executar tarefas inerentes aos serviços de operação em processamento de dados; operar equipamentos de processamento de dados; ajustar os equipamentos de acordo com o meio a ser utilizado (discos, disquetes, pen drives, cartuchos, etc.); interpretar as mensagens exibidas no vídeo do console, visando à adoção de medidas de ajustamento do sistema e de programas de usuários que se encontrarem em execução; atender solicitações dos usuários; manter atualizados os arquivos e documentação dos backup’s; notificar as irregularidades observadas no funcionamento do sistema; manter contato com as empresas de assistência técnica, quando da necessidade de manutenção de equipamentos; executar outras tarefas correlatas.

                                                                                                                                                                                          CARGO: TESOUREIRO.

                                                                                                                                                                                           

                                                                                                                                                                                          DESCRIÇÃO SUMÁRIA: controlar receitas e efetuar o pagamento de despesas da Câmara Municipal, registrando a entrada e saída de valores, para assegurar a regularidade das transações financeiras e comerciais da organização.

                                                                                                                                                                                           

                                                                                                                                                                                          DESCRIÇÃO DETALHADA: atuar na Tesouraria do órgão, zelando pelo numerário, emitindo cheques e ordens de pagamento, responsabilizando-se pelas contas, recebimentos e pagamentos; efetuar depósitos e retiradas bancárias, registrando-os em formulários apropriados; registrar, em formulários apropriados, todo o movimento de pagamentos e recebimentos; proceder à verificação mensal do extrato bancário, confrontando-o com o movimento registrado; confeccionar mapas mensais com o demonstrativo de conta em banco, movimento de entradas e saídas, cheques em trânsito (trâmite) do mês anterior, que passam para o mês seguinte, para a organização de balancetes; montar relatório semestral e anual das atividades do setor, tendo por base os balancetes mensais, para prestação de contas; executar outras tarefas correlatas.

                                                                                                                                                                                            III – GRUPO OCUPACIONAL DE NÍVEL SUPERIOR – GS

                                                                                                                                                                                              CARGO: ADVOGADO.

                                                                                                                                                                                               

                                                                                                                                                                                              DESCRIÇÃO SUMÁRIA: prestar assessoramento jurídico amplo à Mesa Executiva, aos Vereadores, aos órgãos da Administração, às Comissões Permanentes, às Comissões Temporárias e Grupos Administrativos de Trabalho da Câmara Municipal, através de pareceres e outros documentos jurídicos.

                                                                                                                                                                                               

                                                                                                                                                                                              DESCRIÇÃO DETALHADA: prestar assistência jurídica à Câmara Municipal, representando-a judicial e extrajudicialmente; emitir pareceres singulares ou relatar pareceres coletivos; responder a consultas sobre interpretações de textos legais de interesse da Câmara; prestar assistência aos órgãos da Câmara Municipal em assuntos de natureza jurídica; examinar propostas de emenda à Lei Orgânica do Município, anteprojetos de leis e outros atos normativos; estudar e minutas propostas de emenda à Lei Orgânica do Município, anteprojetos de leis, de decretos legislativos, de resoluções, portarias, contratos, termos de compromisso e responsabilidade, convênios e outros atos; elaborar informações em mandados de segurança promovidos contra atos do Legislativo Municipal; responsabilizar-se por equipes auxiliares, necessárias à execução das atividades próprias do cargo; executar outras tarefas inerentes ao cargo.

                                                                                                                                                                                                CARGO: ADVOGADO.

                                                                                                                                                                                                 

                                                                                                                                                                                                DESCRIÇÃO SUMÁRIA:  prestar assessoramento jurídico amplo à Mesa Executiva, aos Vereadores, aos órgãos da Administração, às Comissões Permanentes, às Comissões Temporárias e Grupos Administrativos de Trabalho da Câmara Municipal, através de pareceres e outros documentos jurídicos.

                                                                                                                                                                                                 

                                                                                                                                                                                                DESCRIÇÃO DETALHADA:  prestar assistência jurídica à Câmara Municipal; emitir pareceres singulares ou relatar pareceres coletivos; responder a consultas sobre interpretações de textos legais de interesse da Câmara; prestar assistência aos órgãos da Câmara Municipal em assuntos de natureza jurídica; examinar propostas de emenda à Lei Orgânica do Município, anteprojetos de leis e outros atos normativos; estudar e minutar propostas de emenda à Lei Orgânica do Município, anteprojetos de leis, de decretos legislativos, de resoluções, portarias, contratos, termos de compromisso e responsabilidade, convênios e outros atos; elaborar informações em mandados de segurança promovidos contra atos do Legislativo Municipal; responsabilizar-se por equipes auxiliares, necessárias à execução das atividades próprias do cargo; executar outras tarefas inerentes ao cargo.

                                                                                                                                                                                                Alteração feita pelo Art. 14. - Lei Ordinária nº 9.409, de 06 de dezembro de 2012.

                                                                                                                                                                                                  CARGO: ANALISTA PROGRAMADOR.

                                                                                                                                                                                                   

                                                                                                                                                                                                  DESCRIÇÃO SUMÁRIA: executar todas as tarefas necessárias à definição, desenvolvimento, documentação e implantação de quaisquer sistemas de processamento de dados; atualizar e prestar serviço de manutenção nos sistemas já implantados; elaborar programas de computação, baseando-se nos dados fornecidos pela equipe de análise e estabelecendo os diferentes processos operacionais, para permitir tratamento eletrônico de dados.

                                                                                                                                                                                                   

                                                                                                                                                                                                  DESCRIÇÃO DETALHADA: executar tarefas referentes à montagem, depuração e teste de programas computacionais; definir e modificar programas, segundo a orientação técnica adequada; elaborar algoritmos detalhados, estabelecendo os passos necessários e a codificação do programa em linguagem própria; utilizar ferramentas de desenvolvimento e gerenciamento das atividades de programação nos padrões da instalação; auxiliar no estudo da viabilidade da utilização de sistemas de processamento de dados e equipamentos; operar equipamentos de processamento de dados e conhecer seus sistemas operacionais; verificar a disponibilidade de material de trabalho e providenciar o suprimento, de acordo com as necessidades; preparar material e treinar os usuários dos sistemas; documentar, em manuais, os sistemas escritos, exibindo o DFD e DHF, bem como os relatórios dos sistemas; executar outras tarefas correlatas.

                                                                                                                                                                                                    CARGO: ASSESSOR ADMINISTRATIVO.

                                                                                                                                                                                                     

                                                                                                                                                                                                    DESCRIÇÃO SUMÁRIA: desenvolver atividades e prestar assessoramento em processos ou trabalhos atinentes às áreas administrativas, contábil, financeira, orçamentária e outras afins, bem como naqueles voltados às áreas de controle interno.

                                                                                                                                                                                                     

                                                                                                                                                                                                    DESCRIÇÃO DETALHADA: desenvolver atividades e prestar assessoramento em processos ou trabalhos atinentes às áreas administrativas, contábil, financeira, orçamentária, patrimonial e outras afins, bem como naqueles voltados às áreas de controle interno; desenvolver atividades e prestar assessoramento em trabalhos que visem à implementação de leis, regulamentos e normas referentes à administração pública; elaborar pareceres e informações; estudar e propor rotinas para o desenvolvimento de trabalhos e atividades; preparar manuais de serviço e de procedimentos; responsabilizar-se por equipes auxiliares na execução de atividades próprias do cargo; coligir dados sobre receita e despesa; proceder à aquisição, guarda e distribuição de material; examinar processos; redigir e digitar pareceres e informações; redigir e digitar expedientes administrativos, tais como: memorandos, cartas, ofícios, relatórios; revisar, quanto ao aspecto redacional, ordens de serviço, instruções, exposições de motivos, projetos de lei específicos da área, minutas de portarias e outros documentos; secretariar reuniões e lavrar atas; realizar e conferir cálculos relativos a lançamentos financeiros, contábeis e administrativos; realizar ou orientar a coleta de preços de materiais a serem adquiridos; efetuar ou orientar o recebimento, conferência, armazenagem e conservação de materiais e outros suprimentos; manter atualizados os registros de estoque; fazer ou orientar levantamentos de bens patrimoniais; operar com terminais eletrônicos e outros equipamentos de audiovisual; auxiliar no trabalho de aperfeiçoamento e implantação de rotinas administrativas; elaborar e revisar editais de processos licitatórios; desempenhar outras atividades afins ou correlatas.

                                                                                                                                                                                                      CARGO: ASSESSOR LEGISLATIVO.

                                                                                                                                                                                                       

                                                                                                                                                                                                      DESCRIÇÃO SUMÁRIA: realizar atividade de análise, controle, supervisão, execução e apoio procedimental à atividade legislativa e fiscalizadora da Câmara Municipal.

                                                                                                                                                                                                       

                                                                                                                                                                                                      DESCRIÇÃO DETALHADA: orientar a execução e, sempre que haja necessidade de serviço, colaborar para com o cumprimento das funções atribuídas ao Assistente Legislativo, nas atividades de protocolo e informações, arquivo e biblioteca e de cunho legislativo; estudar e informar processos de pequena complexidade, dentro de orientação geral; assessorar a Mesa Executiva, a Diretoria Geral, a Diretoria Legislativa, Vereadores, Comissões, Grupos Administrativos de Trabalho órgãos da Câmara em assuntos ligados à esfera de sua competência e sobre questões regimentais; colaborar na emissão de pareceres sobre proposições em geral, submetidas às Comissões da Casa; elaborar minutas de propostas de emenda à Lei Orgânica do Município, de projetos de lei, de decreto legislativo, de resolução, de recursos, bem assim emendas, subemendas e substitutivos; supervisionar a autuação das propostas de emenda à Lei Orgânica do Município, de projetos de lei, de decreto legislativo, de resolução e outras proposições apresentadas; colaborar no controle de prazos regimentais, especialmente para promulgação e sanção de matéria aprovada, pedidos de informação, encaminhamento de autógrafos, vetos e outros; prestar informação sobre proposições apresentadas, analisando a existência de matéria, aprovada ou não, da mesma natureza, semelhante ou idêntica; redigir e conferir correspondência e outros textos relativos à atividade legislativa e fiscalizadora da Câmara Municipal, especialmente quanto à ortografia, estética, clareza do texto e questões de técnica legislativa; emitir parecer sobre assunto de sua especialidade; desempenhar outras funções correlatas.

                                                                                                                                                                                                         

                                                                                                                                                                                                        CARGO: ASSESSOR LEGISLATIVO – ESPECIALIDADE URBANISMO


                                                                                                                                                                                                        DESCRIÇÃO SUMÁRIA: realizar atividades de análise, controle, supervisão, execução e apoio procedimental à atividade legislativa e fiscalizadora da Câmara Municipal, em matérias relacionadas a sua área de conhecimento.

                                                                                                                                                                                                         

                                                                                                                                                                                                        DESCRIÇÃO DETALHADA: prestar suporte técnico e especializado aos vereadores e comissões permanentes ou temporárias da Câmara Municipal em proposições legislativas, projetos de lei, emendas, pareceres e outros documentos relacionados a temas de engenharia e arquitetura no âmbito da administração pública, especialmente em questões urbanísticas e de infraestrutura urbana; analisar e interpretar questões técnicas relacionadas a obras públicas, projetos de infraestrutura, planejamento urbano, licenciamento urbanístico, planos diretores, zoneamento urbano, entre outros; elaborar pareceres técnicos detalhados sobre projetos e propostas legislativas que envolvem áreas de engenharia, urbanismo e arquitetura, considerando as normas legais, regulamentações e as necessidades da cidade; realizar estudos de impacto técnico de projetos e proposições, com ênfase na viabilidade e adequação das propostas ao planejamento urbano e ambiental do Município; acompanhar as proposições que tramitam na
                                                                                                                                                                                                        Câmara Municipal relacionadas a questões de infraestrutura urbana, obras públicas, planejamento e ordenamento territorial, analisando sua conformidade técnica com normas e regulamentos municipais, estaduais e federais; identificar e sugerir alterações nos projetos ou na redação das proposições, a fim de garantir a compatibilidade com os princípios de desenvolvimento urbano sustentável e acessibilidade; prestar apoio às comissões permanentes e temporárias da Câmara Municipal, fornecendo informações técnicas e esclarecimentos necessários para as deliberações sobre os projetos em análise; auxiliar na organização de audiências públicas, reuniões e debates técnicos sobre temas relacionados à infraestrutura
                                                                                                                                                                                                        urbana, desenvolvimento urbano, planejamento territorial, dentre outros; realizar pesquisas técnicas, estudos e levantamento de dados sobre questões relacionadas ao urbanismo, ao uso do solo, à mobilidade urbana e à sustentabilidade, visando subsidiar a tomada de decisões legislativas; acompanhar as tendências e inovações nas áreas de engenharia e arquitetura que possam impactar o Município, apresentando propostas e sugestões de melhoria; oferecer orientação técnica aos vereadores sobre novos desenvolvimentos legislativos e inovações tecnológicas nas áreas de urbanismo e infraestrutura; colaborar na elaboração de projetos de políticas públicas nas áreas de planejamento urbano, desenvolvimento habitacional, transporte, saneamento, infraestrutura e acessibilidade; aconselhar sobre a implementação e a execução de políticas municipais, visando à melhoria da qualidade de vida da população e ao ordenamento urbano da cidade.

                                                                                                                                                                                                        Inclusão feita pelo Art. 11. - Lei Ordinária nº 11.910, de 06 de janeiro de 2025.

                                                                                                                                                                                                           

                                                                                                                                                                                                          CARGO: ASSESSOR LEGISLATIVO – ESPECIALIDADE ORÇAMENTO


                                                                                                                                                                                                          DESCRIÇÃO SUMÁRIA: realizar atividades de análise, controle, supervisão, execução e apoio procedimental à atividade legislativa e fiscalizadora da Câmara Municipal, em matérias relacionadas a sua área de conhecimento.


                                                                                                                                                                                                          DESCRIÇÃO DETALHADA: prestar suporte técnico e especializado aos vereadores e comissões permanentes ou temporárias da Câmara Municipal em proposições legislativas, projetos de lei, emendas, pareceres e outros documentos relacionados a questões orçamentárias, financeiras e contábeis no âmbito da administração pública; analisar a conformidade das proposições com o orçamento municipal, as leis fiscais, a legislação contábil e as normativas de responsabilidade fiscal; elaborar pareceres técnicos detalhados sobre projetos de lei e proposições relacionadas à criação, alteração ou execução de despesas públicas, à revisão do orçamento municipal e à execução de programas de governo, avaliando seu impacto financeiro; assessorar os vereadores na elaboração de emendas ao orçamento municipal, sugerindo modificações na alocação de recursos, de acordo com as necessidades do Município e as demandas da população; analisar a legalidade e a viabilidade fiscal de emendas ao orçamento, projetos de lei que envolvam a destinação de recursos públicos e outras propostas de natureza orçamentária e financeira; acompanhar as proposições que tramitam na Câmara Municipal que envolvam a alocação de recursos financeiros, gestão de receitas e despesas e fiscalização do uso dos recursos públicos; verificar a compatibilidade das propostas com as diretrizes do Plano Plurianual (PPA), a Lei de Diretrizes Orçamentárias (LDO), a Lei Orçamentária Anual (LOA) e outros instrumentos de planejamento orçamentário; auxiliar na elaboração de relatórios e análises sobre a execução do orçamento e as contas do Município, além de sugerir melhorias no processo de planejamento e controle financeiro; ajudar na análise da execução orçamentária e financeira do Município, identificando eventuais desvios, superávits ou déficits orçamentários, e orientando os vereadores sobre a necessidade de ajustes em propostas legislativas; apoiar na fiscalização e controle do cumprimento das normas de responsabilidade fiscal, como limites de endividamento e gastos com pessoal, conforme a Lei de Responsabilidade Fiscal (LRF); realizar pesquisas e estudos sobre temas orçamentários, fiscais e financeiros, fornecendo subsídios para a tomada de decisões legislativas; monitorar as tendências e mudanças na legislação tributária, fiscal e contábil, avaliando seus impactos para o Município; oferecer orientação técnica aos vereadores sobre o processo de elaboração e execução do orçamento municipal, assim como sobre as normas e diretrizes fiscais que regem a administração pública; auxiliar na elaboração de projetos de lei e políticas públicas relacionadas ao planejamento orçamentário, à distribuição de recursos, à arrecadação de tributos e à execução de investimentos públicos; aconselhar sobre a execução fiscal e a necessidade de revisão ou ajustes no orçamento municipal para atender às demandas sociais e às políticas públicas estabelecidas pela administração municipal.”

                                                                                                                                                                                                          Inclusão feita pelo Art. 11. - Lei Ordinária nº 11.910, de 06 de janeiro de 2025.

                                                                                                                                                                                                            CARGO: CONTADOR.

                                                                                                                                                                                                             

                                                                                                                                                                                                            DESCRIÇÃO SUMÁRIA: executar operações contábeis, tais como correção de escrituração, conciliações, exame de fluxo de caixa e organização de relatório; elaborar plano, programa de natureza contábil, balanços e balancetes contábeis, bem como desenvolver atividades e prestar assessoramento em processos ou trabalhos voltados às áreas de controle interno.

                                                                                                                                                                                                             

                                                                                                                                                                                                            DESCRIÇÃO DETALHADA: realizar tarefas inerentes às atividades contábeis; planejar os trabalhos relativos às atividades contábeis, organizando o sistema de registro e operações, para possibilitar o controle e acompanhamento contábil-financeiro; supervisionar os trabalhos de contabilização dos documentos, analisando-os e orientando seu processamento, para assegurar o cumprimento do plano de contas adotado; orientar ou proceder à classificação e avaliação de despesas, examinando sua natureza, para apropriar custos e serviços; elaborar balancetes, balanços e demonstrativos de contas, aplicando as normas contábeis, para apresentar resultados parciais e gerais da situação patrimonial, econômica e financeira do órgão; participar da elaboração do Orçamento-Programa, fornecendo dados contábeis para servirem de base à montagem do mesmo; planejar e executar auditorias contábeis, efetuando perícias, investigações, apurações e exames técnicos para garantir o cumprimento das exigências legais e administrativas; elaborar, anualmente, relatório analítico sobre a situação patrimonial, econômica e financeira do órgão, apresentando dados estatísticos comparativos e pareceres técnicos; assessorar a Direção da Casa em problemas financeiros, contábeis e orçamentários, oferecendo pareceres, a fim de contribuir para com a correta elaboração de políticas e instrumentos de ação nos referidos setores; desenvolver atividades e prestar assessoramento em processos ou trabalhos voltados às áreas de controle interno; executar outras tarefas correlatas.

                                                                                                                                                                                                              CARGO: CONTADOR.

                                                                                                                                                                                                               

                                                                                                                                                                                                              DESCRIÇÃO SUMÁRIA: executar operações contábeis, tais como correção de escrituração, conciliações, exame de fluxo de caixa e organização de relatório; elaborar plano, programa de natureza contábil, balanços e balancetes contábeis, bem como desenvolver atividades e prestar assessoramento em processos ou trabalhos relacionados às áreas Jurídica, de Controle Interno e de Comissões Permanentes e Temporárias.

                                                                                                                                                                                                               

                                                                                                                                                                                                              DESCRIÇÃO DETALHADA: realizar tarefas inerentes às atividades contábeis; planejar os trabalhos relativos às atividades contábeis, organizando o sistema de registro e operações, para possibilitar o controle e acompanhamento contábil-financeiro; supervisionar os trabalhos de contabilização dos documentos, analisando-os e orientando seu processamento, para assegurar o cumprimento do plano de contas adotado; orientar ou proceder à classificação e avaliação de despesas, examinando sua natureza, para apropriar custos e serviços; elaborar balancetes, balanços e demonstrativos de contas, aplicando as normas contábeis, para apresentar resultados parciais e gerais da situação patrimonial, econômica e financeira do órgão; participar da elaboração do Orçamento-Programa, fornecendo dados contábeis para servirem de base à montagem do mesmo; planejar e executar auditorias contábeis, efetuando perícias, investigações, apurações e exames técnicos para garantir o cumprimento das exigências legais e administrativas; elaborar, anualmente, relatório analítico sobre a situação patrimonial, econômica e financeira do órgão, apresentando dados estatísticos comparativos e pareceres técnicos; assessorar a Direção da Casa em problemas financeiros, contábeis e orçamentários, oferecendo pareceres, a fim de contribuir para com a correta elaboração de políticas e instrumentos de ação nos referidos setores; desenvolver atividades e prestar assessoramento em processos ou trabalhos relacionados às áreas Jurídica, de Controle Interno e de Comissões Permanentes e Temporárias; executar outras tarefas correlatas.

                                                                                                                                                                                                              Alteração feita pelo Art. 7º. - Lei Ordinária nº 9.103, de 01 de dezembro de 2011.

                                                                                                                                                                                                                CARGO: JORNALISTA REPÓRTER.

                                                                                                                                                                                                                 

                                                                                                                                                                                                                DESCRIÇÃO SUMÁRIA: executar, segundo diretrizes e orientação superior, serviços jornalísticos de interesse para a Câmara Municipal, divulgando os fatos políticos, a atividade parlamentar e o trabalho institucional da mesma; exercer assessoria em assuntos jornalísticos e de comunicação social em geral.

                                                                                                                                                                                                                 

                                                                                                                                                                                                                DESCRIÇÃO DETALHADA: redigir notícias consideradas importantes e de interesse da Câmara Municipal; executar, segundo diretrizes e orientação superior, tarefas especializadas de trabalhos redacionais, de compilação e preparação de informações e notícias para divulgação; executar os serviços técnicos de jornalismo, compilando os elementos redatoriais e ilustrativos necessários para elaboração das notícias, artigos, crônicas, comentários, notas e reportagens de caráter informativo ou interpretativo; elaborar textos informativos que concorram para o permanente esclarecimento da opinião pública a respeito da atividade parlamentar da Câmara Municipal; realizar e proporcionar entrevistas com Vereadores em quaisquer veículos de comunicação; revisar resenhas noticiosas e/ou reportagens para publicação na imprensa; executar trabalhos de digitação relacionados com as suas atribuições; redigir e/ou revisar resenhas das sessões plenárias, bem como de reuniões da Mesa Executiva, das Comissões Permanentes e outras; redigir e/ou revisar e encaminhar para divulgação pela imprensa todos os atos e fatos relevantes, de interesse da Câmara, relacionados com a Presidência, com a Mesa, com as atividades do Plenário, com as Comissões e com os Vereadores; realizar trabalhos de pesquisas que propiciem conhecimento e análise da opinião pública sobre fatos Parlamentares da Câmara Municipal, envolvendo posicionamentos deliberativos sobre assuntos momentosos, expressos publicamente pela Presidência, Mesa e Vereadores; executar outras tarefas correlatas ou afins.

                                                                                                                                                                                                                   

                                                                                                                                                                                                                  Maringá, 16 de fevereiro de 2011.

                                                                                                                                                                                                                   

                                                                                                                                                                                                                  MÁRIO HOSSOKAWA

                                                                                                                                                                                                                  Presidente

                                                                                                                                                                                                                    Anexo XI
                                                                                                                                                                                                                    RELATÓRIO DE IMPACTO FINANCEIRO NAS DESPESAS COM PESSOAL

                                                                                                                                                                                                                      Considerando que a definição da organização política e da estrutura orgânico-administrativa da Câmara Municipal de Maringá, objeto do presente projeto de lei, contempla, precipuamente:

                                                                                                                                                                                                                       

                                                                                                                                                                                                                      1) a manutenção do atual quadro de cargos de provimento efetivo, bem como do enquadramento funcional dos servidores ocupantes de tais cargos;

                                                                                                                                                                                                                       

                                                                                                                                                                                                                      2) a manutenção do atual quadro de cargos de provimento em comissão, excetuados os cargos extintos;

                                                                                                                                                                                                                       

                                                                                                                                                                                                                      3) a extinção de dois cargos de provimento em comissão, símbolo CCL-3, e a criação de dois cargos de provimento em comissão, símbolos CCL-3 e CCL-5;

                                                                                                                                                                                                                       

                                                                                                                                                                                                                      4) a reestruturação orgânico-administrativa dos Gabinetes dos Vereadores, com a extinção de todos os cargos criados pela Lei n. 8.320/2009 e a criação de cinco cargos de provimento em comissão para cada um dos Gabinetes, com a alteração, para menor, do total da remuneração prevista, por Gabinete;

                                                                                                                                                                                                                       

                                                                                                                                                                                                                      Assim sendo, declaramos que as transformações propostas, se aprovadas e implementadas, não provocarão aumento da despesa com pessoal, não ocasionarão impacto financeiro e orçamentário no total das despesas deste Poder Legislativo, nem extrapolarão os limites constitucionais estabelecidos para tanto.

                                                                                                                                                                                                                       

                                                                                                                                                                                                                      Maringá, 16 de fevereiro de 2011.

                                                                                                                                                                                                                       

                                                                                                                                                                                                                       

                                                                                                                                                                                                                       

                                                                                                                                                                                                                      MARCOS DONIZETE DE SOUZA

                                                                                                                                                                                                                      Chefe da Divisão de Finanças,

                                                                                                                                                                                                                      Orçamento e Contabilidade

                                                                                                                                                                                                                        Anexo XII

                                                                                                                                                                                                                        DECLARAÇÃO DE ADEQUAÇÃO DAS DESPESAS

                                                                                                                                                                                                                           

                                                                                                                                                                                                                          Na qualidade de ordenador de despesas, declaro, em cumprimento ao disposto no artigo 16, inciso II, da Lei Complementar n. 101/2000, que as medidas contempladas pelo presente projeto de lei, que prevê, em síntese, a manutenção do atual quadro de cargos de provimento efetivo e, com algumas exceções, do atual quadro de cargos de provimento em comissão, a extinção e a criação de cargos de provimento em comissão e a reestruturação orgânico-administrativa dos Gabinetes dos Vereadores, têm adequação orçamentária e financeira com a previsão orçamentária anual e são compatíveis com a Lei de Diretrizes Orçamentárias e com o Plano Plurianual de Ação, considerando tratar-se de proposta que define a organização política e a estrutura orgânico-administrativa desta Casa de Leis.

                                                                                                                                                                                                                           

                                                                                                                                                                                                                          Gabinete do Presidente da Câmara Municipal de Maringá, 16 de fevereiro de 2011.

                                                                                                                                                                                                                           

                                                                                                                                                                                                                          MÁRIO HOSSOKAWA

                                                                                                                                                                                                                          Presidente